Главная // Пожарная безопасность
СПРАВКА
Источник публикации
В данном виде документ опубликован не был.
Первоначальный текст документа опубликован в изданиях
Официальный интернет-портал правовой информации http://pravo.gov.ru, 03.07.2021,
"Собрание законодательства РФ", 12.07.2021, N 28 (часть I), ст. 5525.
Информацию о публикации документов, создающих данную редакцию, см. в справке к этим документам.
Примечание к документу
Начало действия редакции - 05.09.2025.
Изменения, внесенные Постановлением Правительства РФ от 27.08.2025 N 1296, вступают в силу по истечении 7 дней после дня официального опубликования (опубликовано на Официальном интернет-портале правовой информации http://pravo.gov.ru - 28.08.2025).
Название документа
Постановление Правительства РФ от 30.06.2021 N 1095
(ред. от 27.08.2025)
"Об утверждении Положения о федеральном государственном геологическом контроле (надзоре)"

Постановление Правительства РФ от 30.06.2021 N 1095
(ред. от 27.08.2025)
"Об утверждении Положения о федеральном государственном геологическом контроле (надзоре)"


Содержание


ПРАВИТЕЛЬСТВО РОССИЙСКОЙ ФЕДЕРАЦИИ
ПОСТАНОВЛЕНИЕ
от 30 июня 2021 г. N 1095
ОБ УТВЕРЖДЕНИИ ПОЛОЖЕНИЯ
О ФЕДЕРАЛЬНОМ ГОСУДАРСТВЕННОМ ГЕОЛОГИЧЕСКОМ
КОНТРОЛЕ (НАДЗОРЕ)
Список изменяющих документов
(в ред. Постановлений Правительства РФ от 26.02.2022 N 238,
от 12.07.2024 N 948, от 17.05.2025 N 669, от 27.08.2025 N 1296)
В соответствии с частью первой статьи 37 Закона Российской Федерации "О недрах" Правительство Российской Федерации постановляет:
1. Утвердить прилагаемое Положение о федеральном государственном геологическом контроле (надзоре).
2. Реализация полномочий, предусмотренных настоящим постановлением, осуществляется федеральным органом исполнительной власти, уполномоченным на осуществление федерального государственного геологического контроля (надзора), в пределах установленной предельной численности работников указанного органа, а также бюджетных ассигнований, предусмотренных такому органу в соответствующем бюджете на руководство и управление в сфере установленных функций.
3. Признать утратившими силу:
постановление Правительства Российской Федерации от 12 мая 2005 г. N 293 "Об утверждении Положения о государственном надзоре за геологическим изучением, рациональным использованием и охраной недр" (Собрание законодательства Российской Федерации, 2005, N 20, ст. 1885);
пункт 14 изменений, которые вносятся в некоторые акты Правительства Российской Федерации по вопросам государственного контроля (надзора), утвержденных постановлением Правительства Российской Федерации от 5 июня 2013 г. N 476 "О вопросах государственного контроля (надзора) и признании утратившими силу некоторых актов Правительства Российской Федерации" (Собрание законодательства Российской Федерации, 2013, N 24, ст. 2999);
пункт 1 изменений, которые вносятся в акты Правительства Российской Федерации, утвержденных постановлением Правительства Российской Федерации от 28 июня 2017 г. N 762 "О внесении изменений в некоторые акты Правительства Российской Федерации" (Собрание законодательства Российской Федерации, 2017, N 28, ст. 4140).
4. Плановые проверки, включенные в ежегодный план проведения плановых проверок юридических лиц и индивидуальных предпринимателей Федеральной службы по надзору в сфере природопользования, ее территориальных органов с целью проведения государственного надзора за геологическим изучением, рациональным использованием и охраной недр, дата начала которых наступает позже 30 июня 2021 г., подлежат проведению в рамках федерального государственного геологического контроля (надзора) в соответствии с Положением о федеральном государственном геологическом контроле (надзоре), утвержденным настоящим постановлением.
5. Настоящее постановление вступает в силу со дня его официального опубликования.
Председатель Правительства
Российской Федерации
М.МИШУСТИН
Утверждено
постановлением Правительства
Российской Федерации
от 30 июня 2021 г. N 1095
ПОЛОЖЕНИЕ
О ФЕДЕРАЛЬНОМ ГОСУДАРСТВЕННОМ ГЕОЛОГИЧЕСКОМ
КОНТРОЛЕ (НАДЗОРЕ)
Список изменяющих документов
(в ред. Постановлений Правительства РФ от 26.02.2022 N 238,
от 12.07.2024 N 948, от 17.05.2025 N 669, от 27.08.2025 N 1296)
1. Настоящее Положение определяет порядок организации и осуществления федерального государственного геологического контроля (надзора) (далее - геологический надзор), за исключением геологического надзора, осуществляемого Федеральной службой безопасности Российской Федерации, Федеральной службой охраны Российской Федерации на объектах, подведомственных Федеральной службе безопасности Российской Федерации, Федеральной службе охраны Российской Федерации.
(в ред. Постановления Правительства РФ от 17.05.2025 N 669)
2. Предметом геологического надзора в отношении участков недр, за исключением участков недр местного значения, является соблюдение организациями и гражданами обязательных требований в области использования и охраны недр, установленных Законом Российской Федерации "О недрах" (далее - Закон "О недрах"), Водным кодексом Российской Федерации (в части требований к охране подземных водных объектов), Налоговым кодексом Российской Федерации (в части нормативов потерь при добыче полезных ископаемых и подземных водных объектов) и принимаемыми в соответствии с ними иными нормативными правовыми актами Российской Федерации, а также требований, содержащихся в лицензиях на пользование недрами и иных разрешительных документах, предусмотренных указанными нормативными правовыми актами (далее - обязательные требования).
Геологический надзор направлен на предупреждение, выявление и пресечение нарушений организациями и гражданами обязательных требований, за исключением требований, являющихся предметом государственного горного надзора в соответствии со статьей 38 Закона "О недрах", в том числе по следующим вопросам:
наличие утвержденных технических проектов и утвержденной иной проектной документации, которые предусмотрены статьями 23.2 и 23.6 Закона "О недрах";
(в ред. Постановления Правительства РФ от 27.08.2025 N 1296)
соблюдение требований технических проектов и иной проектной документации, которые предусмотрены статьями 23.2 и 23.6 Закона "О недрах", недопущение сверхнормативных потерь, разубоживания и выборочной отработки полезных ископаемых;
(в ред. Постановления Правительства РФ от 27.08.2025 N 1296)
ведение геологической и иной документации при осуществлении видов пользования недрами, предусмотренных статьей 6 Закона "О недрах", обеспечение ее сохранности;
соблюдение требований по рациональному использованию и охране недр;
достоверность содержания геологической и иной документации о состоянии и изменении запасов полезных ископаемых;
соблюдение установленного порядка представления государственной отчетности, а также геологической информации о недрах в федеральный фонд геологической информации и его территориальные фонды;
своевременное и правильное внесение платежей за пользование недрами;
выполнение условий, установленных лицензией на пользование недрами или соглашением о разделе продукции;
сохранность находящихся на участке недр горных выработок, буровых скважин и иных сооружений, связанных с пользованием недрами, которые могут быть использованы при разработке месторождений полезных ископаемых и (или) в иных целях;
сохранность образцов горных пород, керна, пластовых жидкостей, флюидов и иных материальных носителей первичной геологической информации о недрах, полученных при осуществлении пользования недрами на участке недр;
предотвращение самовольного пользования недрами;
предотвращение строительства объектов капитального строительства за границами населенных пунктов в границах земельных участков, необходимых для разведки и добычи полезных ископаемых, в отсутствие согласования, предусмотренного частью пятой статьи 25 Закона "О недрах";
(в ред. Постановления Правительства РФ от 27.08.2025 N 1296)
достоверность данных о разведанных, извлекаемых и оставляемых в недрах запасах полезных ископаемых, содержащихся в них компонентах, об использовании недр в целях, не связанных с добычей полезных ископаемых, включаемых в государственную отчетность организациями, осуществляющими разведку месторождений полезных ископаемых и их добычу;
приведение участков земли и других природных объектов, нарушенных при пользовании недрами, в состояние, пригодное для их дальнейшего использования;
исключение негативного воздействия на окружающую среду при размещении в пластах горных пород попутных вод, вод, использованных пользователями недр для собственных производственных и технологических нужд, вод, образующихся у пользователей недр, осуществляющих разведку и добычу, а также первичную переработку калийных и магниевых солей;
ликвидация и консервация горных выработок, буровых скважин и иных сооружений, связанных с пользованием недрами.
3. К разрешительным документам, содержащим требования, оценка соблюдения которых проводится в рамках геологического надзора, относятся:
а) технические проекты и иная проектная документация, которые предусмотрены статьей 23.2 Закона "О недрах";
(в ред. Постановления Правительства РФ от 27.08.2025 N 1296)
б) проектная документация, предусмотренная статьей 23.6 Закона "О недрах";
(в ред. Постановления Правительства РФ от 27.08.2025 N 1296)
в) документы, удостоверяющие уточненные границы горного отвода, предусмотренные статьей 7 Закона "О недрах";
г) план и (или) схема развития горных работ, предусмотренные статьей 24 Закона "О недрах";
д) решение о согласовании строительства объектов капитального строительства за границами населенных пунктов в границах земельных участков, необходимых для разведки и добычи полезных ископаемых, предусмотренном частью пятой статьи 25 Закона "О недрах";
(пп. "д" в ред. Постановления Правительства РФ от 27.08.2025 N 1296)
е) решение о согласовании нормативов потерь твердых полезных ископаемых (за исключением общераспространенных) и подземных вод (минеральных, промышленных, термальных), превышающих по величине нормативы, утвержденные в составе технических проектов, предусмотренных статьей 23.2 Закона "О недрах", оформленное в соответствии с порядком, предусмотренным абзацем вторым подпункта 1 пункта 1 статьи 342 Налогового кодекса Российской Федерации.
(в ред. Постановления Правительства РФ от 27.08.2025 N 1296)
4. Организация и осуществление геологического надзора регулируются Федеральным законом "О государственном контроле (надзоре) и муниципальном контроле в Российской Федерации".
5. Геологический надзор в соответствии с настоящим Положением осуществляется Федеральной службой по надзору в сфере природопользования и ее территориальными органами (далее - надзорные органы).
Решение о проведении контрольных (надзорных) мероприятий вправе принимать руководители (лица, исполняющие их обязанности), заместители руководителей надзорных органов.
6. Объектами геологического надзора являются деятельность организаций и граждан в области использования и охраны недр, участки недр, предоставленные в пользование, а также неиспользуемые части недр, за исключением объектов, подведомственных Федеральной службе безопасности Российской Федерации, Федеральной службе охраны Российской Федерации (далее соответственно - контролируемые лица, объект геологического надзора).
(в ред. Постановления Правительства РФ от 17.05.2025 N 669)
7. В рамках осуществления геологического надзора объект геологического надзора может быть отнесен к одной из следующих категорий риска причинения вреда (ущерба) охраняемым законом ценностям:
а) категория чрезвычайно высокого риска;
б) категория высокого риска;
в) категория значительного риска;
г) категория среднего риска;
д) категория умеренного риска;
е) категория низкого риска.
8. При осуществлении плановых контрольных (надзорных) мероприятий и обязательных профилактических визитов объекты геологического надзора, отнесенные в соответствии с критериями отнесения объектов, оказывающих негативное воздействие на окружающую среду, установленными статьей 42 Федерального закона "Об охране окружающей среды" и постановлением Правительства Российской Федерации от 31 декабря 2020 г. N 2398 "Об утверждении критериев отнесения объектов, оказывающих негативное воздействие на окружающую среду, к объектам I, II, III и IV категорий", к объектам I, II, III и IV категории, относятся к следующим категориям риска:
(в ред. Постановления Правительства РФ от 27.08.2025 N 1296)
а) к категории значительного риска - объекты, соответствующие критериям отнесения объектов, оказывающих значительное негативное воздействие на окружающую среду и относящихся к областям применения наилучших доступных технологий, к объектам I категории, и объекты, на которых осуществляется хозяйственная деятельность, связанная с геологическим изучением, включающим поиски и оценку россыпных месторождений золота, разведкой и добычей золота на россыпных месторождениях, соответствующие критериям отнесения объектов, оказывающих умеренное негативное воздействие на окружающую среду, к объектам II категории;
(в ред. Постановления Правительства РФ от 12.07.2024 N 948)
б) к категории среднего риска - объекты (за исключением объектов, на которых осуществляется хозяйственная деятельность, связанная с геологическим изучением, включающим поиски и оценку россыпных месторождений золота, разведкой и добычей золота на россыпных месторождениях), соответствующие критериям отнесения объектов, оказывающих умеренное негативное воздействие на окружающую среду, к объектам II категории;
(в ред. Постановления Правительства РФ от 12.07.2024 N 948)
в) к категории умеренного риска - объекты, соответствующие критериям отнесения объектов, оказывающих незначительное негативное воздействие на окружающую среду, к объектам III категории;
г) к категории низкого риска - объекты, соответствующие критериям отнесения объектов, оказывающих минимальное негативное воздействие на окружающую среду, к объектам IV категории.
9. Объекты геологического надзора, которые относятся в соответствии с пунктом 8 настоящего Положения к категориям значительного, среднего, умеренного, низкого риска, подлежат отнесению к категориям высокого, значительного, среднего, умеренного риска соответственно в случае, если объект размещается:
а) в границах особо охраняемой природной территории федерального значения;
б) в границах центральной экологической зоны Байкальской природной территории, за исключением случая, если объект расположен в границах особо охраняемой природной территории регионального или местного значения;
в) в границах водно-болотного угодья международного значения;
г) во внутренних морских водах Российской Федерации, в территориальном море Российской Федерации, в исключительной экономической зоне Российской Федерации или на континентальном шельфе Российской Федерации, в том числе в пределах российского сектора дна Каспийского моря, Черном и Азовском морях, в пределах которых Российская Федерация осуществляет суверенитет, суверенные права или юрисдикцию в связи с принятием в Российскую Федерацию Республики Крым и образованием в составе Российской Федерации новых субъектов - Республики Крым и города федерального значения Севастополя;
д) в Арктической зоне Российской Федерации;
е) в водоохранных зонах следующих водных объектов:
поверхностные водные объекты, расположенные на территориях 2 и более субъектов Российской Федерации;
водные объекты или их части, находящиеся на землях обороны и безопасности, а также используемые для обеспечения обороны страны и безопасности государства и для обеспечения федеральных энергетических систем, федерального транспорта и иных государственных нужд;
внутренние морские воды Российской Федерации;
территориальное море Российской Федерации;
особо охраняемые водные объекты либо водные объекты, расположенные полностью или частично в границах особо охраняемых природных территорий федерального значения;
водные объекты или их части, объявленные рыбохозяйственными заповедными зонами;
водные объекты, являющиеся средой обитания анадромных и катадромных видов рыб;
водные объекты, по которым проходит государственная граница Российской Федерации;
водные объекты или их части, используемые для нужд городов с численностью населения 100 тыс. человек и более, а также для нужд предприятий и других организаций, производящих забор воды или сброс сточных вод в объеме более 15 млн. куб. метров в год.
10. Объекты геологического надзора, которые отнесены в соответствии с пунктами 8 и 9 настоящего Положения к категориям высокого, значительного, среднего, умеренного, низкого риска, подлежат отнесению к категориям чрезвычайно высокого, высокого, значительного, среднего, умеренного риска соответственно при наличии одного из следующих решений, вступивших в законную силу в течение 3 лет, предшествующих дате принятия решения об отнесении объекта геологического надзора к категории риска:
постановление о назначении административного наказания контролируемому лицу и (или) его должностному лицу за совершение административного правонарушения, предусмотренного статьями 7.3, 7.4, 7.5, частью 1 статьи 8.7, статьей 8.9, частью 1 статьи 8.10, статьей 8.11, частью 1 статьи 8.13 (в части нарушения водоохранного режима на водосборах подземных водных объектов), частью 1 статьи 8.17 (в части нарушения требований по безопасному проведению поиска, разведки и разработки минеральных ресурсов, буровых работ, либо условий лицензии на региональное геологическое изучение, поиск, разведку или разработку минеральных ресурсов внутренних морских вод, территориального моря, континентального шельфа и (или) исключительной экономической зоны Российской Федерации), частью 1 статьи 15.44 Кодекса Российской Федерации об административных правонарушениях, вынесенного должностными лицами надзорного органа или судом на основании протокола об административном правонарушении, составленного должностными лицами надзорного органа;
приговор суда, вынесенный за совершение преступлений, предусмотренных статьей 255 Уголовного кодекса Российской Федерации;
решение суда, предусматривающее обязанность контролируемого лица по возмещению вреда, причиненного недрам вследствие нарушения законодательства Российской Федерации о недрах, либо направленное контролируемому лицу требование о добровольном возмещении такого вреда, которое не признано недействительным.
акт контрольного (надзорного) мероприятия, в котором указано допущенное пользователем недр, осуществляющим геологическое изучение, включающее поиски и оценку россыпных месторождений золота, и (или) разведку и добычу золота на россыпных месторождениях, нарушение условий лицензии на пользование недрами, однократное несоблюдение которых в соответствии с такой лицензией является основанием для досрочного прекращения права пользования недрами в соответствии с пунктом 2 части 2 статьи 20 Закона "О недрах".
(абзац введен Постановлением Правительства РФ от 12.07.2024 N 948; в ред. Постановления Правительства РФ от 27.08.2025 N 1296)
Объекты геологического надзора, подлежащие отнесению в соответствии с абзацем вторым настоящего пункта к категориям чрезвычайно высокого, высокого, значительного, среднего, умеренного риска, подлежат отнесению к категориям высокого, значительного, среднего, умеренного, низкого риска соответственно после устранения в установленный срок выявленного нарушения обязательных требований, подтвержденного результатами контрольного (надзорного) мероприятия.
Объекты геологического надзора, которые отнесены в соответствии с пунктами 8 и 9 настоящего Положения к категориям высокого, значительного, среднего, умеренного риска, подлежат отнесению к категориям значительного, среднего, умеренного, низкого риска соответственно при отсутствии в течение 3 лет, предшествующих дате принятия решения об отнесении объекта геологического надзора к категории риска, вступивших в законную силу решений, предусмотренных настоящим пунктом, и одновременном соблюдении требований законодательства Российской Федерации о недрах.
11. Учет объектов геологического надзора осуществляется путем внесения сведений о таких объектах в информационные системы контрольных (надзорных) органов, создаваемые в соответствии с требованиями статьи 17 Федерального закона "О государственном контроле (надзоре) и муниципальном контроле в Российской Федерации", не позднее 10-го дня со дня поступления таких сведений.
При сборе, обработке, анализе и учете сведений об объектах геологического надзора для целей их учета надзорные органы используют информацию, предоставляемую им в соответствии с нормативными правовыми актами, информацию, получаемую в рамках межведомственного взаимодействия, а также общедоступную информацию, в том числе сведения, содержащиеся в государственном реестре работ по геологическому изучению недр, государственном реестре участков недр, предоставленных в пользование, и лицензий на пользование недрами.
Отнесение объектов геологического надзора к определенной категории риска осуществляется решением руководителя (заместителя руководителя) территориального органа Федеральной службы по надзору в сфере природопользования на основании сопоставления их характеристик с критериями, указанными в пунктах 8 - 10 настоящего Положения.
Территориальные органы Федеральной службы по надзору в сфере природопользования ведут перечни объектов геологического надзора, которым присвоены категории риска.
12. От имени Федеральной службы по надзору в сфере природопользования геологический надзор вправе осуществлять следующие должностные лица:
а) руководитель Федеральной службы по надзору в сфере природопользования;
б) заместитель руководителя Федеральной службы по надзору в сфере природопользования, в должностные обязанности которого в соответствии с должностным регламентом входит осуществление полномочий по геологическому надзору;
в) должностные лица надзорных органов, в должностные обязанности которых в соответствии с должностными регламентами входит осуществление полномочий по геологическому надзору.
(в ред. Постановления Правительства РФ от 27.08.2025 N 1296)
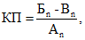
12(1). Ключевым показателем геологического надзора является соотношение разницы показателей количества объектов геологического надзора, в отношении которых в отчетном периоде принято решение об их отнесении к более низкой категории риска, и количества объектов геологического надзора, в отношении которых в отчетном периоде принято решение об их отнесении к более высокой категории риска, к общему количеству объектов геологического надзора, которым присвоена категория риска, на дату окончания отчетного периода (далее - ключевой показатель).
(п. 12(1) введен Постановлением Правительства РФ от 26.02.2022 N 238)
12(2). Ключевой показатель (КП) рассчитывается по формуле:
где:
Бn - количество объектов геологического надзора, в отношении которых в отчетном периоде принято решение об их отнесении к более низкой категории риска;
Вn - количество объектов геологического надзора, в отношении которых в отчетном периоде принято решение об их отнесении к более высокой категории риска;
Аn - общее количество объектов геологического надзора, которым присвоена категория риска, на дату окончания отчетного периода.
Целевым (плановым) значением ключевого показателя признается его положительное значение.
(п. 12(2) введен Постановлением Правительства РФ от 26.02.2022 N 238)
13. В рамках осуществления геологического надзора проводятся следующие профилактические мероприятия:
а) информирование;
б) обобщение правоприменительной практики;
в) объявление предостережения;
г) консультирование;
д) профилактический визит.
14. Должностные лица надзорного органа, уполномоченные на осуществление геологического надзора, осуществляют информирование контролируемых лиц и иных заинтересованных лиц по вопросам соблюдения обязательных требований.
Информирование осуществляется посредством размещения соответствующих сведений на официальных сайтах надзорных органов в информационно-телекоммуникационной сети "Интернет" (далее - сеть "Интернет"), в средствах массовой информации, через личные кабинеты контролируемых лиц в государственных информационных системах (при их наличии) и в иных формах.
15. Федеральная служба по надзору в сфере природопользования обеспечивает ежегодное обобщение правоприменительной практики осуществления геологического надзора и подготовку доклада, содержащего результаты обобщения правоприменительной практики (далее - доклад о правоприменительной практике).
Доклад о правоприменительной практике готовится Федеральной службой по надзору в сфере природопользования не реже 1 раза в год. Доклад о правоприменительной практике размещается на официальном сайте Федеральной службы по надзору в сфере природопользования в сети "Интернет" до 1 апреля года, следующего за отчетным годом.
16. В случае наличия у надзорного органа сведений о готовящихся нарушениях обязательных требований или признаках нарушений обязательных требований и (или) в случае отсутствия подтвержденных данных о том, что нарушение обязательных требований причинило вред (ущерб) охраняемым законом ценностям либо создало угрозу причинения вреда (ущерба) охраняемым законом ценностям, надзорный орган объявляет контролируемому лицу предостережение о недопустимости нарушения обязательных требований (далее - предостережение) и предлагает принять меры по обеспечению соблюдения обязательных требований.
Предостережение объявляется и направляется контролируемому лицу в порядке, предусмотренном Федеральным законом "О государственном контроле (надзоре) и муниципальном контроле в Российской Федерации".
Контролируемое лицо вправе после получения предостережения подать возражение в отношении предостережения, в котором указываются следующие сведения (далее - возражение):
наименование юридического лица, фамилия, имя, отчество (при наличии) индивидуального предпринимателя, гражданина;
идентификационный номер налогоплательщика юридического лица, индивидуального предпринимателя, гражданина;
дата и номер предостережения;
обоснование позиции в отношении указанных в предостережении готовящихся или возможных действий (бездействии), которые приводят или могут привести к нарушению обязательных требований;
способ получения ответа.
Возражение направляется в надзорные органы в виде документа на бумажном носителе почтовым отправлением либо в виде электронного документа, подписанного с учетом требований, установленных частью 6 статьи 21 Федерального закона "О государственном контроле (надзоре) и муниципальном контроле в Российской Федерации", в течение 30 дней со дня получения контролируемым лицом предостережения. Возражение рассматривается надзорными органами в течение 30 дней со дня его получения, контролируемому лицу направляется ответ с информацией о согласии или несогласии с возражением. В случае несогласия с возражением указываются соответствующие обоснования.
Учет предостережений осуществляется путем ведения журнала учета предостережений о недопустимости нарушения обязательных требований (на бумажном носителе либо в электронном виде) по форме, обеспечивающей учет указанной информации.
17. Консультирование осуществляется должностными лицами надзорных органов по телефону, посредством видео-конференц-связи, на личном приеме. Консультирование осуществляется без взимания платы. При проведении консультирования осуществляется аудио- и (или) видеозапись.
Время консультирования по телефону, посредством видео-конференц-связи, на личном приеме одного контролируемого лица (его представителя) не может превышать 15 минут.
18. Консультирование осуществляется в виде разъяснения положений нормативных правовых актов, содержащих обязательные требования, оценка соблюдения которых осуществляется в рамках геологического надзора, разъяснения положений нормативных правовых актов, регламентирующих порядок осуществления геологического надзора, и порядка обжалования решений надзорных органов, действий (бездействия) должностных лиц надзорного органа, уполномоченных на осуществление геологического надзора.
(в ред. Постановления Правительства РФ от 27.08.2025 N 1296)
Дни и часы консультирования на личном приеме устанавливаются руководителем надзорного органа и такая информация размещается на стенде надзорного органа в доступном для ознакомления месте и на официальном сайте надзорного органа в сети "Интернет".
Консультирование контролируемых лиц на личном приеме осуществляется в специальных помещениях, оборудованных средствами аудио- и (или) видеозаписи, о применении которых контролируемое лицо уведомляется до начала консультирования.
Контролируемым лицам, желающим получить консультацию по вопросам, связанным с организацией и осуществлением геологического надзора, предоставляется возможность ее получения в порядке очереди. Срок ожидания в очереди не должен превышать 15 минут.
Должностное лицо надзорного органа, осуществляющее консультирование, дает контролируемым лицам устный ответ по существу каждого поставленного вопроса или устное разъяснение, куда и в каком порядке им следует обратиться в случае невозможности предоставления такого ответа.
По итогам устного консультирования информация в письменной форме контролируемым лицам и их представителям не предоставляется, за исключением случая направления письменного ответа на обращение, поданное в соответствии с Федеральным законом "О порядке рассмотрения обращений граждан Российской Федерации", в сроки, установленные указанным Федеральным законом.
Учет консультирований осуществляется в порядке, определяемом надзорным органом.
При осуществлении консультирования должностные лица надзорного органа обязаны соблюдать конфиденциальность информации, доступ к которой ограничен в соответствии с законодательством Российской Федерации, а также иные требования, предусмотренные Федеральным законом "О государственном контроле (надзоре) и муниципальном контроле в Российской Федерации".
В случае поступления 5 и более однотипных обращений контролируемых лиц или их представителей консультирование осуществляется посредством размещения на официальном сайте надзорного органа в сети "Интернет" письменного разъяснения, подписанного уполномоченным должностным лицом надзорного органа.
19. Профилактический визит проводится должностным лицом надзорного органа, уполномоченным на осуществление геологического надзора, в форме профилактической беседы по месту осуществления деятельности контролируемого лица либо путем использования видео-конференц-связи или мобильного приложения "Инспектор" - разработанного на базе государственной информационной системы программного обеспечения, применяемого контрольными (надзорными) органами и контролируемыми лицами с использованием компьютерного устройства (мобильного телефона, смартфона или компьютера, включая планшетный компьютер) в случаях, предусмотренных Федеральным законом "О государственном контроле (надзоре) и муниципальном контроле в Российской Федерации" (далее - мобильное приложение "Инспектор").
В ходе профилактического визита контролируемое лицо информируется об обязательных требованиях, предъявляемых к его деятельности либо к принадлежащим ему объектам геологического надзора, их соответствии критериям риска, о рекомендуемых способах снижения категории риска, видах, содержании и об интенсивности мероприятий, проводимых в отношении объекта геологического надзора исходя из его отнесения к соответствующей категории риска, а инспектор осуществляет ознакомление с объектом геологического надзора, сбор сведений, необходимых для отнесения объектов геологического надзора к категориям риска, и проводит оценку уровня соблюдения контролируемым лицом обязательных требований.
(п. 19 в ред. Постановления Правительства РФ от 27.08.2025 N 1296)
20. Обязательный профилактический визит проводится по инициативе надзорного органа в соответствии со статьей 52.1 Федерального закона "О государственном контроле (надзоре) и муниципальном контроле в Российской Федерации".
Профилактический визит проводится по инициативе контролируемого лица надзорным органом в соответствии со статьей 52.2 Федерального закона "О государственном контроле (надзоре) и муниципальном контроле в Российской Федерации".
При проведении контрольного (надзорного) действия в виде осмотра в рамках обязательного профилактического визита фотосъемка и видеозапись осуществляются с использованием мобильного приложения "Инспектор".
Дополнительно к мобильному приложению "Инспектор" при проведении профилактического визита могут быть использованы любые имеющиеся в распоряжении лиц, указанных в абзаце первом пункта 33 настоящего Положения, технические средства фотосъемки, аудио- и видеозаписи, в том числе беспилотные авиационные системы.
(п. 20 в ред. Постановления Правительства РФ от 27.08.2025 N 1296)
21. В рамках осуществления геологического надзора при взаимодействии с контролируемым лицом проводятся следующие виды контрольных (надзорных) мероприятий:
а) инспекционный визит;
б) рейдовый осмотр;
в) документарная проверка;
г) выездная проверка.
21(1). Инспекционный визит, рейдовый осмотр и выездная проверка могут быть проведены с использованием средств дистанционного взаимодействия, в том числе посредством видео-конференц-связи, а также с использованием мобильного приложения "Инспектор".
(п. 21(1) введен Постановлением Правительства РФ от 27.08.2025 N 1296)
22. В рамках осуществления надзора без взаимодействия с контролируемым лицом проводятся следующие виды контрольных (надзорных) мероприятий:
а) наблюдение за соблюдением обязательных требований;
б) выездное обследование.
23. В составе инспекционного визита проводятся следующие контрольные (надзорные) действия:
а) осмотр;
б) опрос;
в) получение письменных объяснений;
г) инструментальное обследование;
д) истребование документов, которые в соответствии с обязательными требованиями должны находиться в месте нахождения (осуществления деятельности) контролируемого лица (его филиалов, представительств, обособленных структурных подразделений) либо объекта геологического надзора.
24. В составе рейдового осмотра проводятся следующие контрольные (надзорные) действия:
а) осмотр;
б) досмотр;
в) опрос;
г) получение письменных объяснений;
д) истребование документов;
е) отбор проб (образцов);
ж) инструментальное обследование;
з) испытание;
и) экспертиза.
25. В составе документарной проверки проводятся следующие контрольные (надзорные) действия:
а) получение письменных объяснений;
б) истребование документов;
в) экспертиза.
26. В составе выездной проверки проводятся следующие контрольные (надзорные) действия:
а) осмотр;
б) досмотр;
в) опрос;
г) получение письменных объяснений;
д) истребование документов;
е) отбор проб (образцов);
ж) инструментальное обследование;
з) испытание;
и) экспертиза.
27. В ходе выездного обследования на общедоступных (открытых для посещения неограниченным кругом лиц) объектах геологического надзора могут осуществляться:
а) осмотр;
б) отбор проб (образцов);
в) инструментальное обследование (с применением видеозаписи);
г) испытание;
д) экспертиза.
28. Отбор проб (образцов) осуществляется непосредственно в ходе проведения контрольного (надзорного) мероприятия должностным лицом надзорного органа, его проводящим, или экспертом (специалистом), привлеченным к проведению контрольного (надзорного) мероприятия, в том числе специалистами подведомственных Федеральной службе по надзору в сфере природопользования федеральных государственных бюджетных учреждений, в соответствии со стандартами, утвержденными уполномоченным федеральным органом исполнительной власти Российской Федерации, осуществляющим функции по выработке государственной политики и нормативно-правовому регулированию в сфере технического регулирования и метрологии.
(в ред. Постановления Правительства РФ от 26.02.2022 N 238)
Отбор проб (образцов) включает в себя последовательность следующих действий:
определение (выбор) проб (образцов), подлежащих отбору, и точек отбора;
определение метода отбора пробы (образца), подготовка или обработка проб (образцов) вещества, материала или продукции с целью получения требуемой пробы (образца);
отбор пробы (образца) и ее упаковка.
Отбор проб (образцов) осуществляется в количестве, необходимом и достаточном для проведения инструментального обследования, испытания, экспертизы.
Способ упаковки отобранной пробы (образца) должен обеспечивать ее сохранность и пригодность для дальнейшего соответствующего инструментального обследования, испытания, экспертизы.
После отбора проб (образцов) составляется протокол отбора проб (образцов), в котором указываются:
дата и место составления протокола;
фамилия и инициалы инспектора, эксперта или специалиста, составивших протокол;
сведения о контролируемом лице или его представителе, присутствовавших при отборе проб (образцов);
использованные методики отбора проб (образцов);
иные сведения, имеющие значение для идентификации проб (образцов).
Протокол (акт) отбора проб (образцов) прилагается к акту контрольного (надзорного) мероприятия, копия протокола вручается контролируемому лицу или его представителю.
Отбор проб (образцов) продукции (товаров) при проведении контрольных (надзорных) мероприятий в отсутствие контролируемого лица или его представителя проводится с обязательным использованием видеозаписи.
28(1). Федеральная служба по надзору в сфере природопользования для проведения экспертизы может привлекать экспертов и экспертные организации, включая подведомственные Федеральной службе по надзору в сфере природопользования федеральные государственные бюджетные учреждения, аккредитованные в национальной системе аккредитации.
(п. 28(1) введен Постановлением Правительства РФ от 26.02.2022 N 238)
28(2). Осмотр, досмотр, опрос и экспертиза при проведении обязательного профилактического визита и контрольных (надзорных) мероприятий, предусмотренных подпунктами "а", "б" и "г" пункта 21 настоящего Положения, могут осуществляться с использованием средств дистанционного взаимодействия, в том числе посредством видео-конференц-связи, а также с использованием мобильного приложения "Инспектор".
(п. 28(2) введен Постановлением Правительства РФ от 27.08.2025 N 1296)
29. Проведение плановых контрольных (надзорных) мероприятий, обязательных профилактических визитов в отношении объектов геологического надзора в зависимости от присвоенной категории риска осуществляется со следующей периодичностью:
в отношении объектов геологического надзора, отнесенных к категории чрезвычайно высокого риска, - одно плановое контрольное (надзорное) мероприятие в год;
в отношении объектов геологического надзора, отнесенных к категории высокого риска, - одно плановое контрольное (надзорное) мероприятие в 2 года либо один обязательный профилактический визит в год.
В отношении объектов геологического надзора, отнесенных к категории значительного, среднего или умеренного риска, обязательный профилактический визит проводится с периодичностью, определенной в соответствии с пунктом 3 части 2 статьи 25 Федерального закона "О государственном контроле (надзоре) и муниципальном контроле в Российской Федерации".
Надзорный орган вправе провести вместо планового контрольного (надзорного) мероприятия, указанного в абзаце втором настоящего пункта, обязательный профилактический визит.
(п. 29 в ред. Постановления Правительства РФ от 27.08.2025 N 1296)
30. При наличии оснований для проведения контрольных (надзорных) мероприятий, предусмотренных пунктами 1, 3 - 5, 7 и 9 части 1 статьи 57 и частью 12 статьи 66 Федерального закона "О государственном контроле (надзоре) и муниципальном контроле в Российской Федерации", проводятся внеплановые контрольные (надзорные) мероприятия, предусмотренные пунктами 21 и 22 настоящего Положения, а также контрольные (надзорные) действия в их составе, предусмотренные пунктами 23 - 27 настоящего Положения.
(в ред. Постановления Правительства РФ от 27.08.2025 N 1296)
31. Индивидуальный предприниматель, гражданин, являющиеся контролируемыми лицами, вправе представить в надзорные органы информацию о невозможности присутствия при проведении контрольного (надзорного) мероприятия в случае введения режима повышенной готовности или чрезвычайной ситуации на всей территории Российской Федерации либо на ее части, назначения административного наказания индивидуальному предпринимателю, гражданину в виде административного ареста, избрания в отношении подозреваемого в совершении преступления индивидуального предпринимателя, гражданина меры пресечения в виде подписки о невыезде и надлежащем поведении, запрете определенных действий, заключения под стражу, домашнего ареста, наличия обстоятельств, требующих безотлагательного присутствия индивидуального предпринимателя, гражданина в ином месте во время проведения контрольного (надзорного) мероприятия, заболевания, связанного с утратой трудоспособности, отпуска (при предоставлении подтверждающих документов). Проведение контрольного (надзорного) мероприятия переносится надзорным органом на срок, необходимый для устранения обстоятельств, послуживших поводом для данного обращения индивидуального предпринимателя, гражданина в надзорный орган.
32. В решении о проведении контрольного (надзорного) мероприятия указываются сведения, предусмотренные частью первой статьи 64 Федерального закона "О государственном контроле (надзоре) и муниципальном контроле в Российской Федерации".
33. При проведении инспекционного визита, рейдового осмотра, выездной проверки, наблюдения за соблюдением обязательных требований, выездного обследования для фиксации должностными лицами надзорного органа, уполномоченными на осуществление геологического надзора, и лицами, привлекаемыми к совершению контрольных (надзорных) действий, доказательств нарушений обязательных требований используются фотосъемка и (или) аудио- и видеозапись, в том числе данные, полученные с применением беспилотных авиационных систем, и данные дистанционного зондирования Земли из космоса.
Информация о технических средствах, использованных при фотосъемке и (или) аудио- и видеозаписи, в том числе при получении данных с применением беспилотных авиационных систем и данных дистанционного зондирования Земли из космоса, отражается в акте контрольного (надзорного) мероприятия с указанием типа и марки оборудования, с помощью которого проводилась фиксация.
Фотографии и (или) аудио- и видеозаписи, в том числе данные, полученные с применением беспилотных авиационных систем, используемые для фиксации доказательств, должны позволять однозначно идентифицировать объект фиксации, отражающий нарушение обязательных требований.
Аудио- и видеозапись осуществляется в ходе проведения контрольного (надзорного) мероприятия с уведомлением в начале и конце записи о дате, месте, времени начала и окончания осуществления записи.
Оборудование, используемое для проведения фото- и видеофиксации, должно иметь техническую возможность отображения на фотоснимках и видеозаписи текущих даты и времени, а также сохранения данных о месте съемки (координат).
Данные дистанционного зондирования Земли из космоса используются в соответствии с Законом Российской Федерации "О космической деятельности".
В ходе аудио- и видеозаписи подробно фиксируются и указываются место и характер выявленного нарушения обязательных требований.
Результаты проведения фотосъемки и (или) аудио- и видеозаписи являются приложением к акту контрольного (надзорного) мероприятия.
Использование фотосъемки и (или) аудио- и видеозаписи для фиксации доказательств нарушений обязательных требований осуществляется с учетом требований законодательства Российской Федерации о государственной тайне.
Для фиксации доказательств нарушений обязательных требований могут быть использованы любые имеющиеся в распоряжении лиц, указанных в абзаце первом настоящего пункта, технические средства фотосъемки и (или) аудио- и видеозаписи, в том числе мобильное приложение "Инспектор" и беспилотные авиационные системы.
(п. 33 в ред. Постановления Правительства РФ от 27.08.2025 N 1296)
34. Срок проведения выездной проверки - 10 рабочих дней.
В отношении одного контролируемого лица общий срок взаимодействия в ходе проведения выездной проверки не может превышать 50 часов для малого предприятия и 15 часов для микропредприятия.
35. Досмотр осуществляется инспектором в присутствии контролируемого лица или его представителя и (или) с применением видеозаписи. Досмотр в отсутствие контролируемого лица или его представителя может осуществляться только в случае наличия у надзорного органа сведений о причинении вреда (ущерба) или об угрозе причинения вреда (ущерба) жизни, здоровью граждан, окружающей среде с обязательным применением видеозаписи.
36. Взаимодействием должностных лиц надзорного органа, уполномоченных на осуществление геологического надзора, с контролируемыми лицами при осуществлении геологического надзора являются встречи, телефонные и иные переговоры (непосредственное взаимодействие) между указанными должностными лицами и контролируемым лицом или его представителем, запрос документов, иных материалов, присутствие должностного лица надзорного органа в месте осуществления деятельности контролируемого лица (за исключением случая присутствия должностного лица надзорного органа, уполномоченного на осуществление геологического надзора, на общедоступных производственных объектах).
37. Решения надзорных органов, действия (бездействие) должностных лиц надзорного органа, уполномоченных на осуществление геологического надзора, могут быть обжалованы контролируемым лицом, его представителем в установленном Федеральным законом "О государственном контроле (надзоре) и муниципальном контроле в Российской Федерации" порядке.
Жалоба на решение территориального органа Федеральной службы по надзору в сфере природопользования, действия (бездействие) его должностных лиц при осуществлении геологического надзора рассматривается руководителем (заместителем руководителя) указанного территориального органа либо центральным аппаратом Федеральной службы по надзору в сфере природопользования в течение 15 рабочих дней со дня ее регистрации в информационной системе (подсистеме государственной информационной системы) досудебного обжалования (далее - подсистема досудебного обжалования).
Жалоба на действия (бездействие) руководителя (заместителя руководителя) территориального органа Федеральной службы по надзору в сфере природопользования при осуществлении геологического надзора рассматривается центральным аппаратом Федеральной службы по надзору в сфере природопользования в течение 15 рабочих дней со дня ее регистрации в подсистеме досудебного обжалования.
В случае обжалования решений Федеральной службы по надзору в сфере природопользования, принятых ее центральным аппаратом, действий (бездействия) должностных лиц центрального аппарата Федеральной службы по надзору в сфере природопользования при осуществлении геологического надзора жалоба рассматривается руководителем Федеральной службы по надзору в сфере природопользования в течение 15 рабочих дней со дня ее регистрации в подсистеме досудебного обжалования.
Жалоба на решения, действия (бездействие) руководителя Федеральной службы по надзору в сфере природопользования рассматривается руководителем Федеральной службы по надзору в сфере природопользования в течение 15 рабочих дней со дня ее регистрации в подсистеме досудебного обжалования.
Жалоба контролируемого лица на решение об отнесении объектов контроля к соответствующей категории риска рассматривается в срок не более 5 рабочих дней.
(п. 37 в ред. Постановления Правительства РФ от 27.08.2025 N 1296)
38. При осуществлении осмотра и (или) досмотра при проведении инспекционного визита, рейдового осмотра, выездной проверки фотосъемка и видеозапись осуществляются с использованием мобильного приложения "Инспектор".
Дополнительно к мобильному приложению "Инспектор" при проведении инспекционного визита, рейдового осмотра, выездной проверки могут быть использованы любые имеющиеся в распоряжении лиц, указанных в абзаце первом пункта 33 настоящего Положения, технические средства фотосъемки, аудио- и видеозаписи, в том числе беспилотные авиационные системы.
В случае если устранение выявленных нарушений обязательных требований требует значительных временных и материальных затрат, капитальных вложений, включая затраты на строительство, реконструкцию или техническое перевооружение, приобретение машин, оборудования, инструментов, инвентаря, выделения бюджетных средств бюджетным учреждениям, и в целях недопущения ситуаций массового сокращения работников, снижения выпуска продукции, товаров и услуг, имеющих стратегическое значение и социально-экономическую значимость, надзорный орган вправе заключить с контролируемым лицом соглашение о надлежащем устранении выявленных нарушений обязательных требований (далее - соглашение).
Соглашение заключается на основании поданного контролируемым лицом в надзорный орган, выдавший предписание об устранении выявленных нарушений обязательных требований в соответствии со статьей 90.1 Федерального закона "О государственном контроле (надзоре) и муниципальном контроле в Российской Федерации", ходатайства о заключении соглашения.
Соглашение подлежит согласованию с органами прокуратуры. После заключения соглашения надзорный орган принимает решение о приостановлении действия предписания об устранении выявленных нарушений обязательных требований в отношении контролируемого лица, заключившего соглашение.
(п. 38 введен Постановлением Правительства РФ от 27.08.2025 N 1296)