Главная // Пожарная безопасность СПРАВКА
Источник публикации
В данном виде документ опубликован не был.
Первоначальный текст документа опубликован в изданиях
Официальный интернет-портал правовой информации http://pravo.gov.ru, 31.12.2017,
"Собрание законодательства РФ", 15.01.2018, N 3, ст. 546.
Информацию о публикации документов, создающих данную редакцию, см. в справке к этим документам.
Примечание к документу
Начало действия редакции - 16.11.2025.
Изменения, внесенные
Постановлением Правительства РФ от 07.11.2025 N 1761,
вступили в силу по истечении 7 дней после дня официального опубликования (опубликовано на Официальном интернет-портале правовой информации http://pravo.gov.ru - 08.11.2025).
Название документа
Постановление Правительства РФ от 30.12.2017 N 1710
(ред. от 07.11.2025)
"Об утверждении государственной программы Российской Федерации "Обеспечение доступным и комфортным жильем и коммунальными услугами граждан Российской Федерации"
Постановление Правительства РФ от 30.12.2017 N 1710
(ред. от 07.11.2025)
"Об утверждении государственной программы Российской Федерации "Обеспечение доступным и комфортным жильем и коммунальными услугами граждан Российской Федерации"
ПРАВИТЕЛЬСТВО РОССИЙСКОЙ ФЕДЕРАЦИИ
ПОСТАНОВЛЕНИЕ
от 30 декабря 2017 г. N 1710
ОБ УТВЕРЖДЕНИИ ГОСУДАРСТВЕННОЙ ПРОГРАММЫ
РОССИЙСКОЙ ФЕДЕРАЦИИ "ОБЕСПЕЧЕНИЕ ДОСТУПНЫМ И КОМФОРТНЫМ
ЖИЛЬЕМ И КОММУНАЛЬНЫМИ УСЛУГАМИ ГРАЖДАН
РОССИЙСКОЙ ФЕДЕРАЦИИ"
| | Список изменяющих документов (в ред. Постановлений Правительства РФ от 23.02.2018 N 196, от 18.09.2020 N 1481, от 08.10.2020 N 1630 (ред. 29.12.2020), от 09.11.2021 N 1924, от 30.11.2021 N 2135 (ред. 21.12.2023), от 05.08.2024 N 1053, от 09.08.2024 N 1070, от 30.11.2024 N 1685, от 09.06.2025 N 869, от 14.08.2025 N 1223, от 24.09.2025 N 1468, от 07.11.2025 N 1761) | |
Правительство Российской Федерации постановляет:
1. Утвердить прилагаемые:
государственную
программу Российской Федерации "Обеспечение доступным и комфортным жильем и коммунальными услугами граждан Российской Федерации" (далее - Программа);
изменения, которые вносятся в акты Правительства Российской Федерации.
2. Установить, что:
Министерство строительства и жилищно-коммунального хозяйства Российской Федерации вправе передать федеральному казенному учреждению "Объединенная дирекция по реализации федеральных инвестиционных программ" Министерства строительства и жилищно-коммунального хозяйства Российской Федерации
полномочия по исполнению функций, связанных с реализацией
Программы, в соответствии с перечнем таких полномочий, утверждаемым указанным Министерством;
финансирование исполнения федеральным казенным учреждением "Объединенная дирекция по реализации федеральных инвестиционных программ" Министерства строительства и жилищно-коммунального хозяйства Российской Федерации функций, связанных с реализацией
Программы, осуществляется за счет средств федерального бюджета, предусмотренных на управление реализацией Программы;
распределение средств федерального бюджета по объектам капитального строительства, подлежащим строительству (реконструкции) или приобретению в рамках основного мероприятия "Обеспечение жильем отдельных категорий граждан"
Программы, утверждается главными распорядителями бюджетных средств в пределах объемов бюджетных ассигнований, предусмотренных им на соответствующие цели в федеральном законе о федеральном бюджете на соответствующий финансовый год и плановый период, и утвержденных на эти цели лимитов бюджетных обязательств по согласованию с Министерством экономического развития Российской Федерации и Министерством строительства и жилищно-коммунального хозяйства Российской Федерации;
при реализации
Программы в 2018 году допускается применение формы бланка государственного жилищного сертификата и порядка его заполнения, утвержденных Министерством строительства и жилищно-коммунального хозяйства Российской Федерации в рамках реализации федеральной целевой
программы "Жилище" на 2015 - 2020 годы, утвержденной постановлением Правительства Российской Федерации от 17 декабря 2010 г. N 1050 "О федеральной целевой программе "Жилище" на 2015 - 2020 годы".
3. Министерству строительства и жилищно-коммунального хозяйства Российской Федерации внести до 1 марта 2018 г. в установленном порядке в Правительство Российской Федерации согласованный с Министерством экономического развития Российской Федерации и Министерством финансов Российской Федерации проект акта Правительства Российской Федерации, предусматривающего цели
Программы - обеспечение качества и доступности услуг жилищно-коммунального хозяйства, а также повышение индекса качества городской среды и их значения по годам реализации Программы с приложением к акту методик расчета значений указанных целей Программы.
4. Признать утратившими силу акты Правительства Российской Федерации по перечню согласно
приложению.
5. Настоящее постановление вступает в силу с 1 января 2018 г.
Председатель Правительства
Российской Федерации
Д.МЕДВЕДЕВ
постановлением Правительства
Российской Федерации
от 30 декабря 2017 г. N 1710
ГОСУДАРСТВЕННАЯ ПРОГРАММА РОССИЙСКОЙ ФЕДЕРАЦИИ
"ОБЕСПЕЧЕНИЕ ДОСТУПНЫМ И КОМФОРТНЫМ ЖИЛЬЕМ И КОММУНАЛЬНЫМИ
УСЛУГАМИ ГРАЖДАН РОССИЙСКОЙ ФЕДЕРАЦИИ"
| | Список изменяющих документов (в ред. Постановлений Правительства РФ от 05.06.2018 N 653, от 08.10.2020 N 1630 (ред. 29.12.2020), от 23.10.2020 N 1726, от 30.11.2021 N 2135 (ред. 21.12.2023), от 16.12.2021 N 2328, от 09.08.2024 N 1070, от 30.11.2024 N 1685, от 30.11.2024 N 1698, от 14.08.2025 N 1223, от 24.09.2025 N 1468, от 07.11.2025 N 1761) | |
Приоритеты и цели государственной политики в жилищной
и жилищно-коммунальной сфере
(в ред. Постановления Правительства РФ от 24.09.2025 N 1468)
I. Оценка текущего состояния жилищной
и жилищно-коммунальной сферы
Наличие собственного жилья всегда являлось одной из основных потребностей человека, обеспечивающей здоровье нации, формирование семьи и сохранение семейных ценностей, стабилизацию демографического развития.
Общий совокупный объем ввода жилья на территории Российской Федерации в 2011 - 2024 годах составил 1180,9 млн. кв. метров.
По итогам 2024 года введено в эксплуатацию 107,8 млн. кв. метров жилья (1358,9 тыс. квартир).
Ведущее место в жилищном строительстве на протяжении последних лет занимает индивидуальное жилищное строительство, доля которого в 2024 году достигла 57,8 процента (62,3 млн. кв. метров). Средняя обеспеченность населения площадью жилья составила 29,4 кв. метра общей площади жилых помещений на человека.
Положительное влияние на развитие жилищного строительства оказали законодательные и организационные меры по развитию конкуренции и снижению административных процедур в сфере жилищного строительства.
Стимулирование спроса на жилье обеспечено развитием рынка ипотечного жилищного кредитования. Удалось обеспечить законодательные и экономические условия для ускоренного развития ипотечного жилищного кредитования.
В 2024 году было предоставлено 1,3 млн. ипотечных жилищных кредитов на сумму 4,9 трлн. рублей. Больше половины (50,5 процента) общего объема ипотечных жилищных кредитов в 2024 году было получено гражданами по льготным ипотечным программам, таким как "Семейная ипотека", "Льготная ипотека", "ИТ-ипотека", "Сельская ипотека" и "Льготная ипотека на территориях новых субъектов Российской Федерации".
Многодетным семьям предоставлены выплаты в размере 450 тыс. рублей на погашение ипотеки.
В целях реализации государственной жилищной политики, направленной на повышение гарантий защиты прав и законных интересов граждан - участников строительства, в том числе участников долевого строительства, осуществляет деятельность публично-правовая компания "Фонд развития территорий", которой по состоянию на 1 января 2025 г. приняты обязательства по восстановлению прав более 121,5 тыс. граждан, вложивших денежные средства в строительство 1532 объектов.
При этом на начало 2025 года в едином реестре проблемных объектов числилось 107 объектов площадью более 1 млн. кв. метров.
Для полного исключения возможности появления новых обманутых граждан - участников долевого строительства начиная с 2019 года проведена масштабная реформа долевого строительства и осуществлен переход на привлечение средств граждан для финансирования жилищного строительства с использованием счетов эскроу.
На начало 2025 года 97,6 процента строительства жилья, осуществляемого в соответствии с Федеральным
законом "Об участии в долевом строительстве многоквартирных домов и иных объектов недвижимости и о внесении изменений в некоторые законодательные акты Российской Федерации", производилось с использованием счетов эскроу.
Одной из наиболее острых социальных проблем остается обеспечение жильем категорий граждан, перед которыми государство имеет обязательства по обеспечению жильем в соответствии с законодательством Российской Федерации.
В 2024 году был решен жилищный вопрос 22418 семей (предоставлено из федерального бюджета 38,869 млрд. рублей).
По состоянию на 1 января 2025 г. на учете нуждающихся в жилых помещениях (имеющих право на предоставление социальной выплаты) состоит 526441 семья, в том числе 13335 инвалидов и семей, имеющих детей-инвалидов. По данным государственной информационной системы "Единая централизованная цифровая платформа в социальной сфере", численность детей-сирот, подлежащих обеспечению жильем, составляет 180428 человек.
Одним из направлений улучшения жилищных условий граждан является сокращение объемов накопленного аварийного жилищного фонда.
В ходе реализации мероприятий федерального
проекта "Обеспечение устойчивого сокращения непригодного для проживания жилищного фонда" в 2019 - 2024 годах включительно было расселено 14,02 млн. кв. метров аварийного жилья, переселено 829,18 тыс. человек, проживающих в таком жилье.
Основным фактором, препятствующим устойчивому сокращению непригодного для проживания жилищного фонда, является ежегодный прирост и, соответственно, накопление жилищного фонда, который признается аварийным по итогам его обследования (ежегодно признаются аварийными порядка 2,7 млн. кв. метров).
В целях реализации прав граждан при переселении из аварийного жилищного фонда необходимо создание постоянно действующей системы обновления жилищного фонда путем формирования новых подходов к переселению граждан в рамках новой программы расселения аварийного жилья.
Недопущению преждевременного старения жилищного фонда способствует своевременное проведение его капитального ремонта. В рамках созданной системы капитального ремонта общего имущества многоквартирных домов ежегодно более чем в 40 тыс. многоквартирных домов выполняются работы, финансируемые преимущественно из средств взносов собственников помещений в таких домах.
Улучшение жилищных условий граждан подразумевает не только обеспечение их доступным и комфортным жильем, но и создание комфортной городской среды для проживания и жизнедеятельности населения.
Масштабная работа по благоустройству территорий началась с 2017 года в рамках приоритетного проекта "Формирование комфортной городской среды" основного направления стратегического развития Российской Федерации "ЖКХ и городская среда", с 2019 года работа продолжалась в составе федерального
проекта "Формирование комфортной городской среды" национального
проекта "Жилье и городская среда".
По итогам 2024 года индекс качества городской среды в целом по Российской Федерации вырос на 51 пункт по сравнению с 2019 годом и составил 220 баллов. Доля городов с благоприятной городской средой в общем количестве городов в Российской Федерации по итогам 2024 года выросла по сравнению с 2019 годом в 3 раза и составила 82,4 процента.
Всего в 2017 - 2024 годах в рамках реализации мероприятий по формированию комфортной городской среды ежегодно принимали участие порядка 3 тыс. муниципальных образований, благоустроены 119142 территории, в том числе 38802 общественные территории и 80340 дворовых территорий.
По итогам 2024 года удельный вес общей площади жилищного фонда Российской Федерации, оборудованной системами водоснабжения, составил 87 процентов, канализацией - 83 процента, отоплением и горячим водоснабжением - 89 и 77 процентов соответственно.
Одновременно жилищно-коммунальное хозяйство Российской Федерации продолжает характеризоваться достаточно высокой степенью износа коммунальных объектов и инженерных коммуникаций, что не обеспечивает возрастающих потребностей общества, в том числе связанных с новым жилищным строительством и строительством новых объектов социальной инфраструктуры.
По состоянию на 1 января 2025 г. общая протяженность сетей теплоснабжения, водоснабжения и водоотведения составляет 957 тыс. километров, из них 396 тыс. километров сетей (41,4 процента) нуждаются в замене, в том числе 46 процентов сетей водоотведения, 43 процента сетей водоснабжения и 30,1 процента сетей теплоснабжения.
Накопленный износ коммунальной инфраструктуры является основной причиной растущей аварийности и сохраняющегося высокого уровня потерь.
II. Описание приоритетов и целей государственной политики
в жилищной и жилищно-коммунальной сфере
Приоритеты государственной политики в жилищной и жилищно-коммунальной сфере определены в
Указе Президента Российской Федерации от 7 мая 2024 г. N 309 "О национальных целях развития Российской Федерации на период до 2030 года и на перспективу до 2036 года" (далее - соответственно национальные цели, Указ от 7 мая 2024 г. N 309),
Стратегии развития строительной отрасли и жилищно-коммунального хозяйства Российской Федерации на период до 2030 года с прогнозом до 2035 года, утвержденной распоряжением Правительства Российской Федерации от 31 октября 2022 г. N 3268-р, и
Стратегии пространственного развития Российской Федерации на период до 2030 года с прогнозом до 2036 года, утвержденной распоряжением Правительства Российской Федерации от 28 декабря 2024 г. N 4146-р.
Основными приоритетами государственной политики в жилищной и жилищно-коммунальной сфере являются обеспечение доступности жилья для всех категорий граждан и соответствие объема комфортного жилищного фонда потребностям населения.
Приоритет в жилищной сфере - создание условий для роста предложений на рынке жилья, соответствующего потребностям различных групп населения, а также для повышения доступности жилья для всех категорий граждан Российской Федерации, в том числе:
формирование эффективных рынков земельных участков, обеспеченных градостроительной документацией;
обеспечение земельных участков, предназначенных для массового жилищного строительства, социальной, инженерной, коммунальной и транспортной инфраструктурой, вовлечение в жилищное строительство неиспользуемых или используемых неэффективно государственных и муниципальных земельных участков, в том числе посредством реализации публичным акционерным обществом "ДОМ.РФ" своих функций;
развитие строительного комплекса и производства строительных материалов, изделий и конструкций с применением инновационных, в том числе энергосберегающих, технологий;
содействие внедрению инновационных технологий в сфере жилищного строительства, развитию отечественного производства строительных материалов, изделий и конструкций;
содействие комплексному развитию территорий;
стимулирование малоэтажной застройки;
применение механизма финансирования строительства (реконструкции) объектов инфраструктуры с использованием облигаций специализированных обществ проектного финансирования, использование средств Фонда национального благосостояния, а также бюджетных кредитов (на возвратной основе) в целях реализации проектов по строительству, реконструкции и модернизации объектов инфраструктуры;
совершенствование деятельности единого института развития в жилищной сфере в части обеспечения повышения доступности жилья;
повышение доступности ипотечных жилищных кредитов для граждан;
развитие рынка арендного жилья (коммерческого и некоммерческого использования).
Приоритет в жилищно-коммунальной сфере - обеспечение соответствия объема комфортного жилищного фонда потребностям населения и формирование комфортной городской среды, в том числе:
создание условий, обеспечивающих снижение износа жилищного фонда, в том числе сокращение в среднесрочной перспективе накопленного объема аварийного жилья;
содействие в организации собственников жилья для эффективного управления многоквартирными домами путем совершенствования нормативно-правовой и методологической базы управления многоквартирными домами;
модернизация жилищно-коммунальной сферы и совершенствование тарифной политики и развитие механизмов государственно-частного партнерства в сфере предоставления коммунальных услуг;
формирование комфортной городской среды, обеспечение возможности полноценной жизнедеятельности маломобильных групп населения и безопасности мест пребывания детей с родителями.
Реализация государственной политики в жилищной и жилищно-коммунальной сфере будет способствовать достижению следующих целей государственной программы Российской Федерации "Обеспечение доступным и комфортным жильем и коммунальными услугами граждан Российской Федерации" (далее - Программа):
улучшение качества среды для жизни в опорных населенных пунктах на 30 процентов к 2030 году;
улучшение жилищных условий граждан Российской Федерации за счет повышения обеспеченности жильем общей площадью не менее 33 кв. метров на человека к 2030 году, обновления к 2030 году жилищного фонда на 20 процентов по сравнению с 2019 годом, повышения доступности жилья на первичном рынке, а также сокращения непригодного для проживания жилищного фонда;
благоустройство не менее чем 30 тыс. общественных территорий и реализация в малых городах и исторических поселениях не менее чем 1600 проектов победителей Всероссийского конкурса лучших проектов создания комфортной городской среды к 2030 году;
реализация программы модернизации коммунальной инфраструктуры и улучшение качества предоставляемых коммунальных услуг для 20 млн. человек к 2030 году;
строительство и реконструкция (модернизация) не менее чем 2 тыс. объектов питьевого водоснабжения и водоподготовки к 2030 году;
обеспечение значимого роста энергетической и ресурсной эффективности в жилищно-коммунальном хозяйстве, промышленном и инфраструктурном строительстве, в том числе за счет снижения сроков строительства на 300 дней к 2030 году, внедрения новых технологий, бережливого строительства и цифровизации.
Указанные цели Программы соответствуют целевым показателям национальной цели "Комфортная и безопасная среда для жизни", определенной
пунктом 4 Указа от 7 мая 2024 г. N 309.
Достижение национальных целей осуществляется посредством реализации мероприятий в рамках:
федеральных проектов "Содействие субъектам Российской Федерации в реализации полномочий по оказанию государственной поддержки гражданам в обеспечении жильем и оплате жилищно-коммунальных услуг", "Содействие развитию инфраструктуры субъектов Российской Федерации (муниципальных образований)".
Реализация указанных федеральных проектов окажет положительное влияние также на целевые показатели национальных целей "Экологическое благополучие", "Реализация потенциала каждого человека, развитие его талантов, воспитание патриотичной и социально ответственной личности", "Устойчивая и динамичная экономика" и "Цифровая трансформация государственного и муниципального управления, экономики и социальной сферы".
Решение задач указанных федеральных проектов и достижение целей Программы предусматриваются путем эффективного взаимодействия федеральных органов исполнительной власти, исполнительных органов субъектов Российской Федерации и органов местного самоуправления.
Мероприятия Программы, реализуемые совместно с субъектами Российской Федерации, предполагается осуществить путем предоставления целевых межбюджетных трансфертов из федерального бюджета бюджетам субъектов Российской Федерации (местным бюджетам), в том числе в целях софинансирования расходных обязательств, возникающих при реализации государственных программ субъектов Российской Федерации по развитию жилищной и жилищно-коммунальной сферы, а также путем предоставления субсидии из федерального бюджета в виде имущественного взноса Российской Федерации в публично-правовую компанию "Фонд развития территорий" для предоставления финансовой поддержки бюджетам субъектов Российской Федерации на модернизацию систем коммунальной инфраструктуры.
III. Задачи, определенные в соответствии
с национальными целями
Достижение национальных целей осуществляется путем решения следующих задач:
обеспечение инфраструктурой (социальной, коммунальной, инженерной, транспортной) проектов жилищного строительства в субъектах Российской Федерации, в том числе с учетом их региональных особенностей;
развитие индивидуального жилищного строительства;
оказание государственной поддержки в обеспечении жильем семей отдельных категорий граждан;
цифровая и технологическая трансформация строительной отрасли, направленная на рост энергетической и ресурсной эффективности в строительстве и жилищно-коммунальном хозяйстве, за счет снижения сроков строительства и использования инновационных технологий;
обеспечение эффективного использования земель в целях массового жилищного строительства при условии сохранения и развития зеленого фонда городских и сельских населенных пунктов, а также территорий, на которых располагаются природные объекты, имеющие экологическое, историко-культурное, рекреационное, оздоровительное и иное ценное значение;
дальнейшее благоустройство общественных территорий, комплексное развитие городов и других населенных пунктов;
совершенствование механизмов переселения граждан из непригодного для проживания жилищного фонда, обеспечивающих соблюдение их жилищных прав, установленных законодательством Российской Федерации;
обеспечение опережающего инфраструктурного развития субъектов Российской Федерации;
проведение реконструкции (модернизации), капитального ремонта объектов коммунальной инфраструктуры на территории Российской Федерации в соответствии с комплексными планами модернизации систем коммунальной инфраструктуры субъектов Российской Федерации;
проведение строительства и реконструкции (модернизации) объектов питьевого водоснабжения и водоподготовки.
IV. Задачи государственного управления
и обеспечения национальной безопасности Российской
Федерации, способы их эффективного решения в жилищной
и жилищно-коммунальной сфере
Задачами государственного управления в рамках выполняемых комплексов процессных мероприятий Программы являются:
оказание государственной поддержки в обеспечении жильем отдельных категорий граждан, установленных законодательством Российской Федерации;
выполнение функций по выработке и реализации государственной политики и нормативно-правовому регулированию в жилищной и жилищно-коммунальной сфере, осуществление комплекса мероприятий, направленных на преодоление выявленных проблем, достижение целей и решение задач Программы;
развитие кадрового потенциала в строительной отрасли.
Учебными заведениями ежегодно выпускается порядка 150 тыс. специалистов строительных профессий. Вместе с тем наблюдается низкий процент трудоустройства по специальности этих выпускников. В связи с этим реализуется план мероприятий ("дорожная карта") по повышению престижности и востребованности профессий, связанных с архитектурой и строительством, а также по внесению изменений в образовательные программы по направлениям подготовки специалистов в сфере строительства, обеспечивающих ускоренное вовлечение обучающихся в производственные процессы. Совместно с молодежной общероссийской общественной организацией "Российские Студенческие Отряды" ведется работа по расширению практики привлечения к реализации строительных проектов студенческих строительных отрядов.
Реализация мероприятий Программы, решение поставленных задач, направленных на достижение целей Программы, также будут способствовать обеспечению национальной безопасности Российской Федерации в соответствии с положениями
Стратегии национальной безопасности Российской Федерации, утвержденной Указом Президента Российской Федерации от 2 июля 2021 г. N 400 "О Стратегии национальной безопасности Российской Федерации".
Мероприятия по улучшению жилищных условий граждан, повышению доступности и качества жилья, развитию жилищно-коммунальной инфраструктуры, созданию комфортной среды для проживания во всех населенных пунктах окажут положительное влияние на дальнейшее развитие человеческого потенциала.
Повышение энергетической и ресурсной эффективности в строительстве и жилищно-коммунальном хозяйстве и создание высокотехнологичных рабочих мест внесут свой вклад в рост экономической безопасности Российской Федерации.
Финансирование мероприятий Программы осуществляется за счет средств федерального бюджета, бюджетов субъектов Российской Федерации и местных бюджетов, а также за счет внебюджетных источников. Размеры средств указанных бюджетов и внебюджетных источников подлежат ежегодному уточнению исходя из необходимости достижения целей Программы.
Основными способами эффективного решения задач в рамках реализации государственной политики в жилищной и жилищно-коммунальной сфере являются:
предоставление субсидий бюджетам субъектов Российской Федерации на софинансирование расходных обязательств, в том числе в соответствии с
приложениями N 5,
6,
8 -
15(4),
17 -
19,
21 и
23 -
28 к Программе;
предоставление субвенций бюджетам субъектов Российской Федерации на осуществление полномочий по обеспечению жильем отдельных категорий граждан, установленных законодательством Российской Федерации;
предоставление социальных выплат, удостоверяемых государственными жилищными сертификатами, гражданам отдельных категорий, установленных законодательством Российской Федерации;
предоставление финансовой поддержки бюджетам субъектов Российской Федерации за счет средств публично-правовой компании "Фонд развития территорий" на переселение граждан из аварийного жилищного фонда;
возмещение кредитным организациям недополученных доходов по кредитам, выданным в целях реализации проектов жилищного строительства, в соответствии с
постановлением Правительства Российской Федерации от 30 апреля 2020 г. N 629 "Об утверждении Правил возмещения кредитным организациям недополученных доходов по кредитам, выданным в целях реализации проектов жилищного строительства, и Правил предоставления субсидий из федерального бюджета акционерному обществу "ДОМ.РФ" в виде вклада в имущество акционерного общества "ДОМ.РФ", не увеличивающего его уставный капитал, для возмещения кредитным организациям недополученных доходов по кредитам, выданным в целях реализации проектов жилищного строительства", а также по кредитам, выданным подрядным организациям на досрочное исполнение контрактов по объектам капитального строительства по льготной ставке, в соответствии с
постановлением Правительства Российской Федерации от 31 декабря 2020 г. N 2438 "Об утверждении Правил предоставления субсидии из федерального бюджета акционерному обществу "ДОМ.РФ" в виде вклада в имущество акционерного общества "ДОМ.РФ", не увеличивающего его уставный капитал, для возмещения российским кредитным организациям недополученных доходов по кредитам, выданным подрядным организациям на досрочное исполнение контрактов по объектам капитального строительства по льготной ставке, и Правил возмещения российским кредитным организациям недополученных доходов по кредитам, выданным подрядным организациям на досрочное исполнение контрактов по объектам капитального строительства по льготной ставке";
возмещение затрат специализированных обществ проектного финансирования по выплате процентного (купонного) дохода по облигациям в соответствии с
постановлением Правительства Российской Федерации от 22 марта 2021 г. N 439 "Об утверждении Правил предоставления субсидий из федерального бюджета акционерному обществу "ДОМ.РФ" в виде вкладов в имущество, не увеличивающих его уставный капитал, в целях возмещения затрат специализированных обществ проектного финансирования по выплате процентного (купонного) дохода по облигациям, Правил возмещения затрат специализированных обществ проектного финансирования по выплате процентного (купонного) дохода по облигациям и о внесении изменения в постановление Правительства Российской Федерации от 30 декабря 2017 г. N 1710";
предоставление бюджетных кредитов на реализацию инфраструктурных проектов в соответствии с постановлением Правительства Российской Федерации от 14 июля 2021 г. N 1190 "Об утверждении Правил предоставления, использования и возврата субъектами Российской Федерации бюджетных кредитов, полученных из федерального бюджета на финансовое обеспечение реализации инфраструктурных проектов";
предоставление публично-правовой компанией "Фонд развития территорий" за счет привлеченных средств Фонда национального благосостояния займов юридическим лицам в целях реализации проектов по строительству, реконструкции, модернизации объектов инфраструктуры в соответствии с
постановлением Правительства Российской Федерации от 2 февраля 2022 г. N 87 "О предоставлении публично-правовой компанией "Фонд развития территорий" за счет привлеченных средств Фонда национального благосостояния займов юридическим лицам, в том числе путем приобретения облигаций юридических лиц при их первичном размещении, в целях реализации проектов по строительству, реконструкции, модернизации объектов инфраструктуры, и о внесении изменения в Положение о Правительственной комиссии по региональному развитию в Российской Федерации";
предоставление финансовой поддержки бюджетам субъектов Российской Федерации за счет средств публично-правовой компании "Фонд развития территорий" на модернизацию систем коммунальной инфраструктуры в соответствии с
постановлением Правительства Российской Федерации от 8 декабря 2022 г. N 2253 "Об утверждении Правил предоставления публично-правовой компанией "Фонд развития территорий" финансовой поддержки бюджетам субъектов Российской Федерации за счет средств публично-правовой компании "Фонд развития территорий" на модернизацию систем коммунальной инфраструктуры на 2023 - 2027 годы и о внесении изменений в Положение о Правительственной комиссии по региональному развитию в Российской Федерации";
предоставление бюджетных кредитов на реализацию инфраструктурных проектов (мероприятий) в соответствии с
постановлением Правительства Российской Федерации от 25 января 2025 г. N 48 "Об утверждении Правил предоставления Федеральным казначейством бюджетам субъектов Российской Федерации бюджетных кредитов на финансовое обеспечение реализации инфраструктурных проектов за счет временно свободных средств единого счета федерального бюджета, а также их использования и возврата";
высвобождаемые в результате списания задолженности субъектов Российской Федерации по бюджетным кредитам средства на реализацию инфраструктурных проектов в соответствии с
постановлением Правительства Российской Федерации от 1 февраля 2025 г. N 79 "Об утверждении Правил списания задолженности субъектов Российской Федерации перед Российской Федерацией по отдельным бюджетным кредитам и направления субъектами Российской Федерации средств, высвобождаемых в результате списания задолженности субъектов Российской Федерации по указанным бюджетным кредитам".
V. Задачи по обеспечению достижения показателей
социально-экономического развития субъектов Российской
Федерации, входящих в состав приоритетных территорий,
уровень которых должен быть выше среднего уровня
по Российской Федерации
Реализация мероприятий Программы оказывает положительное влияние на социально-экономическое развитие Российской Федерации, в том числе субъектов Российской Федерации, входящих в состав приоритетных территорий Дальневосточного федерального округа, Северо-Кавказского федерального округа, Арктической зоны Российской Федерации, Донецкой Народной Республики, Республики Крым, Луганской Народной Республики, Запорожской области, Калининградской области, Херсонской области и г. Севастополя.
В целях обеспечения достижения показателей социально-экономического развития субъектов Российской Федерации, входящих в состав указанных приоритетных территорий, уровень которых должен быть выше среднего уровня по Российской Федерации, в рамках Программы реализуются в том числе мероприятия:
по расселению граждан из непригодного для проживания жилищного фонда, переселению из не предназначенных для проживания строений, созданных в период промышленного освоения Сибири и Дальнего Востока, из ветхого и аварийного жилья в зоне Байкало-Амурской магистрали, а также граждан, проживающих в оползневой зоне на территории Чеченской Республики;
по обеспечению жильем молодых семей, детей-сирот, детей, оставшихся без попечения родителей, лиц из их числа;
по оказанию государственной поддержки в обеспечении жильем семей отдельных категорий граждан, установленных законодательством Российской Федерации;
по разработке мастер-планов развития городов, являющихся административными центрами субъектов Российской Федерации, входящих в состав Дальневосточного федерального округа, городов с населением свыше 50 тыс. человек, расположенных на территории Дальневосточного федерального округа, а также г. Тынды и г. Северобайкальска, а также долгосрочных планов социально-экономического развития городов и агломераций;
по благоустройству общественных территорий и иные мероприятия, предусмотренные государственными (муниципальными) программами формирования современной городской среды;
по строительству и реконструкции (модернизации) объектов питьевого водоснабжения и водоподготовки;
по строительству и реконструкции (модернизации), капитальному ремонту объектов тепло-, водоснабжения и водоотведения, предусмотренных комплексными планами модернизации систем коммунальной инфраструктуры субъектов Российской Федерации;
по повышению устойчивости жилых домов, основных объектов и систем жизнеобеспечения в сейсмических районах Российской Федерации.
государственной программы Российской Федерации "Обеспечение
доступным и комфортным жильем и коммунальными услугами
граждан Российской Федерации"
Утратил силу с 1 января 2022 года. -
Постановление Правительства РФ от 29.12.2021 N 2570.
к государственной программе
Российской Федерации "Обеспечение
доступным и комфортным жильем
и коммунальными услугами граждан
Российской Федерации"
СТРУКТУРА
ГОСУДАРСТВЕННОЙ ПРОГРАММЫ РОССИЙСКОЙ ФЕДЕРАЦИИ "ОБЕСПЕЧЕНИЕ
ДОСТУПНЫМ И КОМФОРТНЫМ ЖИЛЬЕМ И КОММУНАЛЬНЫМИ УСЛУГАМИ
ГРАЖДАН РОССИЙСКОЙ ФЕДЕРАЦИИ"
Утратила силу с 1 января 2022 года. -
Постановление Правительства РФ от 29.12.2021 N 2570.
к государственной программе
Российской Федерации "Обеспечение
доступным и комфортным жильем
и коммунальными услугами граждан
Российской Федерации"
ПОКАЗАТЕЛИ
РЕЗУЛЬТАТИВНОСТИ ОТДЕЛЬНЫХ МЕРОПРИЯТИЙ ГОСУДАРСТВЕННОЙ
ПРОГРАММЫ РОССИЙСКОЙ ФЕДЕРАЦИИ "ОБЕСПЕЧЕНИЕ ДОСТУПНЫМ
И КОМФОРТНЫМ ЖИЛЬЕМ И КОММУНАЛЬНЫМИ УСЛУГАМИ ГРАЖДАН
РОССИЙСКОЙ ФЕДЕРАЦИИ"
Утратили силу. -
Постановление Правительства РФ от 31.03.2021 N 517.
к государственной программе
Российской Федерации "Обеспечение
доступным и комфортным жильем
и коммунальными услугами граждан
Российской Федерации"
ПЕРЕЧЕНЬ
УЧАСТНИКОВ ГОСУДАРСТВЕННОЙ ПРОГРАММЫ РОССИЙСКОЙ ФЕДЕРАЦИИ
"ОБЕСПЕЧЕНИЕ ДОСТУПНЫМ И КОМФОРТНЫМ ЖИЛЬЕМ И КОММУНАЛЬНЫМИ
УСЛУГАМИ ГРАЖДАН РОССИЙСКОЙ ФЕДЕРАЦИИ"
Утратил силу с 1 января 2022 года. -
Постановление Правительства РФ от 29.12.2021 N 2570.
к государственной программе
Российской Федерации "Обеспечение
доступным и комфортным жильем
и коммунальными услугами граждан
Российской Федерации"
ПЕРЕЧЕНЬ
ОБЪЕКТОВ КАПИТАЛЬНОГО СТРОИТЕЛЬСТВА, МЕРОПРИЯТИЙ
(УКРУПНЕННЫХ ИНВЕСТИЦИОННЫХ ПРОЕКТОВ), ОБЪЕКТОВ
НЕДВИЖИМОСТИ, ВКЛЮЧАЕМЫХ (ПОДЛЕЖАЩИХ ВКЛЮЧЕНИЮ)
В ФЕДЕРАЛЬНУЮ АДРЕСНУЮ ИНВЕСТИЦИОННУЮ ПРОГРАММУ
Утратил силу. -
Постановление Правительства РФ от 29.07.2023 N 1225.
к государственной программе
Российской Федерации "Обеспечение
доступным и комфортным жильем
и коммунальными услугами граждан
Российской Федерации"
ПРЕДОСТАВЛЕНИЯ И РАСПРЕДЕЛЕНИЯ СУБСИДИЙ ИЗ ФЕДЕРАЛЬНОГО
БЮДЖЕТА БЮДЖЕТАМ СУБЪЕКТОВ РОССИЙСКОЙ ФЕДЕРАЦИИ
НА СОФИНАНСИРОВАНИЕ РАСХОДНЫХ ОБЯЗАТЕЛЬСТВ СУБЪЕКТОВ
РОССИЙСКОЙ ФЕДЕРАЦИИ НА ПРЕДОСТАВЛЕНИЕ СОЦИАЛЬНЫХ ВЫПЛАТ
МОЛОДЫМ СЕМЬЯМ НА ПРИОБРЕТЕНИЕ (СТРОИТЕЛЬСТВО) ЖИЛЬЯ
| | Список изменяющих документов (в ред. Постановлений Правительства РФ от 30.01.2019 N 62, | |
1. Настоящие Правила устанавливают цели, порядок и условия предоставления и распределения субсидий из федерального бюджета бюджетам субъектов Российской Федерации на софинансирование расходных обязательств субъектов Российской Федерации на предоставление социальных выплат молодым семьям на приобретение (строительство) жилья в рамках федерального проекта "Содействие субъектам Российской Федерации в реализации полномочий по оказанию государственной поддержки гражданам в обеспечении жильем и оплате жилищно-коммунальных услуг" государственной
программы Российской Федерации "Обеспечение доступным и комфортным жильем и коммунальными услугами граждан Российской Федерации" (далее - федеральный проект, субсидия).
(в ред. Постановлений Правительства РФ от 30.01.2019
N 62, от 17.10.2023
N 1725)
2. Субсидия предоставляется в пределах лимитов бюджетных обязательств, доведенных до Министерства строительства и жилищно-коммунального хозяйства Российской Федерации как получателя бюджетных средств федерального бюджета, на цели, указанные в
пункте 1 настоящих Правил.
3. Для участия в федеральном проекте высший исполнительный орган субъекта Российской Федерации направляет в Министерство строительства и жилищно-коммунального хозяйства Российской Федерации заявку об участии в федеральном проекте по
форме и в срок, которые утверждаются указанным Министерством (далее - заявка).
(в ред. Постановлений Правительства РФ от 30.01.2019
N 62, от 09.12.2022
N 2272, от 17.10.2023
N 1725)
4. Распределение субсидий между субъектами Российской Федерации осуществляется исходя из размера субсидии, предоставляемой бюджету субъекта Российской Федерации.
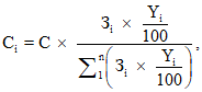
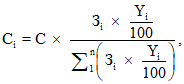
Размер субсидии, предоставляемой бюджету субъекта Российской Федерации (Ci), определяется по формуле:
где:
Cmin i - минимальный размер субсидии, предоставляемой i-му субъекту Российской Федерации;
C - размер бюджетных ассигнований федерального бюджета на соответствующий финансовый год для предоставления субсидий;
n - число субъектов Российской Федерации, между бюджетами которых распределяются субсидии;
Zi - размер средств федерального бюджета, необходимый для софинансирования расходного обязательства субъекта Российской Федерации по предоставлению социальных выплат молодым семьям - участникам федерального проекта в i-м субъекте Российской Федерации, за исключением молодых семей, учтенных при расчете минимального размера субсидии, предоставляемой бюджету этого субъекта Российской Федерации.
(п. 4 в ред.
Постановления Правительства РФ от 02.08.2019 N 1012)
5. Минимальный размер субсидии, предоставляемой i-му субъекту Российской Федерации (C
min i), определяется по формуле:
Cmin i = Nmin i x Pi x 54 x 0,35 x Yi,
где:
N
min i - минимальное количество молодых семей - получателей социальных выплат в i-м субъекте Российской Федерации, которое составляет 10 семей для каждого субъекта Российской Федерации (за исключением субъектов Российской Федерации, в которых количество молодых семей - участников федерального проекта, вошедших в сводный список молодых семей - участников мероприятия федерального проекта, изъявивших желание получить социальную выплату в планируемом году, предусмотренный
пунктом 26 приложения N 1 к особенностям реализации отдельных мероприятий государственной программы Российской Федерации "Обеспечение доступным и комфортным жильем и коммунальными услугами граждан Российской Федерации", утвержденным постановлением Правительства Российской Федерации от 17 декабря 2010 г. N 1050 "О реализации отдельных мероприятий государственной программы Российской Федерации "Обеспечение доступным и комфортным жильем и коммунальными услугами граждан Российской Федерации" (далее - сводный список молодых семей - участников федерального проекта), меньше 10, для которых минимальное количество молодых семей - получателей социальных выплат принимается равным количеству молодых семей - участников федерального проекта, вошедших в сводный список молодых семей - участников мероприятия федерального проекта, изъявивших желание получить социальную выплату в планируемом году, предусмотренный
пунктом 26 приложения N 1 к особенностям реализации отдельных мероприятий государственной программы Российской Федерации "Обеспечение доступным и комфортным жильем и коммунальными услугами граждан Российской Федерации", утвержденным постановлением Правительства Российской Федерации от 17 декабря 2010 г. N 1050 "О реализации отдельных мероприятий государственной программы Российской Федерации "Обеспечение доступным и комфортным жильем и коммунальными услугами граждан Российской Федерации" (далее - сводный список молодых семей - участников федерального проекта));
(в ред. Постановлений Правительства РФ от 31.07.2020
N 1147, от 17.10.2023
N 1725)
Pi - средняя рыночная стоимость 1 кв. метра общей площади жилого помещения по i-му субъекту Российской Федерации, определенная Министерством строительства и жилищно-коммунального хозяйства Российской Федерации на III квартал года, предшествующего планируемому году;
Y
i - предельный уровень софинансирования расходного обязательства i-го субъекта Российской Федерации из федерального бюджета, утверждаемый Правительством Российской Федерации в соответствии с
пунктом 13 Правил формирования, предоставления и распределения субсидий из федерального бюджета бюджетам субъектов Российской Федерации, утвержденных постановлением Правительства Российской Федерации от 30 сентября 2014 г. N 999 "О формировании, предоставлении и распределении субсидий из федерального бюджета бюджетам субъектов Российской Федерации" (далее - Правила формирования, предоставления и распределения субсидий).
(п. 5 в ред.
Постановления Правительства РФ от 02.08.2019 N 1012)
5(1). Размер средств федерального бюджета, необходимый для софинансирования расходного обязательства субъекта Российской Федерации по предоставлению социальных выплат молодым семьям - участникам федерального проекта в i-м субъекте Российской Федерации, за исключением молодых семей, учтенных при расчете минимального размера субсидии, предоставляемой бюджету этого субъекта Российской Федерации (Zi), определяется по формуле:
Zi = (Ni - Nmin i) x Pi x 54 x 0,35 x Yi,
где:
Ni - количество молодых семей - участников федерального проекта, вошедших в сводный список молодых семей - участников федерального проекта, в i-м субъекте Российской Федерации;
(в ред. Постановлений Правительства РФ от 31.07.2020
N 1147, от 17.10.2023
N 1725)
Nmin i - минимальное количество молодых семей - получателей социальных выплат в i-м субъекте Российской Федерации, которое составляет 10 семей для каждого субъекта Российской Федерации (за исключением субъектов Российской Федерации, в которых количество молодых семей - участников федерального проекта, вошедших в сводный список молодых семей - участников федерального проекта, меньше 10, для которых минимальное количество молодых семей - получателей социальных выплат принимается равным количеству молодых семей - участников федерального проекта, вошедших в сводный список молодых семей - участников федерального проекта);
(в ред. Постановлений Правительства РФ от 31.07.2020
N 1147, от 17.10.2023
N 1725)
Pi - средняя рыночная стоимость 1 кв. метра общей площади жилого помещения по i-му субъекту Российской Федерации, определенная Министерством строительства и жилищно-коммунального хозяйства Российской Федерации на III квартал года, предшествующего планируемому году;
Y
i - предельный уровень софинансирования расходного обязательства i-го субъекта Российской Федерации из федерального бюджета, утверждаемый Правительством Российской Федерации в соответствии с
пунктом 13 Правил формирования, предоставления и распределения субсидий.
6. В случае если размер средств, предусмотренных в консолидированном бюджете субъекта Российской Федерации на финансирование мероприятий, на софинансирование которых предоставляется субсидия, не обеспечивает предельного уровня софинансирования расходного обязательства субъекта Российской Федерации из федерального бюджета, определенного в соответствии с
пунктом 5 настоящих Правил, размер субсидии подлежит сокращению до размера, обеспечивающего предельный уровень софинансирования.
6(1). В случае образования в ходе распределения субсидий в соответствии с
пунктами 4 -
6 настоящих Правил нераспределенного остатка бюджетных ассигнований федерального бюджета такой остаток распределяется в соответствии с положениями настоящих Правил между бюджетами субъектов Российской Федерации, входящих в состав Дальневосточного федерального округа, в дополнение к размеру субсидии, определенному в соответствии с
пунктами 4 -
6 настоящих Правил.
6(2). В случае образования в ходе распределения субсидий в соответствии с
пунктом 6(1) настоящих Правил нераспределенного остатка бюджетных ассигнований федерального бюджета такой остаток распределяется в соответствии с положениями настоящих Правил между бюджетами субъектов Российской Федерации, не входящих в состав Дальневосточного федерального округа, в дополнение к размеру субсидии, определенному в соответствии с
пунктами 4 -
6 настоящих Правил.
7. Распределение средств федерального бюджета между бюджетами субъектов Российской Федерации утверждается в форме приложения к федеральному закону о федеральном бюджете на соответствующий финансовый год.
8. В случае если размер средств, определенный для предоставления субсидии бюджету субъекта Российской Федерации, меньше запрошенного субъектом Российской Федерации предельного размера средств федерального бюджета для софинансирования расходного обязательства субъекта Российской Федерации, средства, предусмотренные в бюджете субъекта Российской Федерации и в местных бюджетах и учитываемые при распределении субсидии, уменьшению не подлежат.
9. Субсидия предоставляется при соблюдении следующих условий:
а) наличие нормативного правового акта субъекта Российской Федерации, утверждающего перечень мероприятий (результатов), при реализации которых возникают расходные обязательства субъекта Российской Федерации, в целях софинансирования которых предоставляется субсидия;
б) наличие в бюджете субъекта Российской Федерации бюджетных ассигнований на исполнение расходного обязательства субъекта Российской Федерации, софинансирование которого осуществляется из федерального бюджета, в объеме, необходимом для его исполнения, включающем размер планируемой к предоставлению из федерального бюджета субсидии;
в) заключение соглашения о предоставлении субсидии в соответствии
пунктом 11 настоящих Правил.
10. Критериями отбора субъектов Российской Федерации для предоставления субсидии являются:
а) наличие обязательства субъекта Российской Федерации по предоставлению молодым семьям - участникам федерального проекта при рождении (усыновлении) одного ребенка дополнительной социальной выплаты в размере не менее 5 процентов расчетной (средней) стоимости жилья;
(в ред. Постановлений Правительства РФ от 30.01.2019
N 62, от 17.10.2023
N 1725)
б) подтверждение намерений банков и других организаций, предоставляющих ипотечные жилищные кредиты или займы, принимать участие в кредитовании молодых семей на условиях, предусмотренных федеральным проектом, в случае соответствия молодых семей требованиям платежеспособности, установленным банками или другими организациями, предоставляющими ипотечные жилищные кредиты или займы.
(в ред. Постановлений Правительства РФ от 30.01.2019
N 62, от 17.10.2023
N 1725)
11. Предоставление субсидии бюджету субъекта Российской Федерации осуществляется на основании соглашения о предоставлении субсидии, заключенного между Министерством строительства и жилищно-коммунального хозяйства Российской Федерации и высшим исполнительным органом субъекта Российской Федерации в соответствии с
типовой формой, утвержденной Министерством финансов Российской Федерации (далее - соглашение).
Содержание соглашения должно соответствовать требованиям, установленным
пунктом 10 Правил формирования, предоставления и распределения субсидий.
12. Перечисление субсидий в бюджеты субъектов Российской Федерации осуществляется в порядке, установленном Правительством Российской Федерации.
13. В целях предоставления социальных выплат поступившие в бюджет субъекта Российской Федерации (местный бюджет) средства в размере, необходимом для предоставления социальной выплаты, перечисляются на казначейский счет для осуществления и отражения операций с денежными средствами, поступающими во временное распоряжение, открытый финансовому органу субъекта Российской Федерации (муниципального образования), с отражением указанных операций на лицевых счетах, открытых исполнительным органам субъекта Российской Федерации (органам местного самоуправления) в территориальном органе Федерального казначейства или финансовом органе субъекта Российской Федерации (финансовом органе муниципального образования), для учета операций со средствами, поступающими в соответствии с законодательством Российской Федерации во временное распоряжение получателей средств бюджетов Российской Федерации (местных бюджетов).
Перечисление средств с лицевых счетов, предназначенных для учета операций со средствами, поступающими во временное распоряжение получателей средств бюджета субъекта Российской Федерации (местного бюджета), осуществляется на основании представленных в территориальный орган Федерального казначейства или финансовый орган субъекта Российской Федерации (финансовый орган муниципального образования) органами государственной власти субъекта Российской Федерации (органами местного самоуправления) утвержденных указанными органами списков получателей социальных выплат с указанием размера социальной выплаты для каждого получателя.
14. Распределение субсидий, выделяемых из бюджета субъекта Российской Федерации, в том числе за счет средств федерального бюджета, между муниципальными образованиями, участвующими в реализации федерального проекта, осуществляется по методике, утверждаемой актом субъекта Российской Федерации, с учетом положений бюджетного законодательства Российской Федерации.
(в ред. Постановлений Правительства РФ от 30.01.2019
N 62, от 17.10.2023
N 1725)
15. Перечисление средств, выделенных на софинансирование расходного обязательства субъекта Российской Федерации по реализации федерального проекта, в местные бюджеты осуществляется из бюджета субъекта Российской Федерации в установленном порядке.
(в ред. Постановлений Правительства РФ от 30.01.2019
N 62, от 17.10.2023
N 1725)
16. Высший исполнительный орган субъекта Российской Федерации ежеквартально, не позднее 15-го числа месяца, следующего за отчетным кварталом, представляет в Министерство строительства и жилищно-коммунального хозяйства Российской Федерации в порядке, установленном соглашением, отчетность об осуществлении расходов бюджета субъекта Российской Федерации, в целях софинансирования которых предоставляется субсидия, а также о достижении значений результата использования субсидии, которым является количество молодых семей, получивших свидетельство о праве на получение социальной выплаты.
(в ред. Постановлений Правительства РФ от 30.01.2019
N 62, от 31.03.2020
N 399, от 09.12.2022
N 2272)
17. В случае непредставления отчетности, указанной в
пункте 16 настоящих Правил, в установленный срок перечисление средств из федерального бюджета в бюджет субъекта Российской Федерации для предоставления социальных выплат приостанавливается до представления указанной отчетности.
18. Достижение значения результата использования субсидий определяется Министерством строительства и жилищно-коммунального хозяйства Российской Федерации по итогам финансового года на основании сравнения его фактического и планового значений.
(п. 18 в ред.
Постановления Правительства РФ от 31.03.2020 N 399)
19. Отношения, возникающие при нарушении субъектом Российской Федерации обязательств, предусмотренных соглашением, а также основания освобождения субъектов Российской Федерации от мер финансовой ответственности регулируются
пунктами 16 -
18 и
20 Правил формирования, предоставления и распределения субсидий.
20. Не использованный в текущем финансовом году остаток субсидий подлежит перечислению в доход федерального бюджета в порядке, установленном бюджетным законодательством Российской Федерации.
В случае если неиспользованный остаток субсидий не перечислен в доход федерального бюджета, этот остаток подлежит взысканию в доход федерального бюджета в порядке, установленном бюджетным законодательством Российской Федерации.
21. В случае нарушения целей, установленных при предоставлении субсидии, применяются бюджетные меры принуждения, предусмотренные бюджетным законодательством Российской Федерации.
(п. 21 в ред.
Постановления Правительства РФ от 17.10.2023 N 1725)
22. Контроль за соблюдением субъектом Российской Федерации целей, порядка и условий предоставления субсидий осуществляется Министерством строительства и жилищно-коммунального хозяйства Российской Федерации и уполномоченными органами государственного финансового контроля.
к государственной программе
Российской Федерации "Обеспечение
доступным и комфортным жильем
и коммунальными услугами граждан
Российской Федерации"
ПРЕДОСТАВЛЕНИЯ И РАСПРЕДЕЛЕНИЯ СУБСИДИЙ ИЗ ФЕДЕРАЛЬНОГО
БЮДЖЕТА БЮДЖЕТАМ СУБЪЕКТОВ РОССИЙСКОЙ ФЕДЕРАЦИИ НА РАЗВИТИЕ
ЖИЛИЩНОГО СТРОИТЕЛЬСТВА
| | Список изменяющих документов (в ред. Постановлений Правительства РФ от 31.07.2020 N 1147, | |
1. Настоящие Правила устанавливают цель, порядок и условия предоставления субсидий из федерального бюджета бюджетам субъектов Российской Федерации на софинансирование расходных обязательств субъектов Российской Федерации по реализации проектов по развитию территорий, расположенных в границах населенных пунктов, предусматривающих строительство жилья, которые включены в государственные программы субъектов Российской Федерации по развитию жилищного строительства, в рамках федерального
проекта "Жилье" государственной программы Российской Федерации "Обеспечение доступным и комфортным жильем и коммунальными услугами граждан Российской Федерации" (далее соответственно - федеральный проект, проект по развитию территорий, субсидии).
Проект по развитию территорий включает в себя перечень мероприятий по обеспечению земельных участков объектами транспортной, коммунальной и социальной инфраструктуры.
2. Субсидии предоставляются Министерством строительства и жилищно-коммунального хозяйства Российской Федерации в пределах лимитов бюджетных обязательств, доведенных до указанного Министерства как получателя средств федерального бюджета на предоставление субсидии на цели, предусмотренные
пунктом 6 настоящих Правил.
3. Субсидии предоставляются при соблюдении следующих условий:
а) наличие нормативного правового акта субъекта Российской Федерации, утверждающего перечень мероприятий (результатов), в целях софинансирования которых предоставляется субсидия;
б) наличие в бюджете субъекта Российской Федерации бюджетных ассигнований на исполнение расходного обязательства субъекта Российской Федерации, в целях софинансирования которого предоставляется субсидия, в объеме, необходимом для его исполнения, включающем размер планируемой к предоставлению из федерального бюджета субсидии;
в) заключение соглашения между Министерством строительства и жилищно-коммунального хозяйства Российской Федерации и высшим исполнительным органом субъекта Российской Федерации о предоставлении субсидии (далее - соглашение) в соответствии с
пунктом 10 Правил формирования, предоставления и распределения субсидий из федерального бюджета бюджетам субъектов Российской Федерации, утвержденных постановлением Правительства Российской Федерации от 30 сентября 2014 г. N 999 "О формировании, предоставлении и распределении субсидий из федерального бюджета бюджетам субъектов Российской Федерации" (далее - Правила предоставления субсидий).
(в ред. Постановлений Правительства РФ от 02.12.2022
N 2214, от 09.12.2022
N 2272)
3(1). Предоставление субсидии бюджету субъекта Российской Федерации осуществляется на основании соглашения, подготавливаемого (формируемого) и заключаемого в государственной интегрированной информационной системе управления общественными финансами "Электронный бюджет" в соответствии с
типовой формой соглашения, утвержденной Министерством финансов Российской Федерации.
4. Для участия в федеральном проекте высший исполнительный орган субъекта Российской Федерации представляет в Министерство строительства и жилищно-коммунального хозяйства Российской Федерации заявку на участие в федеральном проекте по
форме и в
порядке, которые утверждаются указанным Министерством (далее - заявка).
Организацию приема и рассмотрения заявок обеспечивает Министерство строительства и жилищно-коммунального хозяйства Российской Федерации с привлечением в установленном порядке подведомственной организации.
(п. 4 в ред.
Постановления Правительства РФ от 02.12.2022 N 2214)
5. Субсидии предоставляются на реализацию проектов по развитию территорий, соответствующих следующим критериям:
а) наличие утвержденного проекта планировки территории или решения о разработке проекта планировки территории;
б) наличие карты (фрагмента карты) планировочной структуры территории соответствующего муниципального образования с отображением границ территории проекта по развитию территорий, объектов капитального строительства, реализуемых в рамках федерального проекта;
в) наличие документов, подтверждающих планируемое строительство жилья в объеме, заявленном субъектом Российской Федерации в рамках проекта по развитию территорий в очередном финансовом году (разрешений на строительство многоквартирных домов и (или) уведомлений о планируемом строительстве объектов индивидуального жилищного строительства и (или) иных документов);
г) наличие описания проекта по развитию территорий с указанием наименования и срока реализации, общего объема и сроков ввода жилья в рамках проекта.
6. Субсидии могут быть направлены на следующие цели:
а) возмещение затрат (части затрат) на уплату процентов по кредитам, полученным заемщиками в российских кредитных организациях на строительство и (или) реконструкцию (модернизацию) объектов инженерной инфраструктуры в целях реализации проектов по развитию территорий, а также на обеспечение такими объектами земельных участков, предоставляемых семьям, имеющим 3 и более детей;
б) возмещение затрат (части затрат) на выплату платы концедента по концессионным соглашениям на создание и (или) реконструкцию (модернизацию) объектов теплоснабжения, централизованных систем горячего водоснабжения, холодного водоснабжения и (или) водоотведения, отдельных объектов таких систем, заключенным в целях реализации проектов по развитию территорий;
в) подключение (технологическое присоединение) объектов капитального строительства к сетям теплоснабжения, водоснабжения и водоотведения в целях реализации проектов по развитию территорий;
г) строительство (реконструкция) объектов социальной инфраструктуры (дошкольных учреждений, образовательных учреждений и учреждений здравоохранения) в целях реализации проектов по развитию территорий, финансирование которых осуществлялось в рамках федерального проекта по 2021 год включительно;
д) строительство (реконструкция) объектов транспортной инфраструктуры в целях реализации проектов по развитию территорий;
е) строительство (реконструкция) объектов водоснабжения, водоотведения и теплоснабжения, в том числе магистральных сетей, в целях реализации проектов по развитию территорий.
7. Совокупный размер средств субсидии, направляемых в соответствии с
подпунктом "е" пункта 6 настоящих Правил, в рамках одного проекта по развитию территорий не может превышать 8 тыс. рублей в расчете на 1 кв. метр общей площади жилых помещений, подлежащих вводу в эксплуатацию в рамках такого проекта согласно заявке.
Не допускается предоставление субсидии на цели, указанные в
подпунктах "а" -
"в" и
"е" пункта 6 настоящих Правил, в связи с реализацией мероприятий в отношении одного и того же объекта капитального строительства в пределах одного финансового года.
8. Возмещение затрат (части затрат) на уплату процентов по кредитам, полученным заемщиками, производится:
из расчета предусмотренной кредитным договором процентной ставки, но не более 70 процентов ключевой ставки Центрального банка Российской Федерации, действующей на каждую дату начисления банком процентов по кредитному договору;
при условии, что предметом кредитного договора является предоставление кредита на строительство и (или) реконструкцию (модернизацию) объектов инженерной инфраструктуры;
при условии своевременного исполнения заемщиками текущих обязательств в сроки и объемах, которые установлены графиком погашения кредита и уплаты процентов по нему.
Возмещение затрат (части затрат) на уплату процентов по кредиту, начисленных и уплаченных по просроченной ссудной задолженности, не производится.
9. При планировании направления субсидии на цель, предусмотренную
подпунктом "а" пункта 6 настоящих Правил, субъекты Российской Федерации одновременно с заявкой представляют следующие документы:
а) заявление заемщика о возмещении затрат (части затрат) на уплату процентов по кредиту, составленное в свободной форме;
б) копия кредитного договора, заверенная кредитной организацией, выдавшей кредит;
в) выписка из ссудного счета о получении кредита, график погашения кредита и уплаты процентов по нему;
г) расчет размера средств на возмещение затрат (части затрат) на уплату процентов по кредиту до 2024 года включительно;
д) справка налогового органа об отсутствии у заемщика - юридического лица просроченной задолженности по налогам, сборам и иным обязательным платежам в бюджеты бюджетной системы Российской Федерации и государственные внебюджетные фонды. Справка формируется на дату не ранее чем за 3 месяца до даты подачи заявки.
10. Субъект Российской Федерации вправе устанавливать дополнительный перечень документов и сведений, запрашиваемых у заемщика для направления субсидии на цель, предусмотренную
подпунктом "а" пункта 6 настоящих Правил, а также сроки их представления.
11. При планировании направления субсидии на цель, предусмотренную
подпунктом "б" пункта 6 настоящих Правил, одновременно с заявкой представляются следующие документы:
а) расчет размера средств на возмещение затрат (части затрат) на выплату платы концедента по концессионному соглашению до 2024 года включительно;
б) копия заключенного концессионного соглашения, предусматривающего в том числе выплату платы концедента по концессионному соглашению.
12. При планировании направления субсидии на цель, предусмотренную
подпунктом "в" пункта 6 настоящих Правил, субъектами Российской Федерации одновременно с заявкой представляются следующие документы:
расчет размера средств на оплату договора о подключении (технологическом присоединении) объекта капитального строительства к сетям теплоснабжения, водоснабжения и водоотведения;
копия договора о подключении (технологическом присоединении) объекта капитального строительства к сетям теплоснабжения, водоснабжения и водоотведения, в том числе график платежей по такому договору;
акт сверки взаиморасчетов, подписанный сторонами договора о подключении (технологическом присоединении) объекта капитального строительства к сетям теплоснабжения, водоснабжения и водоотведения.
Направление субсидии на оплату задолженности по договору о подключении (технологическом присоединении) объекта капитального строительства к сетям теплоснабжения, водоснабжения и водоотведения не производится.
13. При планировании направления субсидий на цели, предусмотренные
подпунктами "г" -
"е" пункта 6 настоящих Правил, субъектами Российской Федерации одновременно с заявкой в отношении каждого объекта капитального строительства представляются следующие сведения и документы:
а) наименование объекта капитального строительства, технологические параметры, сроки ввода в эксплуатацию;
б) размер бюджетных ассигнований федерального бюджета и консолидированного бюджета субъекта Российской Федерации, планируемых на финансирование строительства объекта капитального строительства;
в) копия положительного заключения государственной экспертизы проектной документации и (или) результатов инженерных изысканий, содержащего оценку достоверности определения сметной стоимости строительства объекта капитального строительства;
г) документы об утверждении проектной документации в соответствии с законодательством Российской Федерации - в случае, если в соответствии с законодательством Российской Федерации подготовка проектной документации является обязательной. В проектной документации по объектам капитального строительства, реализуемым на территориях Дальневосточного федерального округа и Арктической зоны Российской Федерации, необходимо предусматривать перечень мероприятий и затраты по привлечению студенческих строительных отрядов;
д) титульный список вновь начинаемых и (или) переходящих объектов капитального строительства, утвержденный заказчиком;
е) сведения, необходимые для проведения проверки инвестиционного проекта на предмет эффективности использования средств федерального бюджета, направляемых на капитальные вложения, предусмотренные
Правилами проведения проверки инвестиционных проектов на предмет эффективности использования средств федерального бюджета, направляемых на капитальные вложения, утвержденными постановлением Правительства Российской Федерации от 15 марта 2023 г. N 399 "О случаях и порядке проведения проверки инвестиционных проектов на предмет эффективности использования средств федерального бюджета, направляемых на капитальные вложения, о внесении изменений в некоторые акты Правительства Российской Федерации, приостановлении действия постановления Правительства Российской Федерации от 12 августа 2008 г. N 590 и отдельных положений некоторых актов Правительства Российской Федерации, а также признании утратившими силу некоторых актов и отдельных положений некоторых актов Правительства Российской Федерации", - в случаях, определенных указанным постановлением.
(пп. "е" в ред.
Постановления Правительства РФ от 05.08.2024 N 1053)
14. В случае отсутствия проектной документации по объекту капитального строительства, строительство которого планируется осуществлять в 2022 - 2024 годах, при планировании направления субсидий на цели, предусмотренные
подпунктами "г" -
"е" пункта 6 настоящих Правил, одновременно с заявкой представляется только копия утвержденного задания на проектирование.
15. Предоставление субсидии на цели, указанные в
подпунктах "г" -
"е" пункта 6 настоящих Правил, осуществляется после представления в Министерство строительства и жилищно-коммунального хозяйства Российской Федерации заявки и документов, указанных в
пункте 13 настоящих Правил.
16. Абзац утратил силу. -
Постановление Правительства РФ от 05.11.2020 N 1785.
Адресное (пообъектное) распределение субсидий по объектам капитального строительства, софинансирование строительства (реконструкции) которых осуществляется за счет субсидии, определяется в соответствии с
пунктом 5 Правил предоставления субсидий.
Абзац утратил силу. -
Постановление Правительства РФ от 05.08.2024 N 1053.
В случае необходимости внесения изменений в проектную документацию объекта капитального строительства, включенного в указанное в
абзаце втором настоящего пункта адресное (пообъектное) распределение, техническое задание на подготовку изменений в проектную документацию согласовывается с Министерством строительства и жилищно-коммунального хозяйства Российской Федерации. После получения положительного заключения государственной экспертизы проектной документации в отношении изменений, внесенных в проектную документацию, в Министерство строительства и жилищно-коммунального хозяйства Российской Федерации повторно представляются документы и сведения, предусмотренные
пунктом 13 настоящих Правил, по такому объекту капитального строительства.
(в ред. Постановлений Правительства РФ от 05.11.2020
N 1785, от 05.08.2024
N 1053)
17. Субсидия распределяется между бюджетами субъектов Российской Федерации на 2021 - 2024 годы на основании заявок в следующем порядке:
а) бюджетные ассигнования в размере 30 процентов общего объема средств федерального бюджета, предусмотренных паспортом федерального проекта на соответствующий финансовый год, - между бюджетами субъектов Российской Федерации, уровень бюджетной обеспеченности которых меньше значения 0,75, на основании коэффициента результативности использования субсидии, определяемого по каждому проекту по развитию территорий, включенному в заявку, по формуле, приведенной в
подпункте "в" настоящего пункта;
б) бюджетные ассигнования в размере 70 процентов общего объема средств федерального бюджета, предусмотренных паспортом федерального проекта на соответствующий финансовый год, - между бюджетами субъектов Российской Федерации, уровень бюджетной обеспеченности которых больше значения 0,75, на основании коэффициента результативности использования субсидии, определяемого по каждому проекту по развитию территорий, включенному в заявку, по формуле, приведенной в
подпункте "в" настоящего пункта;
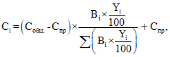
в) коэффициент результативности использования субсидии (K
i) по каждому проекту по развитию территорий, включенному в заявку, определяется по следующей формуле:
где:
Vi - плановый объем ввода жилья по i-му проекту по развитию территорий в 2021 - 2024 годах;
Si - планируемый субъектом Российской Федерации объем бюджетных расходов на финансирование предлагаемых к софинансированию за счет субсидии мероприятий по реализации i-го проекта по развитию территорий в 2021 - 2024 годах;
Y
i - предельный уровень софинансирования расходного обязательства субъекта Российской Федерации из федерального бюджета, утверждаемый Правительством Российской Федерации в соответствии с
пунктом 13(1.1) Правил предоставления субсидий.
18. Субсидии распределяются между заявленными субъектами Российской Федерации проектами по развитию территорий, которые соответствуют критериям, установленным
пунктом 5 настоящих Правил, в размере, равном произведению S
i и Y
i, в порядке убывания коэффициента результативности использования субсидии, начиная с проекта по развитию территорий, имеющего наибольший коэффициент результативности использования субсидии.
Субсидия, предоставляемая бюджету субъекта Российской Федерации, рассчитывается как сумма субсидий, распределенных проектам по развитию территорий, включенным в его заявку и соответствующим критериям, установленным
пунктом 5 настоящих Правил.
В случае если размер субсидии, рассчитанный в отношении проекта по развитию территорий, оказывается больше остатка планируемого объема бюджетных ассигнований федерального бюджета, образовавшегося после распределения субсидий между проектами, имеющими больший коэффициент результативности использования субсидии, на реализацию такого проекта предоставляется субсидия в размере остатка бюджетных ассигнований.
19. Распределение субсидии между бюджетами субъектов Российской Федерации рассматривается президиумом (штабом) Правительственной комиссии по региональному развитию в Российской Федерации, отражается в
приложении N 3 к паспорту федерального проекта и утверждается в порядке, установленном бюджетным законодательством Российской Федерации.
19(1). Допускается распределение субсидии между бюджетами субъектов Российской Федерации в объеме до 5 процентов общего объема субсидии, предусматриваемой на очередной финансовый год, в том числе в целях оказания государственной поддержки в целях реализации мероприятий на территориях приграничных муниципальных образований, включенных в перечень приграничных муниципальных образований, при модернизации социально-экономической сферы которых оказывается приоритетная государственная поддержка, который приведен в
приложении N 6 к Стратегии пространственного развития Российской Федерации на период до 2025 года, утвержденной распоряжением Правительства Российской Федерации от 13 февраля 2019 г. N 207-р, при котором положения
пунктов 5,
17 и
18 настоящих Правил не применяются. Такое распределение рассматривается президиумом (штабом) Правительственной комиссии по региональному развитию в Российской Федерации и утверждается в порядке, установленном бюджетным законодательством Российской Федерации.
(п. 19(1) в ред.
Постановления Правительства РФ от 20.01.2023 N 47)
20. Субсидии, предусмотренные бюджетам субъектов Российской Федерации на очередной финансовый год, подлежат перераспределению в следующих случаях:
а) при отсутствии на 1 июля текущего финансового года документов и сведений, предусмотренных
пунктом 13 настоящих Правил, по объектам капитального строительства, предусмотренным
подпунктами "г" -
"е" пункта 6 настоящих Правил;
б) при нарушении субъектом Российской Федерации обязательств, предусмотренных соглашением в соответствии с
подпунктом "б(1)" пункта 10 Правил предоставления субсидий, в отчетном финансовом году;
в) при отсутствии на 1 июля текущего финансового года документов, предусмотренных
подпунктом "в" пункта 5 настоящих Правил.
21. Размер субсидии, предусмотренный бюджету i-го субъекта Российской Федерации на очередной финансовый год, который подлежит перераспределению (M
i), определяется по следующей формуле:
Mi = SUM Di + Ni + SUM Li,
где:
D
i - размер субсидии, предусмотренный в очередном финансовом году на софинансирование строительства (реконструкции) i-го объекта капитального строительства, который подлежит перераспределению в случае, предусмотренном
подпунктом "а" пункта 20 настоящих Правил;
N
i - размер субсидии, предусмотренный в очередном финансовом году бюджету i-го субъекта Российской Федерации, который подлежит перераспределению в случае, предусмотренном
подпунктом "б" пункта 20 настоящих Правил;
L
i - размер субсидии, предусмотренный в очередном финансовом году i-му проекту по развитию территорий, который подлежит перераспределению в случае, предусмотренном
подпунктом "в" пункта 20 настоящих Правил.
В случае если размер субсидии, подлежащий перераспределению, превышает размер субсидии, предусмотренный бюджету субъекта Российской Федерации в очередном финансовом году, перераспределение субсидии осуществляется в размере, предусмотренном бюджету такого субъекта Российской Федерации на очередной финансовый год.
22. Размер субсидии, предусмотренный на очередной финансовый год бюджету i-го субъекта Российской Федерации, который подлежит перераспределению в случае, предусмотренном
подпунктом "б" пункта 20 настоящих Правил (N
i), рассчитывается по следующей формуле:
Ni = Ci x (1 - Vфакт / Vплан),
где:
Ci - размер субсидии, предусмотренный бюджету i-го субъекта Российской Федерации на реализацию федерального проекта в очередном финансовом году;
Vфакт - объем ввода жилья, достигнутый i-м субъектом Российской Федерации в рамках реализации проектов по развитию территорий, предусмотренных соглашением, в очередном финансовом году;
Vплан - объем ввода жилья, установленный i-му субъекту Российской Федерации на очередной финансовый год паспортом федерального проекта в рамках мероприятий по стимулированию программ развития жилищного строительства субъектов Российской Федерации.
23. Размер субсидии, предусмотренный в очередном финансовом году на реализацию i-го проекта по развитию территорий, который подлежит перераспределению в случае, предусмотренном
подпунктом "в" пункта 20 настоящих Правил (L
i), рассчитывается по следующей формуле:
Li = Ui x (1 - Vпдв / Vплан),
где:
Ui - размер субсидии, предусмотренной на реализацию i-го проекта по развитию территорий в очередном финансовом году;
V
пдв - объем ввода жилья в рамках i-го проекта по развитию территорий, подтвержденный документами, указанными в
подпункте "в" пункта 5 настоящих Правил, в текущем финансовом году;
Vплан - объем ввода жилья в рамках i-го проекта по развитию территорий, заявленный субъектом Российской Федерации в очередном финансовом году.
24. Размер субсидии, определяемый в соответствии с
пунктами 21 -
23 настоящих Правил, а также дополнительно выделяемые бюджетные ассигнования на реализацию федерального проекта и невостребованные остатки субсидии, образовавшиеся по результатам реализации федерального проекта, экономия, полученная по результатам заключения государственных (муниципальных) контрактов на закупку товаров, работ и услуг, источником обеспечения которых является субсидия, перераспределяются между бюджетами субъектов Российской Федерации на основании решения президиума (штаба) Правительственной комиссии по региональному развитию в Российской Федерации и утверждаются в порядке, предусмотренном бюджетным законодательством Российской Федерации.
25. Допускается установление различных уровней софинансирования расходного обязательства субъекта Российской Федерации за счет субсидии по отдельным мероприятиям (объектам).
26. В случае если размер средств, предусмотренных в бюджете субъекта Российской Федерации на финансирование мероприятий, на софинансирование которых предоставляется субсидия, не обеспечивает уровень софинансирования из федерального бюджета, определенный в соответствии с
пунктом 13(1.1) Правил предоставления субсидий, размер субсидии подлежит сокращению до размера, обеспечивающего соответствующий уровень софинансирования.
27. Эффективность использования субсидии оценивается Министерством строительства и жилищно-коммунального хозяйства Российской Федерации путем сравнения фактически достигнутых и плановых значений следующего результата использования субсидии, предусмотренных соглашением, - объем ввода жилья в рамках мероприятия по стимулированию программ развития жилищного строительства субъектов Российской Федерации федерального проекта.
28. Основания и порядок применения мер финансовой ответственности к субъекту Российской Федерации при невыполнении им условий соглашения (включая обязательства субъекта Российской Федерации), в том числе порядок и условия возврата средств из бюджета субъекта Российской Федерации в федеральный бюджет, установлены
пунктами 16 -
19 Правил предоставления субсидий. Основания и порядок освобождения субъекта Российской Федерации от применения указанных мер финансовой ответственности установлены
пунктом 20 Правил предоставления субсидий.
(п. 28 в ред.
Постановления Правительства РФ от 05.08.2024 N 1053)
29. Перечисление субсидий осуществляется в установленном порядке на единые счета бюджетов, открытые финансовым органам субъектов Российской Федерации в территориальных органах Федерального казначейства.
30. Уполномоченные высшим исполнительным органом субъекта Российской Федерации исполнительные органы субъекта Российской Федерации представляют в порядке и сроки, установленные соглашением, в государственной интегрированной информационной системе управления общественными финансами "Электронный бюджет" отчетность об осуществлении расходов, в целях софинансирования которых предоставляется субсидия, а также о достижении значений результатов использования субсидии.
(п. 30 в ред.
Постановления Правительства РФ от 05.08.2024 N 1053)
31. В случае нарушения целей, установленных при предоставлении субсидии, применяются бюджетные меры принуждения, предусмотренные бюджетным законодательством Российской Федерации.
(п. 31 в ред.
Постановления Правительства РФ от 05.08.2024 N 1053)
32. Контроль за соблюдением субъектами Российской Федерации условий предоставления субсидий осуществляется Министерством строительства и жилищно-коммунального хозяйства Российской Федерации и уполномоченными органами государственного финансового контроля.
к государственной программе
Российской Федерации "Обеспечение
доступным и комфортным жильем
и коммунальными услугами граждан
Российской Федерации"
ПРАВИЛА
ПРЕДОСТАВЛЕНИЯ СУБСИДИИ ИЗ ФЕДЕРАЛЬНОГО БЮДЖЕТА БЮДЖЕТУ
РОСТОВСКОЙ ОБЛАСТИ НА СОФИНАНСИРОВАНИЕ МЕРОПРИЯТИЙ
ПО ПРИВЕДЕНИЮ ОБЪЕКТОВ Г. ВОЛГОДОНСКА В СОСТОЯНИЕ,
ОБЕСПЕЧИВАЮЩЕЕ БЕЗОПАСНОЕ ПРОЖИВАНИЕ ЕГО ЖИТЕЛЕЙ
Утратили силу. -
Постановление Правительства РФ от 31.03.2020 N 399.
к государственной программе
Российской Федерации "Обеспечение
доступным и комфортным жильем
и коммунальными услугами граждан
Российской Федерации"
ПРЕДОСТАВЛЕНИЯ И РАСПРЕДЕЛЕНИЯ СУБСИДИЙ
ИЗ ФЕДЕРАЛЬНОГО БЮДЖЕТА БЮДЖЕТАМ СУБЪЕКТОВ РОССИЙСКОЙ
ФЕДЕРАЦИИ НА СОФИНАНСИРОВАНИЕ МЕРОПРИЯТИЙ ПО ПЕРЕСЕЛЕНИЮ
ГРАЖДАН ИЗ ЖИЛЫХ ПОМЕЩЕНИЙ, РАСПОЛОЖЕННЫХ В ЗОНЕ
БАЙКАЛО-АМУРСКОЙ МАГИСТРАЛИ, ПРИЗНАННЫХ НЕПРИГОДНЫМИ
ДЛЯ ПРОЖИВАНИЯ, И (ИЛИ) ИЗ ЖИЛЫХ ДОМОВ (ПОМЕЩЕНИЙ),
ПРИЗНАННЫХ АВАРИЙНЫМИ И НЕ ПОДЛЕЖАЩИМИ РЕКОНСТРУКЦИИ
| | Список изменяющих документов (в ред. Постановлений Правительства РФ от 05.06.2018 N 653, | |
1. Настоящие Правила устанавливают цели, порядок и условия предоставления и распределения субсидий из федерального бюджета бюджетам Республики Бурятия, Забайкальского края, Амурской и Иркутской областей в целях софинансирования расходных обязательств субъектов Российской Федерации, возникающих при реализации мероприятий, предусмотренных государственными программами субъектов Российской Федерации, по переселению граждан из жилых помещений, расположенных в зоне Байкало-Амурской магистрали, признанных непригодными для проживания, и (или) из жилых домов и многоквартирных домов, признанных аварийными и не подлежащими реконструкции (далее соответственно - мероприятия, ветхое и аварийное жилье), и (или) предоставлению субсидий местным бюджетам из бюджетов указанных субъектов Российской Федерации на указанные цели в рамках федерального проекта "Содействие субъектам Российской Федерации в реализации полномочий по оказанию государственной поддержки гражданам в обеспечении жильем и оплате жилищно-коммунальных услуг" государственной программы Российской Федерации "Обеспечение доступным и комфортным жильем и коммунальными услугами граждан Российской Федерации" (далее - субсидия).
(в ред. Постановлений Правительства РФ от 30.01.2019
N 62, от 06.02.2023
N 165)
2. Утратил силу. -
Постановление Правительства РФ от 06.02.2023 N 165.
3. Субсидии предоставляются:
а) на приобретение субъектами Российской Федерации и (или) муниципальными образованиями жилых помещений, в том числе на вторичном рынке жилья;
б) на строительство субъектами Российской Федерации и (или) муниципальными образованиями жилых помещений, в том числе завершение ранее начатого строительства;
в) на предоставление социальных выплат на приобретение или строительство жилых помещений (далее - социальная выплата) собственникам жилых помещений, признанных ветхим и аварийным жильем, или нанимателям таких жилых помещений по договорам социального найма, изъявившим желание переселиться.
(в ред. Постановлений Правительства РФ от 05.11.2020
N 1785, от 20.06.2022
N 1104)
4. В рамках реализации мероприятий размер субсидий, предоставляемых в целях софинансирования расходных обязательств субъекта Российской Федерации, указанных в
подпункте "б" пункта 3 настоящих Правил, рассчитывается исходя из сметной стоимости объекта капитального строительства, подтвержденной положительным заключением государственной экспертизы проектной документации и результатов инженерных изысканий, выполненных для подготовки указанной проектной документации.
Размер субсидии, предоставляемой в целях софинансирования расходных обязательств субъекта Российской Федерации, указанных в
подпункте "в" пункта 3 настоящих Правил, рассчитывается исходя из средней рыночной стоимости 1 кв. метра жилья в соответствующем субъекте Российской Федерации, устанавливаемой Министерством строительства и жилищно-коммунального хозяйства Российской Федерации на соответствующий период, и норматива общей площади жилого помещения, установленного настоящим пунктом.
Норматив общей площади жилого помещения устанавливается в следующем размере:
33 кв. метра - для одиноко проживающего гражданина;
42 кв. метра - на семью из 2 человек;
по 18 кв. метров - на каждого члена семьи, состоящей из 3 и более человек.
(п. 4 в ред.
Постановления Правительства РФ от 05.11.2020 N 1785)
5. Жилые помещения, расходные обязательства субъекта Российской Федерации по приобретению (строительству) которых софинансируются из федерального бюджета, а также социальные выплаты предоставляются нанимателям или собственникам жилых помещений, признанных ветхим и аварийным жильем до дня вступления в силу
постановления Правительства Российской Федерации от 20 июня 2022 г. N 1104 "О внесении изменений в приложение N 8 к государственной программе Российской Федерации "Обеспечение доступным и комфортным жильем и коммунальными услугами граждан Российской Федерации", и членам их семей, в первую очередь лицам, которым в связи со строительством Байкало-Амурской магистрали было предоставлено временное жилье организациями, перечень которых устанавливается нормативным правовым актом субъекта Российской Федерации.
(в ред. Постановлений Правительства РФ от 05.06.2018
N 653, от 05.11.2020
N 1785, от 20.06.2022
N 1104, от 06.02.2023
N 165)
В настоящих Правилах членами семьи нанимателя или собственника жилого помещения признаются лица, указанные в
части 1 статьи 69 или
части 1 статьи 31 Жилищного кодекса Российской Федерации соответственно, являвшиеся членами семьи нанимателя или собственника жилого помещения на дату признания жилого помещения ветхим и аварийным жильем, а также супруг (супруга) нанимателя или собственника жилого помещения и несовершеннолетние дети, вселенные в качестве членов семьи в жилое помещение после признания его ветхим и аварийным жильем.
6. Предоставление жилых помещений лицам, указанным в
пункте 5 настоящих Правил, осуществляется в порядке, предусмотренном жилищным законодательством Российской Федерации.
Порядок и условия предоставления социальных выплат лицам, указанным в
пункте 5 настоящих Правил, в том числе являющимся нанимателями жилых помещений по договорам социального найма и изъявившим желание переселиться, устанавливаются нормативным правовым актом субъекта Российской Федерации.
Жилые помещения, приобретенные (построенные) субъектами Российской Федерации и (или) муниципальными образованиями в целях предоставления лицам, указанным в
пункте 5 настоящих Правил, а также жилые помещения, приобретенные лицами, указанными в
пункте 5 настоящих Правил, с использованием социальных выплат, должны соответствовать положениям
статей 15 и
16 Жилищного кодекса Российской Федерации, быть благоустроенными применительно к условиям населенного пункта, в котором приобретается (строится) жилое помещение, и находиться в границах субъекта Российской Федерации, которому предоставляется субсидия.
6(1). Порядок и условия предоставления социальных выплат, указанные в
пункте 6 настоящих Правил, должны предусматривать:
а) положения о подтверждении лицами, указанными в
пункте 5 настоящих Правил, факта предоставления им жилого помещения в связи со строительством Байкало-Амурской магистрали, которые предусматривают в том числе представление одного из следующих документов:
документ, подтверждающий право пользования жилым помещением;
судебное решение, подтверждающее предоставление жилого помещения лицам, указанным в
пункте 5 настоящих Правил, в связи со строительством Байкало-Амурской магистрали;
трудовая книжка или копия трудовой книжки на бумажном носителе, заверенная работодателем надлежащим образом, или в форме электронного документа, подписанного работодателем усиленной квалифицированной электронной подписью, с записью о работе, связанной со строительством Байкало-Амурской магистрали;
б) возможность использования социальной выплаты для приобретения жилого помещения у любых физических или юридических лиц, уплаты первоначального взноса по ипотечному жилищному кредиту, уплаты цены договора строительного подряда по строительству индивидуального жилого дома, уплаты цены договора участия в долевом строительстве, который предусматривает в качестве объекта долевого строительства жилое помещение, содержащего одно из условий привлечения денежных средств участников долевого строительства, установленных
пунктом 5 части 4 статьи 4 Федерального закона "Об участии в долевом строительстве многоквартирных домов и иных объектов недвижимости и о внесении изменений в некоторые законодательные акты Российской Федерации", уплаты цены договора уступки прав требований по указанному договору участия в долевом строительстве;
в) порядок отчуждения собственником или безвозмездной передачи нанимателем занимаемого ими и членами их семей жилого помещения, признанного ветхим и аварийным жильем, в собственность субъекта Российской Федерации или муниципального образования, на территории которого расположено такое жилое помещение.
7. Субсидии предоставляются в пределах лимитов бюджетных обязательств, доведенных до Министерства строительства и жилищно-коммунального хозяйства Российской Федерации как получателя бюджетных средств, на цели, указанные в
пункте 1 настоящих Правил.
8. Субсидия предоставляется при соблюдении следующих условий:
а) наличие нормативного правового акта субъекта Российской Федерации, утверждающего перечень мероприятий (результатов), при реализации которых возникают расходные обязательства субъекта Российской Федерации, в целях софинансирования которых предоставляется субсидия;
б) наличие в бюджете субъекта Российской Федерации бюджетных ассигнований на исполнение расходного обязательства субъекта Российской Федерации по финансовому обеспечению мероприятий, указанных в
пункте 2 настоящих Правил, софинансирование которого осуществляется из федерального бюджета, в объеме, необходимом для его исполнения;
(в ред. Постановлений Правительства РФ от 30.01.2019
N 62, от 06.02.2023
N 165)
в) заключение соглашения о предоставлении субсидии в соответствии с
пунктом 10 Правил формирования, предоставления и распределения субсидий из федерального бюджета бюджетам субъектов Российской Федерации, утвержденных постановлением Правительства Российской Федерации от 30 сентября 2014 г. N 999 "О формировании, предоставлении и распределении субсидий из федерального бюджета бюджетам субъектов Российской Федерации" (далее - Правила формирования, предоставления и распределения субсидий из федерального бюджета бюджетам субъектов Российской Федерации).
8(1). Критерием отбора субъекта Российской Федерации является наличие на его территории ветхого и аварийного жилья.
9. Адресное (пообъектное) распределение субсидий по объектам капитального строительства, в целях софинансирования строительства (реконструкции) которых предоставляется субсидия, определяется в соответствии с
пунктом 5 Правил формирования, предоставления и распределения субсидий из федерального бюджета бюджетам субъектов Российской Федерации (далее - адресное (пообъектное) распределение). Для включения объектов в адресное (пообъектное) распределение или внесения в адресное (пообъектное) распределение изменений высший исполнительный орган субъекта Российской Федерации направляет в Министерство строительства и жилищно-коммунального хозяйства Российской Федерации в отношении каждого такого объекта следующие документы и сведения:
(в ред. Постановлений Правительства РФ от 06.02.2023
N 165, от 05.08.2024
N 1053)
а) наименование объекта капитального строительства;
б) мощность объекта капитального строительства, подлежащего вводу в эксплуатацию;
в) срок ввода в эксплуатацию;
г) размер потребности в средствах федерального бюджета на финансовое обеспечение строительства жилого помещения - объекта капитального строительства;
д) копия положительного заключения государственной экспертизы проектной документации и результатов инженерных изысканий, выполненных для подготовки указанной проектной документации в (в случае если проведение такой экспертизы в соответствии с законодательством Российской Федерации является обязательным). В проектной документации по объектам капитального строительства, реализуемым на территории Дальневосточного федерального округа, необходимо предусматривать перечень мероприятий и затраты по привлечению студенческих строительных отрядов;
е) документы об утверждении проектной документации в соответствии с законодательством Российской Федерации (в случае, если в соответствии с законодательством Российской Федерации подготовка проектной документации является обязательной);
ж) копия положительного заключения о достоверности определения сметной стоимости объекта капитального строительства;
з) утратил силу. -
Постановление Правительства РФ от 06.02.2023 N 165;
и) копии документов, подтверждающих направление средств бюджета субъекта Российской Федерации и (или) местного бюджета, заемных и других средств на финансовое обеспечение строительства жилого помещения - объекта капитального строительства;
к) сведения, необходимые для проведения проверки инвестиционного проекта на предмет эффективности использования средств федерального бюджета, направляемых на капитальные вложения, предусмотренные
Правилами проведения проверки инвестиционных проектов на предмет эффективности использования средств федерального бюджета, направляемых на капитальные вложения, утвержденными постановлением Правительства Российской Федерации от 15 марта 2023 г. N 399 "О случаях и порядке проведения проверки инвестиционных проектов на предмет эффективности использования средств федерального бюджета, направляемых на капитальные вложения, о внесении изменений в некоторые акты Правительства Российской Федерации, приостановлении действия постановления Правительства Российской Федерации от 12 августа 2008 г. N 590 и отдельных положений некоторых актов Правительства Российской Федерации, а также признании утратившими силу некоторых актов и отдельных положений некоторых актов Правительства Российской Федерации", - в случаях, определенных указанным постановлением.
(пп. "к" в ред.
Постановления Правительства РФ от 05.08.2024 N 1053)
10. Утратил силу. -
Постановление Правительства РФ от 14.08.2018 N 940.
10(1) - 10(2). Утратили силу. -
Постановление Правительства РФ от 06.02.2023 N 165.
11. Размер субсидии, предоставляемой бюджету субъекта Российской Федерации, определяется по формуле:
где:
Ci - размер субсидии, предоставляемой бюджету i-го субъекта Российской Федерации;
C - размер бюджетных ассигнований федерального бюджета на соответствующий финансовый год для предоставления субсидий;
Зi - планируемый i-м субъектом Российской Федерации общий объем бюджетных ассигнований на финансовое обеспечение мероприятий;
Y
i - предельный уровень софинансирования расходного обязательства субъекта Российской Федерации из федерального бюджета, утверждаемый Правительством Российской Федерации в соответствии с
пунктом 13 Правил формирования, предоставления и распределения субсидий из федерального бюджета бюджетам субъектов Российской Федерации;
n - число субъектов Российской Федерации, между которыми распределяются субсидии.
(п. 11 в ред.
Постановления Правительства РФ от 31.03.2020 N 399)
11(1). В ходе исполнения федерального бюджета в распределение субсидий между субъектами Российской Федерации на текущий финансовый год могут быть внесены изменения, при которых положения
пункта 11 настоящих Правил не применяются.
11(2). Не распределенный федеральным законом о федеральном бюджете на текущий финансовый год и плановый период между субъектами Российской Федерации объем субсидий в размере не более 5 процентов общего объема субсидий, утвержденного на первый год планового периода, и не более 10 процентов общего объема субсидий, утвержденного на второй год планового периода, допускается распределять при формировании федерального бюджета на очередной финансовый год и плановый период без учета положений, предусмотренных
пунктом 11 настоящих Правил.
11(3). Субсидии, предусмотренные субъектам Российской Федерации на очередной финансовый год, подлежат перераспределению в случае отсутствия на 1 июля текущего финансового года документов и сведений, предусмотренных
пунктом 9 настоящих Правил, по объектам капитального строительства, предусмотренным
подпунктом "б" пункта 3 настоящих Правил.
Предложения по перераспределению неиспользованных бюджетных ассигнований федерального бюджета на предоставление субсидии из федерального бюджета направляются Министерством строительства и жилищно-коммунального хозяйства Российской Федерации на рассмотрение президиума (штаба) Правительственной комиссии по региональному развитию в Российской Федерации и утверждаются в порядке, установленном бюджетным законодательством Российской Федерации.
12. Субсидия предоставляется на основании соглашения между Министерством строительства и жилищно-коммунального хозяйства Российской Федерации и высшим исполнительным органом субъекта Российской Федерации, заключаемого в государственной интегрированной информационной системе управления общественными финансами "Электронный бюджет" в соответствии с
типовой формой соглашения, утверждаемой Министерством финансов Российской Федерации (далее - соглашение).
(в ред. Постановлений Правительства РФ от 09.12.2022
N 2272, от 05.08.2024
N 1053)
12(1). В соглашении могут быть установлены различные уровни софинансирования расходного обязательства субъекта Российской Федерации из федерального бюджета по отдельным мероприятиям (объектам капитального строительства) в случае предоставления субсидий в целях софинансирования расходного обязательства субъекта Российской Федерации, предусматривающего реализацию более одного мероприятия (капитальные вложения в несколько объектов капитального строительства).
13 - 16. Утратили силу. -
Постановление Правительства РФ от 06.02.2023 N 165.
17. Оценка эффективности использования субсидии осуществляется Министерством строительства и жилищно-коммунального хозяйства Российской Федерации путем сравнения фактически достигнутых и плановых значений следующих результатов использования субсидии, предусмотренных соглашением:
(в ред. Постановлений Правительства РФ от 31.03.2020
N 399, от 06.02.2023
N 165)
количество семей граждан, обеспеченных жильем путем предоставления жилых помещений или социальных выплат;
уровень технической готовности объектов капитального строительства, капитальные вложения в которые софинансируются из федерального бюджета в соответствии с
подпунктом "б" пункта 3 настоящих Правил.
18. Уполномоченные высшим исполнительным органом субъекта Российской Федерации исполнительные органы субъекта Российской Федерации представляют в порядке и сроки, установленные соглашением, в государственной интегрированной информационной системе управления общественными финансами "Электронный бюджет" отчетность об осуществлении расходов, в целях софинансирования которых предоставляется субсидия, а также о достижении значений результатов использования субсидии.
(п. 18 в ред.
Постановления Правительства РФ от 05.08.2024 N 1053)
19. Объем бюджетных ассигнований, предусмотренных в бюджете субъекта Российской Федерации на исполнение расходных обязательств, в целях софинансирования которых предоставляется субсидия, может быть увеличен субъектом Российской Федерации, что не влечет обязательств по увеличению размера предоставляемой субсидии.
(п. 19 в ред.
Постановления Правительства РФ от 06.02.2023 N 165)
20. Перечисление субсидий осуществляется в установленном порядке на единые счета бюджетов, открытые финансовым органам субъектов Российской Федерации в территориальных органах Федерального казначейства.
(п. 20 в ред.
Постановления Правительства РФ от 06.02.2023 N 165)
21. В целях предоставления социальных выплат лицам, указанным в
пункте 5 настоящих Правил, поступившие в бюджет субъекта Российской Федерации (местный бюджет) средства в размере, необходимом для предоставления социальной выплаты, перечисляются на казначейский счет для осуществления и отражения операций с денежными средствами, поступающими во временное распоряжение, открытый финансовому органу субъекта Российской Федерации (муниципального образования), с отражением указанных операций на лицевых счетах, открытых органам государственной власти субъекта Российской Федерации (органам местного самоуправления) в территориальном органе Федерального казначейства или финансовом органе субъекта Российской Федерации (финансовом органе муниципального образования) для учета операций со средствами, поступающими в соответствии с законодательством Российской Федерации во временное распоряжение получателей средств бюджетов субъектов Российской Федерации (местных бюджетов).
Перечисление средств с лицевых счетов, предназначенных для учета операций со средствами, поступающими во временное распоряжение получателей средств бюджета субъекта Российской Федерации (местного бюджета), осуществляется на основании представленных в территориальный орган Федерального казначейства или финансовый орган субъекта Российской Федерации (финансовый орган муниципального образования) органами государственной власти субъекта Российской Федерации (органами местного самоуправления) утвержденных указанными органами списков получателей социальных выплат с указанием размера социальной выплаты для каждого получателя.
22. Утратил силу. -
Постановление Правительства РФ от 05.11.2020 N 1785.
23. Основания и порядок применения мер финансовой ответственности к субъекту Российской Федерации при невыполнении им условий соглашения (включая обязательства субъекта Российской Федерации), в том числе порядок и условия возврата средств из бюджета субъекта Российской Федерации в федеральный бюджет, установлены
пунктами 16 -
19 Правил формирования, предоставления и распределения субсидий из федерального бюджета бюджетам субъектов Российской Федерации. Основания и порядок освобождения субъекта Российской Федерации от применения указанных мер финансовой ответственности установлены
пунктом 20 Правил формирования, предоставления и распределения субсидий из федерального бюджета бюджетам субъектов Российской Федерации.
(п. 23 в ред.
Постановления Правительства РФ от 05.08.2024 N 1053)
24. В случае нарушения целей, установленных при предоставлении субсидии, применяются бюджетные меры принуждения, предусмотренные бюджетным законодательством Российской Федерации.
(п. 24 в ред.
Постановления Правительства РФ от 05.08.2024 N 1053)
25. Контроль за соблюдением субъектами Российской Федерации условий предоставления субсидий осуществляется Министерством строительства и жилищно-коммунального хозяйства Российской Федерации и уполномоченными органами государственного финансового контроля.
(п. 25 в ред.
Постановления Правительства РФ от 06.02.2023 N 165)
к государственной программе
Российской Федерации "Обеспечение
доступным и комфортным жильем
и коммунальными услугами граждан
Российской Федерации"
ПРЕДОСТАВЛЕНИЯ И РАСПРЕДЕЛЕНИЯ СУБСИДИЙ ИЗ ФЕДЕРАЛЬНОГО
БЮДЖЕТА БЮДЖЕТАМ СУБЪЕКТОВ РОССИЙСКОЙ ФЕДЕРАЦИИ
НА СОФИНАНСИРОВАНИЕ РАСХОДНЫХ ОБЯЗАТЕЛЬСТВ СУБЪЕКТОВ
РОССИЙСКОЙ ФЕДЕРАЦИИ ПО СЕЙСМОУСИЛЕНИЮ ОБЪЕКТОВ
| | Список изменяющих документов (в ред. Постановлений Правительства РФ от 30.01.2019 N 62, | |
1. Настоящие Правила устанавливают цели, условия и порядок предоставления и распределения субсидий из федерального бюджета бюджетам субъектов Российской Федерации в целях софинансирования расходных обязательств субъектов Российской Федерации, возникающих при реализации мероприятий по сейсмоусилению (реконструкции) существующих объектов, находящихся в государственной собственности субъектов Российской Федерации и (или) муниципальной собственности, предусмотренных в государственных программах субъектов Российской Федерации и (или) подпрограммах государственных программ субъектов Российской Федерации (далее - существующие объекты), и (или) строительству новых сейсмостойких объектов взамен существующих объектов, сейсмоусиление (реконструкция) которых экономически нецелесообразна, и (или) предоставлению субсидий местным бюджетам из бюджетов субъектов Российской Федерации на указанные цели в рамках мероприятия "Повышение устойчивости жилых домов, основных объектов и систем жизнеобеспечения в сейсмических районах Российской Федерации" федерального проекта "Содействие развитию инфраструктуры субъектов Российской Федерации (муниципальных образований)" государственной программы Российской Федерации "Обеспечение доступным и комфортным жильем и коммунальными услугами граждан Российской Федерации" (далее соответственно - мероприятия по сейсмоусилению (строительству) объектов, субсидия, федеральный проект).
Предоставление субсидии на строительство новых сейсмостойких объектов взамен существующих объектов, сейсмоусиление (реконструкция) которых экономически нецелесообразно (нецелесообразна), осуществляется при наличии решения президиума (штаба) Правительственной комиссии по региональному развитию в Российской Федерации об одобрении предложения Министерства строительства и жилищно-коммунального хозяйства Российской Федерации о предоставлении субсидии на указанные цели, сформированного по результатам рассмотрения заявлений высших исполнительных органов субъектов Российской Федерации.
(п. 1 в ред.
Постановления Правительства РФ от 07.11.2022 N 2002)
2. Субсидии предоставляются в пределах лимитов бюджетных обязательств, доведенных до Министерства строительства и жилищно-коммунального хозяйства Российской Федерации как получателя бюджетных средств, на предоставление субсидии на цели, указанные в
пункте 1 настоящих Правил.
3. Субсидии предоставляются бюджетам субъектов Российской Федерации, расположенных в сейсмических районах Российской Федерации, имеющих индекс сейсмического риска 0,1 и более.
Перечень указанных субъектов Российской Федерации приведен согласно приложению.
4. Условиями предоставления субсидии являются:
а) наличие нормативного правового акта субъекта Российской Федерации, утверждающего перечень мероприятий (результатов), при реализации которых возникают расходные обязательства субъекта Российской Федерации, в целях софинансирования которых предоставляется субсидия;
б) наличие в бюджете субъекта Российской Федерации бюджетных ассигнований на исполнение расходного обязательства субъекта Российской Федерации, софинансирование которого осуществляется из федерального бюджета, в объеме, необходимом для его исполнения;
(в ред. Постановлений Правительства РФ от 30.01.2019
N 62, от 06.02.2023
N 165)
в) заключение соглашения о предоставлении субсидии из федерального бюджета бюджету субъекта Российской Федерации, заключаемого между Министерством строительства и жилищно-коммунального хозяйства Российской Федерации и высшим исполнительным органом субъекта Российской Федерации в соответствии с
пунктом 10 Правил формирования, предоставления и распределения субсидий из федерального бюджета бюджетам субъектов Российской Федерации, утвержденных постановлением Правительства Российской Федерации от 30 сентября 2014 г. N 999 "О формировании, предоставлении и распределении субсидий из федерального бюджета бюджетам субъектов Российской Федерации" (далее соответственно - соглашение, Правила формирования, предоставления и распределения субсидий).
(в ред. Постановлений Правительства РФ от 31.03.2020
N 399, от 06.02.2023
N 165)
5. Адресное (пообъектное) распределение субсидий по объектам капитального строительства, в целях софинансирования мероприятий по сейсмоусилению (строительству) которых предоставляется субсидия, определяется в соответствии с
пунктом 5 Правил формирования, предоставления и распределения субсидий. Для включения объектов в указанное адресное (пообъектное) распределение или внесения в него изменений высший исполнительный орган субъекта Российской Федерации направляет в Министерство строительства и жилищно-коммунального хозяйства Российской Федерации заявку о предоставлении субсидии и документы, установленные
пунктом 14 настоящих Правил.
(в ред. Постановлений Правительства РФ от 07.11.2022
N 2002, от 05.08.2024
N 1053)
6. Критериями отбора субъектов Российской Федерации для предоставления субсидии являются:
а) - б) утратили силу. -
Постановление Правительства РФ от 07.11.2022 N 2002;
в) наличие актов обследования технического состояния объектов капитального строительства, выданных юридическими лицами, являющимися членами саморегулируемых организаций, основанных на членстве лиц, выполняющих инженерные изыскания и имеющих право на осуществление работ по обследованию состояния грунтов оснований объектов капитального строительства, их строительных конструкций, необходимых для подготовки заключений уполномоченных органов субъектов Российской Федерации, содержащих выводы об экономической целесообразности или нецелесообразности проведения сейсмоусиления (реконструкции) объектов капитального строительства;
(в ред. Постановлений Правительства РФ от 07.11.2022
N 2002, от 13.02.2024
N 146)
в(1)) наличие заключения уполномоченного органа субъекта Российской Федерации, содержащего выводы об экономической целесообразности или нецелесообразности проведения сейсмоусиления (реконструкции) объекта капитального строительства;
(пп. "в(1)" введен
Постановлением Правительства РФ от 13.02.2024 N 146)
г) отсутствие объектов, сейсмоусиление (реконструкция) которых экономически нецелесообразна и взамен которых предусматривается строительство новых сейсмостойких объектов в рамках иных мероприятий государственных программ субъекта Российской Федерации.
(в ред. Постановлений Правительства РФ от 31.03.2020
N 399, от 07.11.2022
N 2002)
6(1). Формы акта обследования технического состояния объекта капитального строительства и заключения уполномоченного органа субъекта Российской Федерации, содержащего выводы об экономической целесообразности или нецелесообразности проведения сейсмоусиления (реконструкции) объекта капитального строительства, указанных в
пункте 6 настоящих Правил, утверждаются Министерством строительства и жилищно-коммунального хозяйства Российской Федерации.
7. Размер субсидии, предоставляемой i-му субъекту Российской Федерации в соответствующем финансовом году (C
i), определяется по формуле:
Ci = Cip + Cin,
где:
Cip - размер субсидии, предоставляемой i-му субъекту Российской Федерации в соответствующем финансовом году на завершение ранее начатых мероприятий по сейсмоусилению (строительству) объектов;
(в ред. Постановлений Правительства РФ от 30.01.2019
N 62, от 07.11.2022
N 2002)
Cin - размер субсидии, предоставляемой i-му субъекту Российской Федерации в соответствующем финансовом году на реализацию вновь начинаемых мероприятий по сейсмоусилению (строительству) объектов.
(в ред. Постановлений Правительства РФ от 30.01.2019
N 62, от 07.11.2022
N 2002)
8. Размер субсидии, предоставляемой i-му субъекту Российской Федерации в соответствующем финансовом году на завершение ранее начатых мероприятий по сейсмоусилению (строительству) объектов (C
ip), определяется по формуле:
(в ред. Постановлений Правительства РФ от 30.01.2019
N 62, от 07.11.2022
N 2002)

,
где:
M
p - общий размер субсидий, распределяемый Министерством строительства и жилищно-коммунального хозяйства Российской Федерации в соответствующем финансовом году на завершение ранее начатых мероприятий по сейсмоусилению (строительству) объектов, софинансирование которых осуществлялось в рамках государственной программы Российской Федерации "Обеспечение доступным и комфортным жильем и коммунальными услугами граждан Российской Федерации" либо федеральной целевой
программы "Повышение устойчивости жилых домов, основных объектов и систем жизнеобеспечения в сейсмических районах Российской Федерации на 2009 - 2018 годы", утвержденной постановлением Правительства Российской Федерации от 23 апреля 2009 г. N 365 "О федеральной целевой программе "Повышение устойчивости жилых домов, основных объектов и систем жизнеобеспечения в сейсмических районах Российской Федерации на 2009 - 2018 годы", в предшествующих годах;
(в ред. Постановлений Правительства РФ от 30.01.2019
N 62, от 07.11.2022
N 2002)
Z
ip - потребность в средствах федерального бюджета для софинансирования завершения ранее начатых мероприятий по сейсмоусилению (строительству) объектов, предлагаемых i-м субъектом Российской Федерации в соответствии с заявкой о предоставлении субсидии в соответствующем финансовом году, определенная в соответствии с
пунктом 8(1) настоящих Правил;
(в ред. Постановлений Правительства РФ от 31.03.2020
N 399, от 07.11.2022
N 2002)
Zp - суммарная потребность в средствах федерального бюджета для софинансирования завершения ранее начатых мероприятий по сейсмоусилению (строительству) объектов, предлагаемых субъектами Российской Федерации в соответствии с заявками о предоставлении субсидии в соответствующем финансовом году.
(в ред. Постановлений Правительства РФ от 31.03.2020
N 399, от 07.11.2022
N 2002)
8(1). Потребность в средствах федерального бюджета для софинансирования завершения ранее начатых мероприятий по сейсмоусилению (строительству) объектов, предлагаемых i-м субъектом Российской Федерации в соответствии с заявкой о предоставлении субсидии в соответствующем финансовом году (Z
ip), определяется по формуле:
Zip = Zi x Yi,
где:
Zi - потребность в средствах федерального бюджета и средствах бюджета субъекта Российской Федерации для финансового обеспечения завершения ранее начатых мероприятий по сейсмоусилению (строительству) объектов, предлагаемых i-м субъектом Российской Федерации в соответствии с заявкой о предоставлении субсидии;
Y
i - предельный уровень софинансирования расходного обязательства i-го субъекта Российской Федерации из федерального бюджета, утверждаемый Правительством Российской Федерации в соответствии с
пунктом 13 Правил формирования, предоставления и распределения субсидий.
9. Общий размер субсидий, распределяемый Министерством строительства и жилищно-коммунального хозяйства Российской Федерации в соответствующем финансовом году на реализацию вновь начинаемых мероприятий по сейсмоусилению (строительству) объектов (Mn), определяется по формуле:
(в ред. Постановлений Правительства РФ от 30.01.2019
N 62, от 07.11.2022
N 2002)
Mn = Mt - Mp,
где:
Mt - размер бюджетных ассигнований, предусмотренных Министерству строительства и жилищно-коммунального хозяйства Российской Федерации на предоставление субсидий в соответствии с федеральным законом о федеральном бюджете на очередной финансовый год и плановый период;
M
p - общий размер субсидий, распределяемый Министерством строительства и жилищно-коммунального хозяйства Российской Федерации в соответствующем финансовом году на завершение ранее начатых мероприятий по сейсмоусилению (строительству) объектов, софинансирование которых осуществлялось в рамках государственной программы Российской Федерации "Обеспечение доступным и комфортным жильем и коммунальными услугами граждан Российской Федерации" либо федеральной целевой
программы "Повышение устойчивости жилых домов, основных объектов и систем жизнеобеспечения в сейсмических районах Российской Федерации на 2009 - 2018 годы", утвержденной постановлением Правительства Российской Федерации от 23 апреля 2009 г. N 365 "О федеральной целевой программе "Повышение устойчивости жилых домов, основных объектов и систем жизнеобеспечения в сейсмических районах Российской Федерации на 2009 - 2018 годы", в предшествующих годах.
(в ред. Постановлений Правительства РФ от 30.01.2019
N 62, от 07.11.2022
N 2002)
10. В случае если по заявкам субъектов Российской Федерации о завершении ранее начатых мероприятий по сейсмоусилению (строительству) объектов необходимо средств больше (или эти средства равны), чем предусмотрено Министерству строительства и жилищно-коммунального хозяйства Российской Федерации в соответствии с федеральным законом о федеральном бюджете на соответствующий финансовый год на реализацию федерального проекта, субсидии в целях софинансирования расходных обязательств субъектов Российской Федерации, возникающих при реализации планируемых или вновь начинаемых мероприятий по сейсмоусилению (строительству) объектов, не предоставляются.
(в ред. Постановлений Правительства РФ от 30.01.2019
N 62, от 07.11.2022
N 2002)
В случае если размер субсидии, определенный в соответствии с
пунктом 8 настоящих Правил в отношении i-го субъекта Российской Федерации в соответствующем финансовом году на завершение ранее начатых мероприятий по сейсмоусилению (строительству) объектов, меньше размера субсидии, заявленного этим субъектом Российской Федерации, не обеспеченная средствами из федерального бюджета в соответствующем финансовом году потребность в средствах i-го субъекта Российской Федерации суммируется с потребностью в средствах на завершение ранее начатых мероприятий по сейсмоусилению (строительству) объектов, заявленной на год, следующий за соответствующим.
11. Размер субсидии, предоставляемой i-му субъекту Российской Федерации в соответствующем финансовом году на реализацию вновь начинаемых мероприятий по сейсмоусилению (строительству) объектов (C
in), определяется по формуле:

,
где:
Mn - общий размер субсидий, распределяемый Министерством строительства и жилищно-коммунального хозяйства Российской Федерации в соответствующем финансовом году на реализацию вновь начинаемых мероприятий по сейсмоусилению (строительству) объектов;
Z
in - потребность в средствах федерального бюджета для софинансирования вновь начинаемых мероприятий по сейсмоусилению (строительству) объектов, предлагаемых i-м субъектом Российской Федерации в соответствии с заявкой о предоставлении субсидии в соответствующем финансовом году, определенная в соответствии с
пунктом 11(1) настоящих Правил;
K
i - расчетный коэффициент, учитывающий сейсмический риск, индекс которого в отношении i-го субъекта Российской Федерации установлен в
приложении к настоящим Правилам;
Vi - повышающий коэффициент i-го субъекта Российской Федерации. Для субъектов Российской Федерации, входящих в состав Дальневосточного федерального округа, значение коэффициента равно 2, для других субъектов Российской Федерации - 1;
Qi - отношение среднегодовой численности населения i-го субъекта Российской Федерации к общей среднегодовой численности населения в субъектах Российской Федерации, участвующих в распределении субсидий, по данным Федеральной службы государственной статистики, на дату представления заявки о предоставлении субсидии i-м субъектом Российской Федерации в Министерство строительства и жилищно-коммунального хозяйства Российской Федерации.
(п. 11 в ред.
Постановления Правительства РФ от 07.11.2022 N 2002)
11(1). Потребность в средствах федерального бюджета для софинансирования вновь начинаемых мероприятий по сейсмоусилению (строительству) объектов, предлагаемых i-м субъектом Российской Федерации в соответствии с заявкой о предоставлении субсидии в соответствующем финансовом году (Z
in), определяется по формуле:
Zin = Gi x Yi,
где:
Gi - потребность в средствах федерального бюджета и средствах бюджета субъекта Российской Федерации для финансового обеспечения вновь начинаемых мероприятий по сейсмоусилению (строительству) объектов, предлагаемых i-м субъектом Российской Федерации в соответствии с заявкой о предоставлении субсидии в соответствующем финансовом году;
Y
i - предельный уровень софинансирования расходного обязательства i-го субъекта Российской Федерации из федерального бюджета, утверждаемый Правительством Российской Федерации в соответствии с
пунктом 13 Правил формирования, предоставления и распределения субсидий.
12. В случае если размер субсидии, определенный в соответствии с указанной в
пункте 11 настоящих Правил формулой в отношении i-го субъекта Российской Федерации в соответствующем финансовом году на реализацию вновь начинаемых мероприятий по сейсмоусилению (строительству) объектов, превышает размер субсидии, заявленный этим субъектом Российской Федерации, предоставление субсидии такому субъекту Российской Федерации осуществляется в соответствии с заявкой о предоставлении субсидии.
(в ред. Постановлений Правительства РФ от 30.01.2019
N 62, от 07.11.2022
N 2002)
В случае если размер субсидии, определенный в соответствии с
пунктом 11 настоящих Правил в отношении i-го субъекта Российской Федерации в соответствующем финансовом году на реализацию вновь начинаемых мероприятий по сейсмоусилению (строительству) объектов, меньше размера субсидии, заявленного этим субъектом Российской Федерации, не обеспеченная средствами субсидии в соответствующем финансовом году потребность в средствах i-го субъекта Российской Федерации суммируется с потребностью в средствах на завершение ранее начатых мероприятий по сейсмоусилению (строительству) объектов, заявленной на год, следующий за соответствующим.
13. Утратил силу. -
Постановление Правительства РФ от 07.11.2022 N 2002.
13(1). В соглашении могут быть установлены различные уровни софинансирования расходного обязательства субъекта Российской Федерации из федерального бюджета по отдельным мероприятиям (объектам капитального строительства) в случае предоставления субсидий в целях софинансирования расходного обязательства субъекта Российской Федерации, предусматривающего реализацию более одного мероприятия (капитальные вложения в несколько объектов капитального строительства).
14. Для предоставления субсидии субъект Российской Федерации представляет в Министерство строительства и жилищно-коммунального хозяйства Российской Федерации заявку о предоставлении субсидии.
Порядок представления заявки о предоставлении субсидии, ее
форма, а также
порядок проведения отбора субъектов в целях предоставления субсидии утверждаются Министерством строительства и жилищно-коммунального хозяйства Российской Федерации.
Заявка о предоставлении субсидии представляется с приложением документов, подтверждающих выполнение условий, предусмотренных
подпунктами "а" и
"б" пункта 4, документов, предусмотренных
пунктом 6 настоящих Правил, а также следующих документов и сведений:
паспорт инвестиционного проекта по форме, утвержденной Министерством строительства и жилищно-коммунального хозяйства Российской Федерации;
копия выписки из Единого государственного реестра недвижимости об объекте капитального строительства, планируемом к сейсмоусилению или реконструкции (в случае непредставления такого документа Министерство строительства и жилищно-коммунального хозяйства Российской Федерации запрашивает его самостоятельно в рамках межведомственного информационного взаимодействия);
копии положительного заключения государственной экспертизы проектной документации, содержащего оценку достоверности определения сметной стоимости строительства объекта капитального строительства в случаях, установленных
частью 2 статьи 8.3 Градостроительного кодекса Российской Федерации, и положительного заключения государственной экспертизы результатов инженерных изысканий, выполненных для подготовки такой проектной документации (в случае если проведение такой экспертизы в соответствии с законодательством Российской Федерации является обязательным). В проектной документации по объектам капитального строительства, реализуемым на территориях Дальневосточного федерального округа и Арктической зоны Российской Федерации, необходимо предусматривать перечень мероприятий и затраты по привлечению студенческих строительных отрядов;
копия документа об утверждении проектной документации в соответствии с законодательством Российской Федерации;
сведения, необходимые для проведения проверки инвестиционного проекта на предмет эффективности использования средств федерального бюджета, направляемых на капитальные вложения, предусмотренные
Правилами проведения проверки инвестиционных проектов на предмет эффективности использования средств федерального бюджета, направляемых на капитальные вложения, утвержденными постановлением Правительства Российской Федерации от 15 марта 2023 г. N 399 "О случаях и порядке проведения проверки инвестиционных проектов на предмет эффективности использования средств федерального бюджета, направляемых на капитальные вложения, о внесении изменений в некоторые акты Правительства Российской Федерации, приостановлении действия постановления Правительства Российской Федерации от 12 августа 2008 г. N 590 и отдельных положений некоторых актов Правительства Российской Федерации, а также признании утратившими силу некоторых актов и отдельных положений некоторых актов Правительства Российской Федерации", - в случаях, определенных указанным постановлением;
копии правоустанавливающих документов на земельный участок в отношении каждого объекта капитального строительства, а в случае их отсутствия - копии решений о предварительном согласовании места размещения объекта капитального строительства;
копия выписки из Единого государственного реестра юридических лиц в отношении застройщика (в случае непредставления такого документа Министерство строительства и жилищно-коммунального хозяйства Российской Федерации запрашивает его самостоятельно в рамках межведомственного информационного взаимодействия);
копия градостроительного плана земельного участка, выданного не ранее чем за 3 года до года представления заявки.
(п. 14 в ред.
Постановления Правительства РФ от 07.11.2022 N 2002)
15. Утратил силу. -
Постановление Правительства РФ от 07.11.2022 N 2002.
16. Предоставление субсидии бюджету субъекта Российской Федерации осуществляется на основании соглашения, подготавливаемого (формируемого) и заключаемого в государственной интегрированной информационной системе управления общественными финансами "Электронный бюджет" в соответствии с
типовой формой соглашения, утвержденной Министерством финансов Российской Федерации.
(в ред. Постановлений Правительства РФ от 31.03.2020
N 399, от 07.11.2022
N 2002, от 06.02.2023
N 165)
17. Утратил силу. -
Постановление Правительства РФ от 07.11.2022 N 2002.
18. Оценка эффективности использования субсидии осуществляется Министерством строительства и жилищно-коммунального хозяйства Российской Федерации путем сравнения фактически достигнутых и плановых значений следующих результатов использования субсидии, предусмотренных соглашением:
(в ред. Постановлений Правительства РФ от 31.03.2020
N 399, от 06.02.2023
N 165)
количество завершенных строительством объектов, соответствующих требованиям сейсмоустойчивости;
уровень технической готовности объектов капитального строительства, капитальные вложения в которые софинансируются за счет субсидии.
18(1). Утратил силу. -
Постановление Правительства РФ от 07.11.2022 N 2002.
19. Основания и порядок применения мер финансовой ответственности к субъекту Российской Федерации при невыполнении им условий соглашения (включая обязательства субъекта Российской Федерации), в том числе порядок и условия возврата средств из бюджета субъекта Российской Федерации в федеральный бюджет, установлены
пунктами 16 -
19 Правил формирования, предоставления и распределения субсидий. Основания и порядок освобождения субъекта Российской Федерации от применения указанных мер финансовой ответственности установлены
пунктом 20 Правил формирования, предоставления и распределения субсидий.
(п. 19 в ред.
Постановления Правительства РФ от 05.08.2024 N 1053)
19(1). В ходе исполнения федерального бюджета в распределение субсидий между субъектами Российской Федерации на текущий финансовый год могут быть внесены изменения, при которых положения
пунктов 7 -
11(1) настоящих Правил не применяются.
19(2). Не распределенный федеральным законом о федеральном бюджете на текущий финансовый год и плановый период между субъектами Российской Федерации объем субсидий в размере не более 5 процентов общего объема субсидий, утвержденного на первый год планового периода, и не более 10 процентов общего объема субсидий, утвержденного на второй год планового периода, допускается распределять при формировании федерального бюджета на очередной финансовый год и плановый период без учета положений, предусмотренных
пунктами 7 -
11(1) настоящих Правил.
19(3). Субсидии, предусмотренные субъектам Российской Федерации на очередной финансовый год, подлежат перераспределению в случае отсутствия на 1 июля текущего финансового года документов и сведений, предусмотренных
пунктом 6 настоящих Правил.
19(4). Предложения по распределению бюджетных ассигнований федерального бюджета на предоставление субсидий в соответствии с
пунктами 19(1) -
19(3) настоящих Правил направляются Министерством строительства и жилищно-коммунального хозяйства Российской Федерации на рассмотрение президиума (штаба) Правительственной комиссии по региональному развитию в Российской Федерации и утверждаются в порядке, установленном бюджетным законодательством Российской Федерации.
20. Перечисление субсидий осуществляется в установленном порядке на единые счета бюджетов, открытые финансовым органам субъектов Российской Федерации в территориальных органах Федерального казначейства.
(п. 20 в ред.
Постановления Правительства РФ от 07.11.2022 N 2002)
21. Перечисление субсидий из бюджетов субъектов Российской Федерации в местные бюджеты осуществляется на основании соглашения, заключаемого высшим исполнительным органом субъекта Российской Федерации и органом местного самоуправления муниципального образования, на территории которого реализуется муниципальная программа, включающая мероприятия по сейсмоусилению (строительству) объектов.
22. Высший исполнительный орган субъекта Российской Федерации представляет в Министерство строительства и жилищно-коммунального хозяйства Российской Федерации в порядке и сроки, установленные соглашением, отчетность об осуществлении расходов бюджета субъекта Российской Федерации, в целях софинансирования которых предоставляется субсидия, а также о достижении значений результатов использования субсидии.
(в ред. Постановлений Правительства РФ от 30.01.2019
N 62, от 31.03.2020
N 399, от 07.11.2022
N 2002)
23. В случае нарушения целей, установленных при предоставлении субсидии, применяются бюджетные меры принуждения, предусмотренные бюджетным законодательством Российской Федерации.
(п. 23 в ред.
Постановления Правительства РФ от 05.08.2024 N 1053)
24. Ответственность за соблюдение настоящих Правил и достоверность представляемых в Министерство строительства и жилищно-коммунального хозяйства Российской Федерации сведений, содержащихся в документах, указанных в
пункте 14 настоящих Правил, и отчетности, указанной в
пункте 22 настоящих Правил, несет в соответствии с законодательством Российской Федерации высший исполнительный орган субъекта Российской Федерации.
(в ред. Постановлений Правительства РФ от 05.11.2020
N 1785, от 07.11.2022
N 2002)
25. Контроль за соблюдением субъектами Российской Федерации условий предоставления субсидий осуществляется Министерством строительства и жилищно-коммунального хозяйства Российской Федерации и уполномоченными органами государственного финансового контроля.
(п. 25 в ред.
Постановления Правительства РФ от 07.11.2022 N 2002)
к Правилам предоставления
и распределения субсидий
из федерального бюджета
бюджетам субъектов
Российской Федерации
на софинансирование расходных
обязательств субъектов
Российской Федерации
по сейсмоусилению объектов
СУБЪЕКТОВ РОССИЙСКОЙ ФЕДЕРАЦИИ, РАСПОЛОЖЕННЫХ
В СЕЙСМИЧЕСКИХ РАЙОНАХ РОССИЙСКОЙ ФЕДЕРАЦИИ
| Индекс сейсмического риска <*> | Расчетный коэффициент, учитывающий сейсмический риск |
1. | Краснодарский край | 9 | 1,5 |
2. | Камчатский край | 8 | 5 |
3. | Сахалинская область | 8 | 4 |
4. | Республика Дагестан | 7 | 1,5 |
5. | Республика Бурятия | 5 | 1,5 |
6. | Республика Северная Осетия - Алания | 3,5 | 1,2 |
7. | Иркутская область | 2,5 | 1,2 |
8. | Кабардино-Балкарская Республика | 2 | 1,2 |
9. | Республика Ингушетия | 1,8 | 1,2 |
10. | Карачаево-Черкесская Республика | 1,8 | 1,2 |
11. | Республика Тыва | 1,8 | 1,2 |
12. | Ставропольский край | 1,6 | 1 |
13. | Красноярский край | 1,5 | 1 |
14. | Кемеровская область | 1,45 | 1 |
15. | Алтайский край | 1,4 | 1 |
16. | Приморский край | 1,4 | 1 |
17. | Хабаровский край | 1,3 | 1 |
18. | Забайкальский край | 1,25 | 1 |
19. | Чеченская Республика | 1,15 | 1 |
20. | Республика Саха (Якутия) | 1 | 1 |
21. | Амурская область | 0,9 | 1 |
22. | Республика Адыгея | 0,8 | 1 |
23. | Республика Хакасия | 0,75 | 1 |
24. | Республика Алтай | 0,65 | 1 |
25. | Еврейская автономная область | 0,6 | 1 |
26. | Магаданская область | 0,59 | 1 |
27. | Чукотский автономный округ | 0,1 | 1 |
--------------------------------
<*> Определяет необходимый объем антисейсмических усилений.
к государственной программе
Российской Федерации "Обеспечение
доступным и комфортным жильем
и коммунальными услугами граждан
Российской Федерации"
ПРАВИЛА
ПРЕДОСТАВЛЕНИЯ И РАСПРЕДЕЛЕНИЯ СУБСИДИЙ В ЦЕЛЯХ
СОФИНАНСИРОВАНИЯ КАПИТАЛЬНЫХ ВЛОЖЕНИЙ В ОБЪЕКТЫ
ГОСУДАРСТВЕННОЙ (МУНИЦИПАЛЬНОЙ) СОБСТВЕННОСТИ СУБЪЕКТОВ
РОССИЙСКОЙ ФЕДЕРАЦИИ И (ИЛИ) СОФИНАНСИРОВАНИЯ МЕРОПРИЯТИЙ,
НЕ ОТНОСЯЩИХСЯ К КАПИТАЛЬНЫМ ВЛОЖЕНИЯМ В ОБЪЕКТЫ
ГОСУДАРСТВЕННОЙ (МУНИЦИПАЛЬНОЙ) СОБСТВЕННОСТИ
СУБЪЕКТОВ РОССИЙСКОЙ ФЕДЕРАЦИИ
| | Список изменяющих документов (в ред. Постановлений Правительства РФ от 14.08.2018 N 940, | |
1. Настоящие Правила устанавливают цели, условия и порядок предоставления субсидий из федерального бюджета, главным распорядителем в отношении которых определено Министерство строительства и жилищно-коммунального хозяйства Российской Федерации, бюджетам субъектов Российской Федерации в целях софинансирования расходных обязательств субъектов Российской Федерации по осуществлению капитальных вложений в объекты государственной (муниципальной) собственности субъектов Российской Федерации и (или) реализации мероприятий, не относящихся к капитальным вложениям в объекты государственной (муниципальной) собственности субъектов Российской Федерации, и (или) предоставлению субсидий местным бюджетам на указанные цели в рамках федерального проекта "Содействие развитию инфраструктуры субъектов Российской Федерации (муниципальных образований)" государственной программы Российской Федерации "Обеспечение доступным и комфортным жильем и коммунальными услугами граждан Российской Федерации (далее - субсидия).
1(1). Субсидии предоставляются на следующие цели:
а) строительство (реконструкция, в том числе с элементами реставрации, техническое перевооружение) объектов государственной собственности субъектов Российской Федерации (муниципальной собственности);
б) проведение инженерных изысканий и подготовка проектной документации на строительство (реконструкцию) объектов государственной собственности субъектов Российской Федерации (муниципальной собственности) и их строительство (реконструкция) (выполнение мероприятия "под ключ"). Расходные обязательства субъекта Российской Федерации по проведению государственной экспертизы проектной документации, включая проверку достоверности определения сметной стоимости строительства объектов капитального строительства в случаях, установленных
частью 2 статьи 8.3 Градостроительного кодекса Российской Федерации, и результатов инженерных изысканий из федерального бюджета не софинансируются;
(пп. "б" в ред.
Постановления Правительства РФ от 06.02.2023 N 165)
в) капитальный ремонт и (или) благоустройство территорий объектов государственной собственности субъектов Российской Федерации (муниципальной собственности).
2. Субсидии предоставляются в пределах лимитов бюджетных обязательств, доведенных до Министерства строительства и жилищно-коммунального хозяйства Российской Федерации как получателя средств федерального бюджета, на цели, указанные в
пункте 1 настоящих Правил.
3. Субсидия предоставляется на следующих условиях:
а) наличие нормативного правового акта субъекта Российской Федерации, утверждающего перечень мероприятий (результатов), при реализации которых возникают расходные обязательства субъекта Российской Федерации, в целях софинансирования которых предоставляется субсидия;
б) наличие в бюджете субъекта Российской Федерации бюджетных ассигнований на исполнение расходного обязательства субъекта Российской Федерации, софинансирование которого осуществляется из федерального бюджета, в объеме, необходимом для его исполнения;
(в ред. Постановлений Правительства РФ от 30.01.2019
N 62, от 06.02.2023
N 165)
в) заключение соглашения о предоставлении субсидии из федерального бюджета бюджету субъекта Российской Федерации, заключаемого между Министерством строительства и жилищно-коммунального хозяйства Российской Федерации и высшим исполнительным органом субъекта Российской Федерации в соответствии с
пунктом 10 Правил формирования, предоставления и распределения субсидий из федерального бюджета бюджетам субъектов Российской Федерации, утвержденных постановлением Правительства Российской Федерации от 30 сентября 2014 г. N 999 "О формировании, предоставлении и распределении субсидий из федерального бюджета бюджетам субъектов Российской Федерации" (далее соответственно - соглашение, Правила формирования, предоставления и распределения субсидий).
(в ред. Постановлений Правительства РФ от 31.03.2020
N 399, от 06.02.2023
N 165)
4. Предоставление субсидии в целях софинансирования расходных обязательств субъектов Российской Федерации по направлению, указанному в
подпункте "а" пункта 1(1) настоящих Правил, осуществляется при представлении в Министерство строительства и жилищно-коммунального хозяйства Российской Федерации субъектом Российской Федерации следующих документов и сведений:
(в ред. Постановлений Правительства РФ от 06.02.2023
N 165, от 05.08.2024
N 1053)
а) паспорт инвестиционного проекта по форме, установленной Министерством строительства и жилищно-коммунального хозяйства Российской Федерации;
(пп. "а" в ред.
Постановления Правительства РФ от 06.02.2023 N 165)
б) сведения, необходимые для проведения проверки инвестиционных проектов на предмет эффективности использования средств федерального бюджета, направляемых на капитальные вложения, предусмотренные
Правилами проведения проверки инвестиционных проектов на предмет эффективности использования средств федерального бюджета, направляемых на капитальные вложения, утвержденными постановлением Правительства Российской Федерации от 15 марта 2023 г. N 399 "О случаях и порядке проведения проверки инвестиционных проектов на предмет эффективности использования средств федерального бюджета, направляемых на капитальные вложения, о внесении изменений в некоторые акты Правительства Российской Федерации, приостановлении действия постановления Правительства Российской Федерации от 12 августа 2008 г. N 590 и отдельных положений некоторых актов Правительства Российской Федерации, а также признании утратившими силу некоторых актов и отдельных положений некоторых актов Правительства Российской Федерации", - в случаях, определенных указанным постановлением;
(пп. "б" в ред.
Постановления Правительства РФ от 05.08.2024 N 1053)
в) копия положительного заключения государственной экспертизы проектной документации, содержащего оценку достоверности определения сметной стоимости строительства объектов капитального строительства в случаях, установленных
частью 2 статьи 8.3 Градостроительного кодекса Российской Федерации, и положительного заключения государственной экспертизы результатов инженерных изысканий, выполненных для подготовки такой проектной документации (в случае если проведение такой экспертизы в соответствии с законодательством Российской Федерации является обязательным). В проектной документации по объектам капитального строительства, реализуемым на территориях Дальневосточного федерального округа и Арктической зоны Российской Федерации, необходимо предусматривать перечень мероприятий и затраты по привлечению студенческих строительных отрядов;
г) документы об утверждении проектной документации в соответствии с законодательством Российской Федерации;
д) копия утвержденного задания на проектирование (в случае если на разработку проектной документации предоставляются средства федерального бюджета. При этом документы, указанные в
подпунктах "в" и
"г" настоящего пункта, не представляются);
е) копии правоустанавливающих документов на земельный участок, а в случае их отсутствия - копия решения о предварительном согласовании места размещения объекта капитального строительства.
(п. 4 в ред.
Постановления Правительства РФ от 05.11.2020 N 1785)
4(1). Предоставление субсидии на цель, указанную в
подпункте "б" пункта 1(1) настоящих Правил, осуществляется при представлении в Министерство строительства и жилищно-коммунального хозяйства Российской Федерации субъектом Российской Федерации утвержденного задания на проектирование.
(п. 4(1) в ред.
Постановления Правительства РФ от 06.02.2023 N 165)
4(2). Утратил силу. -
Постановление Правительства РФ от 31.03.2020 N 399.
4(3). Предоставление субсидии в целях софинансирования расходных обязательств субъектов Российской Федерации по направлению, указанному в
подпункте "в" пункта 1(1) настоящих Правил, осуществляется при представлении в Министерство строительства и жилищно-коммунального хозяйства Российской Федерации субъектом Российской Федерации положительного заключения о достоверности определения сметной стоимости капитального ремонта объектов, указанных в
подпункте "в" пункта 1(1) настоящих Правил.
5. Критерием отбора субъектов Российской Федерации для предоставления субсидии является наличие акта и (или) поручения Президента Российской Федерации, акта Правительства Российской Федерации и (или) поручения Председателя (заместителей Председателя) Правительства Российской Федерации о строительстве (реконструкции, в том числе с элементами реставрации, техническом перевооружении) и (или) капитальном ремонте и (или) благоустройстве территорий объектов государственной собственности субъектов Российской Федерации (муниципальной собственности), либо решения учрежденного в соответствии с актом Правительства Российской Федерации организационного комитета по подготовке и проведению празднования на федеральном уровне памятной даты субъекта Российской Федерации о включении строительства (реконструкции, в том числе с элементами реставрации, техническом перевооружении) и (или) капитального ремонта и (или) благоустройства территорий объектов государственной собственности субъектов Российской Федерации (муниципальной собственности) в план мероприятий по подготовке и проведению празднования памятной даты субъекта Российской Федерации.
(в ред. Постановлений Правительства РФ от 30.01.2019
N 62, от 31.03.2020
N 399)
6. Абзац утратил силу. -
Постановление Правительства РФ от 06.02.2023 N 165.
В случае предоставления субсидий в целях софинансирования расходных обязательств субъектов Российской Федерации по реализации в соответствии с актами Президента Российской Федерации и (или) Правительства Российской Федерации индивидуально определенных мероприятий, имеющих общегосударственное значение, допускается установление уровня софинансирования расходного обязательства субъекта Российской Федерации с превышением предельного уровня софинансирования расходного обязательства субъекта Российской Федерации из федерального бюджета, утверждаемого Правительством Российской Федерации в соответствии с
пунктом 13 Правил формирования, предоставления и распределения субсидий, но в размере не более 99 процентов.
Абзац утратил силу. -
Постановление Правительства РФ от 06.02.2023 N 165.
Размер субсидий определяется актом Президента Российской Федерации или Правительства Российской Федерации, либо в соответствии с поручением или указанием Президента Российской Федерации или поручением Председателя Правительства Российской Федерации о строительстве (реконструкции, в том числе с элементами реставрации, техническом перевооружении) с учетом количественной оценки соответствующих затрат, либо иным решением Правительства Российской Федерации, решением Правительственной комиссии по бюджетным проектировкам на очередной финансовый год и плановый период.
В соглашении могут быть установлены различные уровни софинансирования расходного обязательства субъекта Российской Федерации из федерального бюджета по отдельным мероприятиям (объектам капитального строительства) в случае предоставления субсидий в целях софинансирования расходного обязательства субъекта Российской Федерации, предусматривающего реализацию более одного мероприятия (капитальные вложения в несколько объектов капитального строительства).
7. Адресное (пообъектное) распределение субсидий по объектам капитального строительства, в целях софинансирования строительства (реконструкции, в том числе с элементами реставрации, технического перевооружения) которых предоставляется субсидия, определяется в соответствии с
пунктом 5 Правил формирования, предоставления и распределения субсидий (далее - адресное (пообъектное) распределение).
В адресное (пообъектное) распределение субсидий по объектам капитального строительства могут быть внесены изменения. Предложения о внесении изменений представляются высшим исполнительным органом субъекта Российской Федерации в Министерство строительства и жилищно-коммунального хозяйства Российской Федерации.
8. Предоставление субсидии бюджету субъекта Российской Федерации осуществляется на основании соглашения, подготавливаемого (формируемого) и заключаемого в государственной интегрированной информационной системе управления общественными финансами "Электронный бюджет" в соответствии с
типовой формой соглашения, утвержденной Министерством финансов Российской Федерации.
(в ред. Постановлений Правительства РФ от 31.03.2020
N 399, от 09.12.2022
N 2272, от 06.02.2023
N 165)
9. Перечисление субсидий осуществляется в установленном порядке на единые счета бюджетов, открытые финансовым органом субъектов Российской Федерации в территориальных органах Федерального казначейства.
10. Утратил силу. -
Постановление Правительства РФ от 14.08.2018 N 940.
11. Утратил силу. -
Постановление Правительства РФ от 06.02.2023 N 165.
12. Оценка эффективности использования субсидии осуществляется Министерством строительства и жилищно-коммунального хозяйства Российской Федерации исходя из сравнения фактически достигнутых и плановых значений результата использования субсидий, которым является количество завершенных строительством объектов инфраструктуры (в том числе объектов капитального строительства, в отношении которых проводится капитальный ремонт и (или) благоустройство их территории).
(в ред. Постановлений Правительства РФ от 30.01.2019
N 62, от 31.03.2020
N 399, от 06.02.2023
N 165)
13. Высший исполнительный орган субъекта Российской Федерации представляет в Министерство строительства и жилищно-коммунального хозяйства Российской Федерации в порядке и сроки, которые установлены соглашением, отчетность об осуществлении расходов бюджета субъекта Российской Федерации, в целях софинансирования которых предоставляется субсидия, а также о достижении значений результата использования субсидии.
(в ред. Постановлений Правительства РФ от 30.01.2019
N 62, от 31.03.2020
N 399, от 09.12.2022
N 2272, от 06.02.2023
N 165)
14. Объем бюджетных ассигнований, предусмотренных в бюджете субъекта Российской Федерации на исполнение расходных обязательств, в целях софинансирования которых предоставляется субсидия, может быть увеличен субъектом Российской Федерации, что не влечет обязательств по увеличению размера предоставляемой субсидии.
(п. 14 в ред.
Постановления Правительства РФ от 06.02.2023 N 165)
15. Утратил силу. -
Постановление Правительства РФ от 06.02.2023 N 165.
15(1). В ходе исполнения федерального бюджета в распределение субсидий между субъектами Российской Федерации на текущий финансовый год могут быть внесены изменения, при которых положения
пункта 6 настоящих Правил не применяются.
15(2). Не распределенный федеральным законом о федеральном бюджете на текущий финансовый год и плановый период между субъектами Российской Федерации объем субсидий в размере не более 5 процентов общего объема субсидий, утвержденного на первый год планового периода, и не более 10 процентов общего объема субсидий, утвержденного на второй год планового периода, допускается распределять при формировании федерального бюджета на очередной финансовый год и плановый период без учета положений, предусмотренных
пунктом 6 настоящих Правил.
15(3). Субсидии, предусмотренные субъектам Российской Федерации на очередной финансовый год, подлежат перераспределению в случае отсутствия на 1 июля текущего финансового года документов и сведений, предусмотренных
подпунктами "а" и
"в" пункта 4 настоящих Правил, по объектам капитального строительства, предусмотренным
подпунктами "а" и
"в" пункта 1(1) настоящих Правил.
15(4). Предложения по перераспределению бюджетных ассигнований федерального бюджета на предоставление субсидии в соответствии с
пунктами 15(1) -
15(3) настоящих Правил направляются Министерством строительства и жилищно-коммунального хозяйства Российской Федерации на рассмотрение президиума (штаба) Правительственной комиссии по региональному развитию в Российской Федерации и утверждаются в порядке, установленном бюджетным законодательством Российской Федерации.
16. Основания и порядок применения мер финансовой ответственности к субъекту Российской Федерации при невыполнении им условий соглашения (включая обязательства субъекта Российской Федерации), в том числе порядок и условия возврата средств из бюджета субъекта Российской Федерации в федеральный бюджет, установлены
пунктами 16 -
19 Правил формирования, предоставления и распределения субсидий. Основания и порядок освобождения субъекта Российской Федерации от применения указанных мер финансовой ответственности установлены
пунктом 20 Правил формирования, предоставления и распределения субсидий.
(п. 16 в ред.
Постановления Правительства РФ от 05.08.2024 N 1053)
17. Высший исполнительный орган субъекта Российской Федерации в соответствии с законодательством Российской Федерации несет ответственность:
за соблюдение настоящих Правил и достоверность сведений, содержащихся в документах, указанных в
пунктах 4 и
4(1) настоящих Правил, представляемых в Министерство строительства и жилищно-коммунального хозяйства Российской Федерации;
за соблюдение условий предоставления субсидии и достоверность отчетности, представляемой в Министерство строительства и жилищно-коммунального хозяйства Российской Федерации в соответствии с
пунктом 13 настоящих Правил.
(п. 17 в ред.
Постановления Правительства РФ от 05.11.2020 N 1785)
18. В случае нарушения целей, установленных при предоставлении субсидии, применяются бюджетные меры принуждения, предусмотренные бюджетным законодательством Российской Федерации.
Абзац утратил силу. -
Постановление Правительства РФ от 31.03.2020 N 399.
19. Контроль за соблюдением субъектами Российской Федерации условий предоставления субсидий осуществляется Министерством строительства и жилищно-коммунального хозяйства Российской Федерации и уполномоченными органами государственного финансового контроля.
(п. 19 в ред.
Постановления Правительства РФ от 06.02.2023 N 165)
к государственной программе
Российской Федерации "Обеспечение
доступным и комфортным жильем
и коммунальными услугами граждан
Российской Федерации"
ПРАВИЛА
ПРЕДОСТАВЛЕНИЯ СУБСИДИИ НА РЕАЛИЗАЦИЮ МЕРОПРИЯТИЙ
ПО ПЕРЕСЕЛЕНИЮ ГРАЖДАН ИЗ ЖИЛИЩНОГО ФОНДА, ПРИЗНАННОГО
НЕПРИГОДНЫМ ДЛЯ ПРОЖИВАНИЯ ВСЛЕДСТВИЕ ТЕХНОГЕННОЙ АВАРИИ
НА РУДНИКЕ БКПРУ-1 ПУБЛИЧНОГО АКЦИОНЕРНОГО ОБЩЕСТВА
"УРАЛКАЛИЙ", В Г. БЕРЕЗНИКИ, ПЕРМСКИЙ КРАЙ
| | Список изменяющих документов | |
1. Настоящие Правила устанавливают цели, порядок и условия предоставления субсидии из федерального бюджета бюджету Пермского края на софинансирование расходных обязательств Пермского края, возникающих при реализации мероприятий по переселению граждан из жилищного фонда, признанного непригодным для проживания вследствие техногенной аварии на руднике БКПРУ-1 публичного акционерного общества "Уралкалий", в г. Березники, Пермский край (далее - жилищный фонд, признанный непригодным для проживания), в рамках основного мероприятия "Восстановление и (или) проведение капитального ремонта жилищного фонда (переселение граждан из жилищного фонда), поврежденного (признанного непригодным для проживания) вследствие чрезвычайных ситуаций природного и техногенного характера" государственной программы Российской Федерации "Обеспечение доступным и комфортным жильем и коммунальными услугами граждан Российской Федерации" (далее - субсидия).
В 2022 году субсидия, источником финансового обеспечения которой являются бюджетные ассигнования резервного фонда Правительства Российской Федерации, предоставляется на софинансирование расходных обязательств Пермского края в целях завершения в 2022 году мероприятий по переселению граждан из жилищного фонда, признанного непригодным для проживания, в рамках государственной
программы Российской Федерации "Обеспечение доступным и комфортным жильем и коммунальными услугами граждан Российской Федерации".
В настоящих Правилах под жилищным фондом, признанным непригодным для проживания, понимаются жилые помещения, признанные непригодными для проживания, и многоквартирные дома, признанные аварийными.
2. Субсидия предоставляется на софинансирование мероприятий, реализуемых в рамках государственной программы Пермского края (далее - региональная программа) и предусматривающих осуществление социальных выплат гражданам, переселяемым из жилищного фонда, признанного непригодным для проживания (далее - мероприятия). Указанные выплаты предоставляются в порядке, установленном высшим исполнительным органом Пермского края по согласованию с Министерством строительства и жилищно-коммунального хозяйства Российской Федерации, с учетом следующих положений:
а) расчет размера социальной выплаты осуществляется высшим исполнительным органом Пермского края исходя из размера норматива общей площади жилого помещения для расчета размера социальной выплаты, а также норматива средней рыночной стоимости 1 кв. метра общей площади жилого помещения по субъекту Российской Федерации, определяемого Министерством строительства и жилищно-коммунального хозяйства Российской Федерации;
б) норматив общей площади жилого помещения для расчета размера социальной выплаты устанавливается:
для нанимателей и собственников жилых помещений, занимающих жилые помещения общей площадью до 33 кв. метров (включительно), - в размере 33 кв. метров;
для нанимателей и собственников жилых помещений, занимающих жилые помещения общей площадью от 33,01 до 67 кв. метров (включительно), - в размере жилого помещения, равнозначного по общей площади занимаемому помещению, либо в размере жилого помещения, общая площадь которого превышает общую площадь занимаемого помещения не более чем на 5 кв. метров;
для нанимателей и собственников жилых помещений, занимающих жилые помещения общей площадью от 67,01 кв. метра и более, - в размере жилого помещения, равнозначного по общей площади занимаемому помещению, либо в размере жилого помещения, общая площадь которого превышает общую площадь занимаемого помещения, но составляет не более 72 кв. метров.
3. Субсидия предоставляется в пределах лимитов бюджетных обязательств, доведенных до Министерства строительства и жилищно-коммунального хозяйства Российской Федерации как получателя средств федерального бюджета на предоставление субсидии на цели, указанные в
пункте 1 настоящих Правил, на основании соглашения о предоставлении субсидии, заключаемого Министерством с высшим исполнительным органом Пермского края (далее - соглашение).
4. Предоставление субсидии осуществляется на основании соглашения, подготавливаемого (формируемого) и заключаемого с использованием государственной интегрированной информационной системы управления общественными финансами "Электронный бюджет" в соответствии с
типовой формой соглашения, утвержденной Министерством финансов Российской Федерации.
5. Содержание соглашения должно соответствовать требованиям, устанавливаемым
пунктом 10 Правил формирования, предоставления и распределения субсидий из федерального бюджета бюджетам субъектов Российской Федерации, утвержденных постановлением Правительства Российской Федерации от 30 сентября 2014 г. N 999 "О формировании, предоставлении и распределении субсидий из федерального бюджета бюджетам субъектов Российской Федерации" (далее - Правила формирования, предоставления и распределения субсидий).
Значения результатов использования субсидии указываются в соглашении с учетом средств внебюджетного источника - публичного акционерного общества "Уралкалий".
6. Субсидия предоставляется при соблюдении следующих условий:
а) наличие утвержденной высшим исполнительным органом Пермского края региональной программы, предусматривающей мероприятия;
б) наличие в бюджете Пермского края бюджетных ассигнований на исполнение расходного обязательства Пермского края по финансовому обеспечению мероприятий, софинансирование которого осуществляется из федерального бюджета, в объеме, необходимом для его исполнения;
в) заключение соглашения в соответствии с
пунктами 3 -
5 настоящих Правил.
7. Предоставление субсидии осуществляется при соблюдении обязательств, содержащихся в соглашении:
а) привлечение субъектом Российской Федерации публичного акционерного общества "Уралкалий" к софинансированию реализации мероприятий;
б) обязательство высшего исполнительного органа Пермского края обеспечить соответствие значения показателя, устанавливаемого региональной программой, значению результата использования субсидии, установленному
подпунктом "а" пункта 11 настоящих Правил;
(пп. "б" в ред.
Постановления Правительства РФ от 20.05.2022 N 919)
в) наличие утвержденных высшим исполнительным органом Пермского края списков граждан, подлежащих переселению из жилищного фонда, признанного непригодным для проживания, с указанием состава семьи и площади жилых помещений, входящих в состав жилищного фонда, признанного непригодным для проживания.
8. Утратил силу. -
Постановление Правительства РФ от 20.05.2022 N 919.
9. Уровень софинансирования расходного обязательства Пермского края за счет субсидии устанавливается в размере предельного уровня софинансирования расходного обязательства Пермского края из федерального бюджета, утвержденного Правительством Российской Федерации в соответствии с
пунктом 13 Правил формирования, предоставления и распределения субсидий.
10. В случае если размер средств, предусмотренных в бюджете Пермского края на финансирование мероприятий, не соответствует указанному в
пункте 9 настоящих Правил предельному уровню софинансирования расходного обязательства Пермского края из федерального бюджета, размер субсидии подлежит сокращению до соответствующего уровня софинансирования.
Увеличение размера средств бюджета Пермского края, выделяемых на реализацию мероприятий, не влечет увеличения размера предоставляемой субсидии.
11. Эффективность использования субсидии оценивается Министерством строительства и жилищно-коммунального хозяйства Российской Федерации на основании следующих результатов использования субсидии:
а) количество граждан, переселенных из жилищного фонда, признанного непригодным для проживания, в рамках реализации региональной программы, в том числе за счет средств публичного акционерного общества "Уралкалий" и бюджета Пермского края, составляет не менее 14742 граждан;
(пп. "а" в ред.
Постановления Правительства РФ от 20.05.2022 N 919)
б) размер средств, направленных на переселение из жилищного фонда, признанного непригодным для проживания, в том числе за счет средств федерального бюджета.
12. Высший исполнительный орган Пермского края представляет в Министерство строительства и жилищно-коммунального хозяйства Российской Федерации ежеквартально, не позднее 15-го числа месяца, следующего за отчетным кварталом, отчет о достижении значений результатов использования субсидии по форме, предусмотренной соглашением.
(п. 12 в ред.
Постановления Правительства РФ от 20.05.2022 N 919)
13. В целях определения размера и срока перечисления субсидии высший исполнительный орган Пермского края представляет в Министерство строительства и жилищно-коммунального хозяйства Российской Федерации заявку на перечисление субсидии по форме и в срок, которые установлены Министерством.
В заявке на перечисление субсидии указываются необходимый размер средств (в пределах предусмотренной субсидии), расходное обязательство, на осуществление которого предоставляется субсидия, и срок возникновения денежного обязательства Пермского края в целях исполнения соответствующего расходного обязательства.
14. Перечисление субсидии осуществляется в установленном порядке на единый счет бюджета Пермского края, открытый финансовому органу Пермского края в территориальном органе Федерального казначейства.
(п. 14 в ред.
Постановления Правительства РФ от 20.05.2022 N 919)
15. Отношения, возникающие при нарушении Правительством Пермского края положений, предусмотренных соглашением, а также основания освобождения Пермского края от мер финансовой ответственности регулируются
пунктами 16 -
18 и
20 Правил формирования, предоставления и распределения субсидий.
16. В случае нарушения Пермским краем целей, установленных при предоставлении субсидии, к нему применяются бюджетные меры принуждения в соответствии с бюджетным законодательством Российской Федерации.
(п. 16 в ред.
Постановления Правительства РФ от 20.05.2022 N 919)
17. Контроль за соблюдением Пермским краем условий предоставления субсидии осуществляется Министерством строительства и жилищно-коммунального хозяйства Российской Федерации и органами государственного финансового контроля.
(п. 17 в ред.
Постановления Правительства РФ от 20.05.2022 N 919)
к государственной программе
Российской Федерации "Обеспечение
доступным и комфортным жильем
и коммунальными услугами граждан
Российской Федерации"
ПРАВИЛА
ПРЕДОСТАВЛЕНИЯ СУБСИДИЙ ИЗ ФЕДЕРАЛЬНОГО БЮДЖЕТА
БЮДЖЕТАМ СУБЪЕКТОВ РОССИЙСКОЙ ФЕДЕРАЦИИ НА СОФИНАНСИРОВАНИЕ
РАСХОДНЫХ ОБЯЗАТЕЛЬСТВ СУБЪЕКТОВ РОССИЙСКОЙ ФЕДЕРАЦИИ
НА КОМПЕНСАЦИЮ ОТДЕЛЬНЫМ КАТЕГОРИЯМ ГРАЖДАН ОПЛАТЫ
ВЗНОСА НА КАПИТАЛЬНЫЙ РЕМОНТ ОБЩЕГО ИМУЩЕСТВА
В МНОГОКВАРТИРНОМ ДОМЕ
| | Список изменяющих документов (в ред. Постановлений Правительства РФ от 14.08.2018 N 940, | |
1. Настоящие Правила определяют цели, порядок и условия предоставления субсидий из федерального бюджета бюджетам субъектов Российской Федерации на софинансирование расходных обязательств субъектов Российской Федерации на компенсацию отдельным категориям граждан оплаты взноса на капитальный ремонт общего имущества в многоквартирном доме в рамках федерального проекта "Содействие субъектам Российской Федерации в реализации полномочий по оказанию государственной поддержки гражданам в обеспечении жильем и оплате жилищно-коммунальных услуг" государственной
программы Российской Федерации "Обеспечение доступным и комфортным жильем и коммунальными услугами граждан Российской Федерации" (далее соответственно - компенсация оплаты взноса на капитальный ремонт, субсидии).
(в ред. Постановлений Правительства РФ от 30.01.2019
N 62, от 17.10.2023
N 1725)
2. Субсидии предоставляются на софинансирование расходов субъектов Российской Федерации на компенсацию оплаты взноса на капитальный ремонт, обусловленных принятием ими на основании
части 2.1 статьи 169 Жилищного кодекса Российской Федерации в соответствии с законами субъектов Российской Федерации соответствующих расходных обязательств.
3. Субсидии предоставляются в пределах лимитов бюджетных обязательств, доведенных до Министерства строительства и жилищно-коммунального хозяйства Российской Федерации, на цели, указанные в
пункте 2 настоящих Правил.
4. Размер субсидии, предоставляемой бюджету i-го субъекта Российской Федерации (Сi), определяется по формуле:
где:
С - размер бюджетных ассигнований федерального бюджета на соответствующий финансовый год для предоставления субсидий;
З
i - потребность в бюджетных ассигнованиях на реализацию расходного обязательства i-го субъекта Российской Федерации, предусмотренного
пунктом 2 настоящих Правил;
ПУС
i - предельный уровень софинансирования расходного обязательства i-го субъекта Российской Федерации из федерального бюджета, утверждаемый Правительством Российской Федерации в соответствии с
пунктом 13 Правил формирования, предоставления и распределения субсидий из федерального бюджета бюджетам субъектов Российской Федерации, утвержденных постановлением Правительства Российской Федерации от 30 сентября 2014 г. N 999 "О формировании, предоставлении и распределении субсидий из федерального бюджета бюджетам субъектов Российской Федерации" (далее - Правила формирования, предоставления и распределения субсидий);
n - число субъектов Российской Федерации, между бюджетами которых распределяются субсидии.
(п. 4 в ред.
Постановления Правительства РФ от 23.11.2018 N 1407)
5. Утратил силу. -
Постановление Правительства РФ от 23.11.2018 N 1407.
6. Субсидия предоставляется при соблюдении субъектом Российской Федерации следующих условий:
а) наличие закона субъекта Российской Федерации, предусмотренного
частью 2.1 статьи 169 Жилищного кодекса Российской Федерации;
б) наличие в бюджете субъекта Российской Федерации бюджетных ассигнований на исполнение расходных обязательств субъекта Российской Федерации на компенсацию оплаты взноса на капитальный ремонт в объеме, необходимом для его исполнения, включающем размер планируемой к предоставлению из федерального бюджета субсидии;
в) заключение соглашения о предоставлении субсидии в соответствии с
пунктом 10 Правил формирования, предоставления и распределения субсидий.
(п. 6 в ред.
Постановления Правительства РФ от 23.11.2018 N 1407)
6.1. При заключении соглашения между Министерством строительства и жилищно-коммунального хозяйства Российской Федерации и субъектом Российской Федерации о предоставлении субсидии (далее - соглашение) высший исполнительный орган субъекта Российской Федерации в течение 15 календарных дней со дня заключения соглашения предоставляет Министерству строительства и жилищно-коммунального хозяйства Российской Федерации (в форме электронного документа) отчетность об исполнении условий предоставления субсидии.
7. Распределение субсидий между бюджетами субъектов Российской Федерации утверждается федеральным законом о федеральном бюджете на соответствующий финансовый год и плановый период.
8. Уровень софинансирования расходного обязательства субъекта Российской Федерации на компенсацию оплаты взноса на капитальный ремонт за счет субсидий устанавливается в размере предельного уровня софинансирования расходного обязательства субъекта Российской Федерации из федерального бюджета, утверждаемого Правительством Российской Федерации в соответствии с
пунктом 13 Правил формирования, предоставления и распределения субсидий.
(п. 8 в ред.
Постановления Правительства РФ от 23.11.2018 N 1407)
9. Предоставление субсидии осуществляется на основании соглашения. Соглашение заключается в соответствии с
типовой формой соглашения, утверждаемой Министерством финансов Российской Федерации.
(п. 9 в ред.
Постановления Правительства РФ от 23.11.2018 N 1407)
10. Утратил силу. -
Постановление Правительства РФ от 23.11.2018 N 1407.
11. Субсидия предоставляется в случае выполнения субъектом Российской Федерации условий соглашения, заключенного в предыдущем году, за исключением случаев, если выполнение условий соглашения оказалось невозможным вследствие наступления обстоятельств непреодолимой силы (в случае, если в предыдущем году с субъектом Российской Федерации заключалось соглашение).
12. Результат использования субсидии "Обеспеченность субсидией" определяется как отношение количества граждан, получивших компенсацию оплаты взноса на капитальный ремонт, к количеству граждан, обратившихся за компенсацией оплаты взноса на капитальный ремонт, имеющих право на компенсацию оплаты взноса на капитальный ремонт.
13. Эффективность использования субсидии оценивается Министерством строительства и жилищно-коммунального хозяйства Российской Федерации путем сравнения фактически достигнутых и плановых значений результатов использования субсидии, установленных соглашением. При этом:
а) в случае если фактические значения результатов использования субсидии составляют более 90 процентов плановых значений, эффективность использования субсидии оценивается как высокая;
б) в случае если фактические значения результатов использования субсидии составляют от 75 процентов до 90 процентов плановых значений, эффективность использования субсидии оценивается как удовлетворительная;
в) в случае если фактические значения результатов использования субсидии составляют менее 75 процентов плановых значений, эффективность использования субсидии оценивается как низкая.
14. Высший исполнительный орган субъекта Российской Федерации ежеквартально, не позднее 15-го числа месяца, следующего за отчетным кварталом, представляет в Министерство строительства и жилищно-коммунального хозяйства Российской Федерации в порядке, установленном соглашением, отчетность об осуществлении расходов бюджета субъекта Российской Федерации, в целях софинансирования которых предоставляется субсидия, а также о достижении значений результатов использования субсидии.
(в ред. Постановлений Правительства РФ от 30.01.2019
N 62, от 31.03.2020
N 399, от 09.12.2022
N 2272)
15. Размер средств бюджета субъекта Российской Федерации (средств местного бюджета) на реализацию мероприятий, указанных в соглашении, может быть увеличен в одностороннем порядке субъектом Российской Федерации, что не влечет обязательств по увеличению размера субсидии.
16. Порядок предоставления гражданам компенсации оплаты взноса на капитальный ремонт устанавливается исполнительными органами субъектов Российской Федерации.
17. Перечисление субсидий осуществляется в установленном порядке на единый счет бюджета, открытый финансовому органу субъекта Российской Федерации в территориальном органе Федерального казначейства.
(п. 17 в ред.
Постановления Правительства РФ от 17.10.2023 N 1725)
18. Не использованные в текущем финансовом году остатки субсидий подлежат возврату в доход федерального бюджета исполнительными органами субъектов Российской Федерации, за которыми в соответствии с законодательными и иными нормативными правовыми актами закреплены источники доходов бюджетов субъектов Российской Федерации по возврату остатков субсидии, в соответствии с требованиями, установленными бюджетным законодательством Российской Федерации.
В случае если неиспользованный остаток субсидии не перечислен в доход федерального бюджета, указанные средства подлежат взысканию в доход федерального бюджета в порядке, установленном Министерством финансов Российской Федерации.
19. Утратил силу. -
Постановление Правительства РФ от 23.11.2018 N 1407.
20. Высший исполнительный орган субъекта Российской Федерации в соответствии с бюджетным законодательством Российской Федерации несет ответственность за соблюдение условий предоставления субсидии и достоверность отчетности, предоставляемой Министерству строительства и жилищно-коммунального хозяйства Российской Федерации в соответствии с
пунктом 14 настоящих Правил.
(в ред. Постановлений Правительства РФ от 23.11.2018
N 1407, от 09.12.2022
N 2272)
21. Порядок и условия возврата средств из бюджета субъекта Российской Федерации в федеральный бюджет в случае нарушения субъектом Российской Федерации обязательств по достижению значений результата использования субсидии, установленных соглашением, а также основания для освобождения субъекта Российской Федерации от применения мер финансовой ответственности определяются в соответствии с
пунктами 16 -
18 и
20 Правил формирования, предоставления и распределения субсидий.
В случае нарушения целей, установленных при предоставлении субсидии, применяются бюджетные меры принуждения, предусмотренные бюджетным законодательством Российской Федерации.
(п. 21 в ред.
Постановления Правительства РФ от 17.10.2023 N 1725)
22. Контроль за соблюдением субъектами Российской Федерации целей, порядка и условий предоставления субсидий осуществляется Министерством строительства и жилищно-коммунального хозяйства Российской Федерации и уполномоченными органами государственного финансового контроля.
к государственной программе
Российской Федерации "Обеспечение
доступным и комфортным жильем
и коммунальными услугами граждан
Российской Федерации"
ПРАВИЛА
ПРЕДОСТАВЛЕНИЯ СУБСИДИИ ИЗ ФЕДЕРАЛЬНОГО БЮДЖЕТА
БЮДЖЕТУ ЧЕЧЕНСКОЙ РЕСПУБЛИКИ НА РЕАЛИЗАЦИЮ МЕРОПРИЯТИЙ
ПО ПЕРЕСЕЛЕНИЮ ГРАЖДАН, ПРОЖИВАЮЩИХ В ОПОЛЗНЕВЫХ
И СЕЙСМИЧЕСКИХ ЗОНАХ НА ТЕРРИТОРИИ ЧЕЧЕНСКОЙ РЕСПУБЛИКИ,
В РАЙОНЫ С БЛАГОПРИЯТНЫМИ УСЛОВИЯМИ ПРОЖИВАНИЯ
НА ТЕРРИТОРИИ ЧЕЧЕНСКОЙ РЕСПУБЛИКИ
| | Список изменяющих документов (в ред. Постановлений Правительства РФ от 30.01.2019 N 62, | |
1. Настоящие Правила устанавливают цели, порядок и условия предоставления субсидий из федерального бюджета бюджету Чеченской Республики в целях софинансирования расходных обязательств Чеченской Республики, возникающих при реализации мероприятий по переселению граждан, проживающих в оползневых и сейсмических зонах на территории Чеченской Республики (далее - мероприятия), в рамках федерального проекта "Содействие субъектам Российской Федерации в реализации полномочий по оказанию государственной поддержки гражданам в обеспечении жильем и оплате жилищно-коммунальных услуг" государственной программы Российской Федерации "Обеспечение доступным и комфортным жильем и коммунальными услугами граждан Российской Федерации" (далее - субсидия).
(в ред. Постановлений Правительства РФ от 06.02.2023
N 165, от 30.11.2023
N 2045)
2. Субсидия предоставляется в целях софинансирования мероприятий и (или) предоставление субсидий местным бюджетам из бюджета Чеченской Республики на указанные цели.
3. Субсидия предоставляется в пределах лимитов бюджетных обязательств, доведенных до Министерства строительства и жилищно-коммунального хозяйства Российской Федерации, на цели, указанные в
пункте 1 настоящих Правил.
4. Субсидия предоставляется на:
а) приобретение Чеченской Республикой жилых помещений в целях переселения граждан, проживающих в оползневой зоне на территории Чеченской Республики, в районы с благоприятными условиями проживания на территории Чеченской Республики;
б) строительство Чеченской Республикой жилых помещений в целях переселения граждан, проживающих в оползневой зоне на территории Чеченской Республики, в районы с благоприятными условиями проживания на территории Чеченской Республики;
в) предоставление социальных выплат гражданам, проживающим в оползневой зоне на территории Чеченской Республики, в целях переселения их в районы с благоприятными условиями проживания на территории Чеченской Республики;
г) строительство Чеченской Республикой жилых домов и многоквартирных домов на территории Чеченской Республики взамен жилых домов и многоквартирных домов, признанных не соответствующими требованиям сейсмостойкости, за исключением жилых домов и многоквартирных домов, строительство которых осуществляется в рамках мероприятий по строительству новых сейсмостойких объектов в соответствии с
Правилами предоставления и распределения субсидий из федерального бюджета бюджетам субъектов Российской Федерации на софинансирование расходных обязательств субъектов Российской Федерации по сейсмоусилению объектов, приведенными в приложении N 9 к государственной программе Российской Федерации "Обеспечение доступным и комфортным жильем и коммунальными услугами граждан Российской Федерации".
5. Жилые помещения, приобретенные (построенные) с использованием субсидии, предоставляются нанимателям или собственникам жилых помещений в порядке, предусмотренном жилищным законодательством Российской Федерации.
Порядок предоставления социальных выплат указанным в
подпункте "в" пункта 4 настоящих Правил лицам, в том числе являющимся нанимателями жилых помещений по договорам социального найма и изъявившим желание переселиться в другое муниципальное образование, устанавливается нормативным правовым актом высшего исполнительного органа Чеченской Республики.
6. В рамках реализации мероприятий размер средств, направляемых на обеспечение жильем одной семьи, рассчитывается исходя из средней рыночной стоимости одного кв. метра общей площади жилого помещения в Чеченской Республике, устанавливаемой Министерством строительства и жилищно-коммунального хозяйства Российской Федерации на соответствующий период, и нормативов обеспечения жилой площадью, составляющих 33 кв. метра для одиноко проживающего гражданина, 42 кв. метра для семьи, состоящей из 2 человек, и по 18 кв. метров на человека для семьи, состоящей из 3 и более человек.
7. Адресное (пообъектное) распределение субсидий по объектам капитального строительства, в целях софинансирования строительства (реконструкции) которых предоставляется субсидия, определяется в соответствии с
пунктом 5 Правил формирования, предоставления и распределения субсидий из федерального бюджета бюджетам субъектов Российской Федерации, утвержденных постановлением Правительства Российской Федерации от 30 сентября 2014 г. N 999 "О формировании, предоставлении и распределении субсидий из федерального бюджета бюджетам субъектов Российской Федерации" (далее - Правила формирования, предоставления и распределения субсидий).
(в ред. Постановлений Правительства РФ от 06.02.2023
N 165, от 05.08.2024
N 1053)
8. Для включения объектов капитального строительства в адресное (пообъектное) распределение субсидий по объектам капитального строительства, указанное в
пункте 7 настоящих Правил, уполномоченный исполнительный орган Чеченской Республики представляет в Министерство строительства и жилищно-коммунального хозяйства Российской Федерации в отношении каждого объекта следующие документы и сведения:
а) наименование объекта капитального строительства;
б) мощность объекта капитального строительства, подлежащего вводу в эксплуатацию;
в) срок ввода в эксплуатацию;
г) потребность в средствах федерального бюджета, направляемых на строительство жилого помещения - объекта капитального строительства;
д) копия положительного заключения государственной экспертизы проектной документации, содержащего оценку достоверности определения сметной стоимости объектов капитального строительства в случаях, установленных
частью 2 статьи 8.3 Градостроительного кодекса Российской Федерации, и положительного заключения государственной экспертизы результатов инженерных изысканий, выполненных для подготовки такой проектной документации (в случае если проведение такой экспертизы в соответствии с законодательством Российской Федерации является обязательным);
(пп. "д" в ред.
Постановления Правительства РФ от 06.02.2023 N 165)
е) документы об утверждении проектной документации в соответствии с законодательством Российской Федерации (в случае, если в соответствии с законодательством Российской Федерации подготовка проектной документации является обязательной);
ж) - з) утратили силу. -
Постановление Правительства РФ от 06.02.2023 N 165;
и) копии документов, подтверждающих направление средств бюджета субъекта Российской Федерации и (или) местного бюджета, заемных и других средств на финансовое обеспечение строительства жилого помещения - объекта капитального строительства;
к) сведения, необходимые для проведения проверки инвестиционного проекта на предмет эффективности использования средств федерального бюджета, направляемых на капитальные вложения, предусмотренные
Правилами проведения проверки инвестиционных проектов на предмет эффективности использования средств федерального бюджета, направляемых на капитальные вложения, утвержденными постановлением Правительства Российской Федерации от 15 марта 2023 г. N 399 "О случаях и порядке проведения проверки инвестиционных проектов на предмет эффективности использования средств федерального бюджета, направляемых на капитальные вложения, о внесении изменений в некоторые акты Правительства Российской Федерации, приостановлении действия постановления Правительства Российской Федерации от 12 августа 2008 г. N 590 и отдельных положений некоторых актов Правительства Российской Федерации, а также признании утратившими силу некоторых актов и отдельных положений некоторых актов Правительства Российской Федерации", - в случаях, определенных указанным постановлением;
(пп. "к" в ред.
Постановления Правительства РФ от 05.08.2024 N 1053)
л) паспорт инвестиционного проекта по форме, установленной Министерством строительства и жилищно-коммунального хозяйства Российской Федерации;
м) копии правоустанавливающих документов на земельный участок, а в случае их отсутствия - копия решения о предварительном согласовании места размещения объекта капитального строительства;
н) копия выписки из соответствующего государственного реестра о государственной регистрации застройщика в соответствии с законодательством Российской Федерации;
о) копии актов обследования технического состояния жилых домов и многоквартирных домов, содержащих заключение о несоответствии требованиям сейсмостойкости (в случае предоставления субсидии в соответствии с
подпунктом "г" пункта 4 настоящих Правил).
8(1) - 8(2). Утратили силу. -
Постановление Правительства РФ от 06.02.2023 N 165.
9. Субсидия предоставляется при соблюдении следующих условий:
а) наличие в бюджете Чеченской Республики бюджетных ассигнований на исполнение расходного обязательства Чеченской Республикой по финансовому обеспечению мероприятий (результатов), софинансирование которого осуществляется из федерального бюджета, в объеме, необходимом для его исполнения;
(в ред. Постановлений Правительства РФ от 30.01.2019
N 62, от 06.02.2023
N 165)
б) наличие утвержденной государственной программы Чеченской Республики, в которой предусмотрены мероприятия, при реализации которых возникают расходные обязательства Чеченской Республики, в целях софинансирования которых предоставляется субсидия;
в) заключение соглашения о предоставлении субсидии из федерального бюджета бюджету Чеченской Республики, заключаемого между Министерством строительства и жилищно-коммунального хозяйства Российской Федерации и высшим исполнительным органом Чеченской Республики, в соответствии с
пунктом 10 Правил формирования, предоставления и распределения субсидий (далее - соглашение).
10. Предоставление субсидии бюджету Чеченской Республики осуществляется на основании соглашения, подготавливаемого (формируемого) и заключаемого в государственной интегрированной информационной системе управления общественными финансами "Электронный бюджет" в соответствии с
типовой формой соглашения, утвержденной Министерством финансов Российской Федерации.
(п. 10 в ред.
Постановления Правительства РФ от 06.02.2023 N 165)
11. Абзац утратил силу. -
Постановление Правительства РФ от 06.02.2023 N 165.
Внесение в соглашение изменений, предусматривающих ухудшение значений результатов использования субсидии, а также увеличение сроков реализации мероприятий не допускается, за исключением случаев, если выполнение условий предоставления субсидии оказалось невозможным вследствие обстоятельств непреодолимой силы, изменения значений целевых показателей и индикаторов государственной программы Российской Федерации "Обеспечение доступным и комфортным жильем и коммунальными услугами граждан Российской Федерации", а также в случае сокращения размера субсидии.
(в ред. Постановлений Правительства РФ от 31.03.2020
N 399, от 06.02.2023
N 165)
11(1). В соглашении могут быть установлены различные уровни софинансирования расходного обязательства субъекта Российской Федерации из федерального бюджета по отдельным мероприятиям (объектам капитального строительства) в случае предоставления субсидий в целях софинансирования расходного обязательства субъекта Российской Федерации, предусматривающего реализацию более одного мероприятия (капитальные вложения в несколько объектов капитального строительства).
12. Если размер бюджетных ассигнований, предусмотренных в бюджете Чеченской Республики на финансовое обеспечение мероприятий, не обеспечивает предельный уровень софинансирования расходного обязательства Чеченской Республики из федерального бюджета, то размер субсидии, предоставляемой бюджету Чеченской Республики, подлежит сокращению до размера, обеспечивающего соответствующий предельный уровень софинансирования.
13. Утратил силу. -
Постановление Правительства РФ от 06.02.2023 N 165.
14. Оценка эффективности использования субсидии осуществляется Министерством строительства и жилищно-коммунального хозяйства Российской Федерации путем сравнения фактически достигнутых и плановых значений следующего результата использования субсидии - "Количество семей граждан, переселенных из оползневых и сейсмических зон, путем предоставления социальных выплат, предоставления или строительства жилья".
(в ред. Постановлений Правительства РФ от 06.02.2023
N 165, от 30.11.2023
N 2045)
14(1). Перечисление субсидий осуществляется в установленном порядке на единый счет бюджета, открытый финансовому органу Чеченской Республики в территориальном органе Федерального казначейства.
15. Высший исполнительный орган Чеченской Республики представляет в Министерство строительства и жилищно-коммунального хозяйства Российской Федерации в порядке и сроки, которые установлены соглашением, отчетность об осуществлении расходов бюджета субъекта Российской Федерации, в целях софинансирования которых предоставляется субсидия, а также о достижении значений результата использования субсидии.
(в ред. Постановлений Правительства РФ от 30.01.2019
N 62, от 31.03.2020
N 399, от 09.12.2022
N 2272, от 06.02.2023
N 165)
16. Объем бюджетных ассигнований, предусмотренных в бюджете Чеченской Республики на исполнение расходных обязательств, в целях софинансирования которых предоставляется субсидия, может быть увеличен Чеченской Республикой, что не влечет обязательств по увеличению размера предоставляемой субсидии.
(п. 16 в ред.
Постановления Правительства РФ от 06.02.2023 N 165)
17. В целях предоставления социальных выплат лицам, указанным в
подпункте "в" пункта 4 настоящих Правил, поступившие в бюджет Чеченской Республики (местный бюджет) средства в размере, необходимом для предоставления социальной выплаты, перечисляются на казначейский счет для осуществления и отражения операций с денежными средствами, поступающими во временное распоряжение, открытый финансовому органу Чеченской Республики (муниципального образования), с отражением указанных операций на лицевых счетах, открытых органам государственной власти Чеченской Республики (органам местного самоуправления) в территориальном органе Федерального казначейства или финансовом органе Чеченской Республики (финансовом органе муниципального образования), для учета операций со средствами, поступающими в соответствии с законодательством Российской Федерации во временное распоряжение получателей средств бюджетов Чеченской Республики (местных бюджетов).
Перечисление средств с лицевых счетов, предназначенных для учета операций со средствами, поступающими во временное распоряжение получателей средств бюджета Чеченской Республики (местного бюджета), осуществляется на основании представленных в территориальный орган Федерального казначейства или финансовый орган Чеченской Республики (финансовый орган муниципального образования) органами государственной власти субъекта Российской Федерации (органами местного самоуправления) утвержденных указанными органами списков получателей социальных выплат с указанием размера социальной выплаты для каждого получателя.
17(1). Субсидии, предусмотренные субъектам Российской Федерации на очередной финансовый год, подлежат перераспределению в случае отсутствия на 1 июля текущего финансового года документов и сведений, предусмотренных
пунктом 8 настоящих Правил, по объектам капитального строительства, предусмотренным
подпунктом "б" пункта 4 настоящих Правил.
Предложения по распределению бюджетных ассигнований федерального бюджета на предоставление субсидии направляются Министерством строительства и жилищно-коммунального хозяйства Российской Федерации на рассмотрение президиума (штаба) Правительственной комиссии по региональному развитию в Российской Федерации и утверждаются в порядке, установленном бюджетным законодательством Российской Федерации.
18 - 18(1). Утратили силу. -
Постановление Правительства РФ от 06.02.2023 N 165.
19. В случае нарушения целей, установленных при предоставлении субсидии, применяются бюджетные меры принуждения, предусмотренные бюджетным законодательством Российской Федерации.
Основания и порядок применения мер финансовой ответственности к субъекту Российской Федерации при невыполнении им условий соглашения (включая обязательства субъекта Российской Федерации), в том числе порядок и условия возврата средств из бюджета субъекта Российской Федерации в федеральный бюджет, установлены
пунктами 16 -
19 Правил формирования, предоставления и распределения субсидий. Основания и порядок освобождения субъекта Российской Федерации от применения указанных мер финансовой ответственности установлены
пунктом 20 Правил формирования, предоставления и распределения субсидий.
(п. 19 в ред.
Постановления Правительства РФ от 05.08.2024 N 1053)
20. Контроль за соблюдением субъектом Российской Федерации условий предоставления субсидий осуществляется Министерством строительства и жилищно-коммунального хозяйства Российской Федерации и уполномоченными органами государственного финансового контроля.
(п. 20 в ред.
Постановления Правительства РФ от 06.02.2023 N 165)
к государственной программе
Российской Федерации "Обеспечение
доступным и комфортным жильем
и коммунальными услугами граждан
Российской Федерации"
ПРАВИЛА
ПРЕДОСТАВЛЕНИЯ И РАСПРЕДЕЛЕНИЯ СУБСИДИЙ ИЗ ФЕДЕРАЛЬНОГО
БЮДЖЕТА БЮДЖЕТАМ СУБЪЕКТОВ РОССИЙСКОЙ ФЕДЕРАЦИИ
НА ПОДДЕРЖКУ ОБУСТРОЙСТВА МЕСТ МАССОВОГО ОТДЫХА
НАСЕЛЕНИЯ (ГОРОДСКИХ ПАРКОВ)
| | Список изменяющих документов (в ред. Постановлений Правительства РФ от 14.08.2018 N 940, | |
1. Настоящие Правила устанавливают цели, порядок и условия предоставления и распределения в 2018 году субсидий из федерального бюджета бюджетам субъектов Российской Федерации на поддержку обустройства мест массового отдыха населения (городских парков) в рамках основного мероприятия "Содействие обустройству мест массового отдыха населения (городских парков)" государственной
программы Российской Федерации "Обеспечение доступным и комфортным жильем и коммунальными услугами граждан Российской Федерации" (далее соответственно - мероприятия по благоустройству парков, субсидии).
2. В настоящих Правилах под парком понимается озелененная часть территории природного комплекса, на которой располагаются природные и искусственно созданные садово-парковые комплексы и объекты (парк, сад, сквер, бульвар) и которая расположена в городах с численностью населения до 250 тыс. человек.
В настоящих Правилах под городом в отношении г. Севастополя понимается его внутригородская территория.
3. Субсидии предоставляются Министерством строительства и жилищно-коммунального хозяйства Российской Федерации в пределах бюджетных ассигнований, предусмотренных федеральным законом о федеральном бюджете на соответствующий финансовый год и плановый период, и лимитов бюджетных обязательств, доведенных в установленном порядке до этого Министерства как получателя средств федерального бюджета, на цели, указанные в
пункте 1 настоящих Правил.
4. Субсидии предоставляются субъектам Российской Федерации, уровень расчетной бюджетной обеспеченности которых в планируемом году меньше или равен 1.
5. Субсидии предоставляются на следующих условиях:
а) наличие в утвержденной государственной программе субъекта Российской Федерации мероприятий, связанных с предоставлением субсидий местным бюджетам из бюджета субъекта Российской Федерации на реализацию мероприятий по благоустройству парков;
б) наличие в бюджете субъекта Российской Федерации бюджетных ассигнований на исполнение расходного обязательства субъекта Российской Федерации по софинансированию мероприятий, связанных с предоставлением субсидий местным бюджетам из бюджета субъекта Российской Федерации на реализацию мероприятий по благоустройству парков;
в) заключение соглашения о предоставлении субсидии в соответствии с
пунктом 6 настоящих Правил.
6. Предоставление субсидий осуществляется на основании соглашения между Министерством строительства и жилищно-коммунального хозяйства Российской Федерации и высшим исполнительным органом субъекта Российской Федерации, заключаемого на очередной финансовый год и плановый период в соответствии с
типовой формой соглашения, утверждаемой Министерством финансов Российской Федерации (далее - соглашение), в период, предусмотренный
пунктом 1 настоящих Правил.
Содержание соглашения должно соответствовать требованиям, установленным
пунктом 10 Правил формирования, предоставления и распределения субсидий из федерального бюджета бюджетам субъектов Российской Федерации, утвержденных постановлением Правительства Российской Федерации от 30 сентября 2014 г. N 999 "О формировании, предоставлении и распределении субсидий из федерального бюджета бюджетам субъектов Российской Федерации" (далее - Правила формирования, предоставления и распределения субсидий из федерального бюджета бюджетам субъектов Российской Федерации), а также включать следующие положения:
а) обязательство субъекта Российской Федерации не позднее 1 февраля года предоставления субсидии утвердить нормативным правовым актом субъекта Российской Федерации правила предоставления и распределения в порядке субсидирования средств бюджета субъекта Российской Федерации, источником финансового обеспечения которых является субсидия и средства, предусмотренные
подпунктом "б" пункта 5 настоящих Правил, которые предоставляются местным бюджетам в целях софинансирования мероприятий по благоустройству парков, содержащие следующие условия:
осуществление распределения средств местным бюджетам исходя из численности населения, проживающего в муниципальных образованиях, а также иных критериев, определенных уполномоченным исполнительным органом субъекта Российской Федерации;
обязательства муниципальных образований - получателей указанных средств:
при наличии единственного на территории города парка, нуждающегося в благоустройстве, осуществить благоустройство такого парка, обеспечив участие граждан в выборе мероприятий по благоустройству парка путем проведения общественных обсуждений продолжительностью не менее 30 дней со дня объявления обсуждения, но не позднее 1 марта года предоставления субсидии;
при наличии нескольких парков на территории города, нуждающихся в благоустройстве, не позднее 15 февраля года предоставления субсидии разработать, утвердить и опубликовать порядок и сроки представления, рассмотрения и оценки предложений граждан, организаций о выборе парка, подлежащего благоустройству в каждый год срока предоставления субсидии;
не позднее 1 апреля года предоставления субсидии с учетом результатов общественного обсуждения принять решение о выборе парка, подлежащего благоустройству в каждый год срока предоставления субсидии, обеспечить утверждение дизайн-проекта обустройства парка и перечня мероприятий по благоустройству парка, подлежащих реализации в каждом году срока предоставления субсидии, с учетом результатов общественных обсуждений продолжительностью не менее 30 дней со дня объявления обсуждения;
обеспечить завершение мероприятий по благоустройству парка в установленные сроки;
б) обязательство субъекта Российской Федерации не позднее 1 февраля года предоставления субсидии утвердить нормативным правовым актом субъекта Российской Федерации перечень муниципальных образований, бюджетам которых субъект Российской Федерации предоставляет средства, указанные в
абзаце первом подпункта "а" настоящего пункта, с указанием их объема.
7. Размер средств для предоставления субсидии i-му субъекту Российской Федерации (Ci) определяется по формуле:

,
где:
i - показатель, учитывающий субъекты Российской Федерации;
Cобщ - объем бюджетных ассигнований федерального бюджета на текущий финансовый год для предоставления субсидий, распределяемых на соответствующий год;
Bi - численность населения, проживающего в городах с населением до 250 тыс. человек, на территории i-го субъекта Российской Федерации в соответствии с данными Федеральной службы государственной статистики. Для г. Севастополя численность населения принимается равной 249,999 тыс. человек;
Y
i - предельный уровень софинансирования расходного обязательства субъекта Российской Федерации из федерального бюджета, утверждаемый в соответствии с
Правилами формирования, предоставления и распределения субсидий из федерального бюджета бюджетам субъектов Российской Федерации.
8. В случае невыполнения обязательств, указанных в
подпунктах "а" и
"б" пункта 6 настоящих Правил, в установленный срок перечисление средств субсидии из федерального бюджета в бюджет субъекта Российской Федерации приостанавливается до выполнения указанных обязательств.
9. Если размер средств, предусмотренных в бюджете субъекта Российской Федерации на финансирование мероприятий по благоустройству парков, не обеспечивает предельный уровень софинансирования расходного обязательства субъекта Российской Федерации из федерального бюджета, утверждаемый в соответствии с
Правилами формирования, предоставления и распределения субсидий из федерального бюджета бюджетам субъектов Российской Федерации, то субсидия предоставляется в размере, обеспечивающем такой предельный уровень софинансирования.
10. Увеличение размера средств бюджетов субъектов Российской Федерации и местных бюджетов, направляемых на реализацию мероприятий по благоустройству парков, не влечет обязательств по увеличению размера предоставляемой субсидии.
11. Оценка эффективности использования субсидии осуществляется путем сравнения установленных соглашением значений показателей результативности использования субсидии из федерального бюджета бюджетам субъектов Российской Федерации на поддержку обустройства мест массового отдыха населения (городских парков), предусмотренных
приложением к настоящим Правилам, и значений показателей результативности использования субсидии, фактически достигнутых по итогам завершения планового года.
12. В случае если к субъекту Российской Федерации применяются меры ответственности, предусмотренные
пунктами 16 -
18 и
22(1) Правил формирования, предоставления и распределения субсидий из федерального бюджета бюджетам субъектов Российской Федерации, Министерство строительства и жилищно-коммунального хозяйства Российской Федерации сокращает размер субсидии, предусмотренный субъекту Российской Федерации на очередной финансовый год, на сумму, определенную в соответствии с
пунктами 16 -
18 и
22(1) указанных Правил.
13. Перечисление субсидий из федерального бюджета осуществляется в установленном порядке на счета, открытые территориальным органам Федерального казначейства в учреждениях Центрального банка Российской Федерации для учета операций со средствами бюджетов субъектов Российской Федерации.
14. Не использованный на 1 января текущего финансового года остаток субсидии подлежит возврату в федеральный бюджет уполномоченным органом государственной власти субъекта Российской Федерации, за которым в соответствии с законодательными и иными нормативными правовыми актами Российской Федерации закреплены источники доходов бюджета субъекта Российской Федерации по возврату остатков целевых средств, в соответствии с требованиями, установленными федеральным законом о федеральном бюджете на текущий финансовый год и плановый период.
15. В случае если неиспользованный остаток субсидии не перечислен в доход федерального бюджета, указанные средства подлежат взысканию в доход федерального бюджета в порядке, установленном бюджетным законодательством Российской Федерации.
16. Субсидия в случае ее нецелевого использования и (или) нарушения субъектом Российской Федерации условий ее предоставления, в том числе условий, предусмотренных
пунктом 5,
подпунктами "а" и
"б" пункта 6 настоящих Правил, подлежит взысканию в доход федерального бюджета в соответствии с бюджетным законодательством Российской Федерации.
17. Контроль за соблюдением органами государственной власти субъектов Российской Федерации целей, порядка и условий предоставления субсидий осуществляется Министерством строительства и жилищно-коммунального хозяйства Российской Федерации и федеральным органом исполнительной власти, осуществляющим функции по контролю и надзору в финансово-бюджетной сфере. Министерство строительства и жилищно-коммунального хозяйства Российской Федерации осуществляет до 1 марта года, следующего за годом предоставления субсидии, контроль путем оценки отчетов субъектов Российской Федерации об исполнении условий предоставления субсидии, представляемых до 20 января года, следующего за годом предоставления субсидии, и выборочный контроль достоверности указанных отчетов.
18. В случае выявления в результате проведения проверок в соответствии с
пунктом 17 настоящих Правил фактов представления субъектом Российской Федерации недостоверных отчетов субсидия подлежит возврату в федеральный бюджет уполномоченным органом государственной власти субъекта Российской Федерации в полном объеме независимо от степени достижения показателей результативности использования субсидии.
к Правилам предоставления
и распределения субсидий
из федерального бюджета бюджетам
субъектов Российской Федерации
на поддержку обустройства мест
массового отдыха населения
(городских парков)
РЕЗУЛЬТАТИВНОСТИ ИСПОЛЬЗОВАНИЯ СУБСИДИИ ИЗ ФЕДЕРАЛЬНОГО
БЮДЖЕТА БЮДЖЕТАМ СУБЪЕКТОВ РОССИЙСКОЙ ФЕДЕРАЦИИ
НА ПОДДЕРЖКУ ОБУСТРОЙСТВА МЕСТ МАССОВОГО ОТДЫХА
НАСЕЛЕНИЯ (ГОРОДСКИХ ПАРКОВ)
| | Список изменяющих документов | |
Наименование обязательства | Срок исполнения | Наименование показателя | Плановое значение показателя |
1. | Утверждение нормативным правовым актом субъекта Российской Федерации правил предоставления и распределения субсидий местным бюджетам в целях софинансирования мероприятий по поддержке обустройства мест массового отдыха населения (городских парков) (далее - мероприятия по благоустройству парков) | не позднее 1 февраля года предоставления субсидии | утверждение нормативного правового акта в установленный срок | 1 |
|
2. | Утверждение и опубликование порядка и сроков представления, рассмотрения и оценки предложений граждан, организаций о выборе парка, подлежащего благоустройству, и перечня работ по благоустройству | не позднее 1 февраля года предоставления субсидии | утверждение нормативного правового акта в установленный срок | 1 |
|
3. | Принятие решения о выборе парка, подлежащего благоустройству, с учетом результатов общественного обсуждения | не позднее 1 апреля года предоставления субсидии | 100 процентов муниципальных образований - получателей субсидии приняли решение о выборе парка | 1 |
|
4. | Утверждение дизайн-проекта благоустройства парка и перечня мероприятий по благоустройству, подлежащих реализации, с учетом результатов общественных обсуждений | не позднее 1 апреля года предоставления субсидии | 100 процентов муниципальных образований - получателей субсидии утвердили дизайн-проект | 1 |
|
к государственной программе
Российской Федерации "Обеспечение
доступным и комфортным жильем
и коммунальными услугами граждан
Российской Федерации"
ПРАВИЛА
ПРЕДОСТАВЛЕНИЯ И РАСПРЕДЕЛЕНИЯ СУБСИДИЙ ИЗ ФЕДЕРАЛЬНОГО
БЮДЖЕТА БЮДЖЕТАМ СУБЪЕКТОВ РОССИЙСКОЙ ФЕДЕРАЦИИ И БЮДЖЕТУ
Г. БАЙКОНУРА НА ПОДДЕРЖКУ ГОСУДАРСТВЕННЫХ ПРОГРАММ
ФОРМИРОВАНИЯ СОВРЕМЕННОЙ ГОРОДСКОЙ СРЕДЫ СУБЪЕКТОВ
РОССИЙСКОЙ ФЕДЕРАЦИИ И Г. БАЙКОНУРА И МУНИЦИПАЛЬНЫХ
ПРОГРАММ ФОРМИРОВАНИЯ СОВРЕМЕННОЙ ГОРОДСКОЙ СРЕДЫ
| | Список изменяющих документов (в ред. Постановлений Правительства РФ от 09.02.2019 N 106, от 08.10.2020 N 1630 (ред. 29.12.2020), от 05.11.2020 N 1785, | |
1. Настоящие Правила устанавливают цели, порядок и условия предоставления и распределения субсидий из федерального бюджета бюджетам субъектов Российской Федерации и бюджету г. Байконура в целях софинансирования расходных обязательств субъектов Российской Федерации и г. Байконура, возникающих при реализации мероприятий, направленных на поддержку государственных программ (подпрограмм) формирования современной городской среды субъектов Российской Федерации и г. Байконура и муниципальных программ (подпрограмм) формирования современной городской среды в рамках федерального
проекта "Формирование комфортной городской среды" в составе государственной программы Российской Федерации "Обеспечение доступным и комфортным жильем и коммунальными услугами граждан Российской Федерации" (далее соответственно - федеральный проект, государственная программа, муниципальная программа, субсидия из федерального бюджета).
(в ред. Постановлений Правительства РФ от 30.11.2023
N 2034, от 30.11.2024
N 1699)
2. Субсидии из федерального бюджета предоставляются в целях:
а) софинансирования расходных обязательств субъектов Российской Федерации и г. Байконура, связанных с реализацией государственных программ, направленных на реализацию мероприятий по благоустройству территорий соответствующего функционального назначения (площадей, набережных, улиц, пешеходных зон, скверов, парков, иных территорий, частей указанных территорий в случаях, когда реализация мероприятий по благоустройству части территории может быть завершена отдельно от мероприятий по благоустройству других частей этой же территории) (далее - общественные территории), дворовых территорий и мероприятий по строительству, реконструкции (модернизации) объектов капитального строительства в рамках мероприятий по благоустройству общественных территорий (далее - строительство объектов капитального строительства, объекты капитального строительства), а также по осуществлению строительного контроля в процессе строительства объектов капитального строительства;
(в ред. Постановлений Правительства РФ от 30.11.2023
N 2034, от 24.03.2025
N 350)
б) предоставления субсидий из бюджета субъекта Российской Федерации местным бюджетам на софинансирование реализации муниципальных программ, направленных на реализацию мероприятий по благоустройству общественных территорий, дворовых территорий и мероприятий по строительству объектов капитального строительства, а также по осуществлению строительного контроля в процессе строительства объектов капитального строительства (далее - субсидии из бюджетов субъектов Российской Федерации).
3. Для целей настоящих Правил:
под дворовой территорией понимается совокупность территорий, прилегающих к многоквартирным домам, с расположенными на них объектами, предназначенными для обслуживания и эксплуатации таких домов, и элементами благоустройства этих территорий, в том числе парковками (парковочными местами), тротуарами и автомобильными дорогами, включая автомобильные дороги, образующие проезды к территориям, прилегающим к многоквартирным домам;
абзац утратил силу. -
Постановление Правительства РФ от 02.12.2022 N 2214;
под городским хозяйством понимается комплекс объектов, образующих инфраструктуру города (объекты жилищно-коммунального хозяйства, дорожного хозяйства, транспортного обслуживания, общественной безопасности, услуг связи, места массового отдыха и общественные территории);
абзац утратил силу с 1 января 2025 года. -
Постановление Правительства РФ от 30.11.2024 N 1699;
под платформой по голосованию за объекты благоустройства понимается информационная система, предназначенная для проведения голосования граждан в возрасте от 14 лет по отбору общественных территорий, подлежащих благоустройству в рамках реализации государственных программ субъектов Российской Федерации и г. Байконура и муниципальных программ, использование которой согласовано с Министерством строительства и жилищно-коммунального хозяйства Российской Федерации для использования субъектами Российской Федерации и г. Байконуром.
4. Субсидии из федерального бюджета предоставляются в пределах лимитов бюджетных обязательств, доведенных до Министерства строительства и жилищно-коммунального хозяйства Российской Федерации как получателя средств федерального бюджета, на цели, указанные в
пункте 2 настоящих Правил.
4(1). Критерием отбора субъектов Российской Федерации и г. Байконура для предоставления субсидии из федерального бюджета является реализация на территории субъекта Российской Федерации и г. Байконура регионального проекта, обеспечивающего достижение показателей и результатов федерального проекта, осуществляемая в соответствии с соглашением, предусмотренным
пунктом 45 Положения об организации проектной деятельности в Правительстве Российской Федерации, утвержденного постановлением Правительства Российской Федерации от 31 октября 2018 г. N 1288 "Об организации проектной деятельности в Правительстве Российской Федерации".
5. В целях получения субсидий из федерального бюджета на софинансирование строительства объектов капитального строительства и (или) предоставления субсидий из бюджетов субъектов Российской Федерации на софинансирование строительства объектов капительного строительства субъекты Российской Федерации и г. Байконур дополнительно представляют в Министерство строительства и жилищно-коммунального хозяйства Российской Федерации следующие сведения и документы в отношении каждого объекта капитального строительства:
(в ред. Постановлений Правительства РФ от 02.12.2022
N 2214, от 30.11.2023
N 2034)
наименование объекта капитального строительства;
мощность объекта капитального строительства, подлежащего вводу в эксплуатацию;
срок ввода в эксплуатацию объекта капитального строительства;
потребность в средствах федерального бюджета;
копии положительного заключения государственной экспертизы проектной документации, содержащего оценку достоверности определения сметной стоимости строительства объектов капитального строительства в случаях, установленных
частью 2 статьи 8.3 Градостроительного кодекса Российской Федерации, и положительного заключения государственной экспертизы результатов инженерных изысканий, выполненных для подготовки такой проектной документации (в случае если проведение такой экспертизы в соответствии с законодательством Российской Федерации является обязательным). В проектной документации по объектам капитального строительства, реализуемым на территориях Дальневосточного федерального округа и Арктической зоны Российской Федерации, необходимо предусматривать перечень мероприятий и затраты по привлечению студенческих строительных отрядов;
(в ред. Постановлений Правительства РФ от 02.12.2022
N 2214, от 05.08.2024
N 1053)
документы об утверждении проектной документации в соответствии с законодательством Российской Федерации (в случае если подготовка проектной документации является обязательной в соответствии с законодательством Российской Федерации);
абзацы восьмой - девятый утратили силу. -
Постановление Правительства РФ от 02.12.2022 N 2214;
сведения, необходимые для проведения проверки инвестиционного проекта на предмет эффективности использования средств федерального бюджета, направляемых на капитальные вложения, предусмотренные
Правилами проведения проверки инвестиционных проектов на предмет эффективности использования средств федерального бюджета, направляемых на капитальные вложения, утвержденными постановлением Правительства Российской Федерации от 15 марта 2023 г. N 399 "О случаях и порядке проведения проверки инвестиционных проектов на предмет эффективности использования средств федерального бюджета, направляемых на капитальные вложения, о внесении изменений в некоторые акты Правительства Российской Федерации, приостановлении действия постановления Правительства Российской Федерации от 12 августа 2008 г. N 590 и отдельных положений некоторых актов Правительства Российской Федерации, а также признании утратившими силу некоторых актов и отдельных положений некоторых актов Правительства Российской Федерации", - в случаях, определенных указанным постановлением;
паспорт инвестиционного проекта по
форме, утвержденной Министерством строительства и жилищно-коммунального хозяйства Российской Федерации, в случае строительства объекта капитального строительства в соответствии с инвестиционным проектом;
(в ред. Постановлений Правительства РФ от 05.08.2024
N 1053, от 30.11.2024
N 1699)
копии правоустанавливающих документов на земельный участок;
копия утвержденного задания на проектирование (в случае, если при реализации мероприятий по строительству объектов капитального строительства на разработку проектной документации предоставляются средства федерального бюджета).
| | ИС МЕГАНОРМ: примечание. Постановлением Правительства РФ от 09.12.2022 N 2272 в абз. 14 п. 5 данного документа вносятся изменения с 01.01.2023. Указанные изменения не могут быть учтены в редакции поскольку данная норма отменена Постановлением Правительства РФ от 02.12.2022 N 2214 с 14.12.2022. | |
Абзацы тринадцатый - четырнадцатый утратили силу. -
Постановление Правительства РФ от 02.12.2022 N 2214.
5(1) - 5(2). Утратили силу. -
Постановление Правительства РФ от 02.12.2022 N 2214.
6. Субсидии из федерального бюджета предоставляются при соблюдении субъектом Российской Федерации и г. Байконуром следующих условий:
а) наличие утвержденной нормативным правовым актом субъекта Российской Федерации и г. Байконура государственной программы, направленной на реализацию мероприятий, указанных в
пункте 2 настоящих Правил, при реализации которых возникают расходные обязательства субъекта Российской Федерации и г. Байконура, в целях софинансирования которых предоставляется субсидия из федерального бюджета, содержащей в том числе адресный перечень территорий, нуждающихся в благоустройстве и подлежащих благоустройству в году предоставления субсидии;
(в ред. Постановлений Правительства РФ от 08.10.2020
N 1630, от 02.12.2022
N 2214, от 30.11.2023
N 2034)
б) наличие в бюджете субъекта Российской Федерации и бюджете г. Байконура бюджетных ассигнований на исполнение расходного обязательства субъекта Российской Федерации и расходного обязательства г. Байконура по финансовому обеспечению мероприятий, указанных в
пункте 2 настоящих Правил, софинансирование которых осуществляется из федерального бюджета, в объеме, необходимом для его исполнения, включающем размер планируемой к предоставлению субсидии из федерального бюджета;
в) заключение соглашения между Министерством строительства и жилищно-коммунального хозяйства Российской Федерации, высшим исполнительным органом субъекта Российской Федерации и главой администрации г. Байконура о предоставлении субсидии из федерального бюджета в соответствии с
пунктом 10 Правил формирования, предоставления и распределения субсидий из федерального бюджета бюджетам субъектов Российской Федерации, утвержденных постановлением Правительства Российской Федерации от 30 сентября 2014 г. N 999 "О формировании, предоставлении и распределении субсидий из федерального бюджета бюджетам субъектов Российской Федерации" (далее соответственно - соглашение о предоставлении субсидии из федерального бюджета, Правила предоставления субсидий).
(в ред. Постановлений Правительства РФ от 07.05.2019
N 567, от 02.12.2022
N 2214, от 09.12.2022
N 2272, от 30.11.2023
N 2034)
7. Предоставление субсидий из федерального бюджета осуществляется на основании соглашения о предоставлении субсидии из федерального бюджета, заключаемого в государственной интегрированной информационной системе управления общественными финансами "Электронный бюджет" в соответствии с
типовой формой, утвержденной Министерством финансов Российской Федерации.
Содержание соглашения о предоставлении субсидии из федерального бюджета должно соответствовать требованиям, установленным
пунктом 10 Правил предоставления субсидий, а также включать следующие положения:
а) обязательства субъекта Российской Федерации (за исключением субъектов Российской Федерации, указанных в
подпункте "б" настоящего пункта):
завершить в полном объеме реализацию мероприятий государственной программы, соответствующей в том числе требованиям, предусмотренным
пунктом 9 настоящих Правил, в установленные в ней сроки;
осуществлять контроль за реализацией органами местного самоуправления поселений, в состав которых входят населенные пункты с численностью населения свыше 1000 человек, муниципальных программ, утвержденных в соответствии с требованиями, предусмотренными
пунктом 11 настоящих Правил;
обеспечить благоустройство дворовых территорий, нуждающихся в благоустройстве (с учетом их физического состояния), исходя из минимального перечня видов работ по благоустройству дворовых территорий (ремонт дворовых проездов, обеспечение освещения дворовых территорий, установка скамеек, урн, иные виды работ, определенные уполномоченным органом государственной власти субъекта Российской Федерации), софинансируемых за счет средств, полученных субъектом Российской Федерации в качестве субсидии из федерального бюджета (далее - минимальный перечень работ по благоустройству), а также общественных территорий, нуждающихся в благоустройстве;
представлять не позднее 1 декабря текущего финансового года в Министерство строительства и жилищно-коммунального хозяйства Российской Федерации на конкурс по отбору лучших практик (проектов) по благоустройству не менее 2 реализованных в таком году проектов по благоустройству общественных территорий;
обеспечить осуществление контроля за ходом выполнения государственной программы и муниципальных программ, в том числе за ходом реализации конкретных мероприятий в рамках указанных программ, а также предварительное рассмотрение и согласование отчетов муниципальных образований о реализации муниципальных программ, отчетов об исполнении государственной программы, направляемых в Министерство строительства и жилищно-коммунального хозяйства Российской Федерации, межведомственной комиссией под руководством высшего должностного лица субъекта Российской Федерации, созданной в соответствии с
постановлением Правительства Российской Федерации от 10 февраля 2017 г. N 169 "Об утверждении Правил предоставления и распределения субсидий из федерального бюджета бюджетам субъектов Российской Федерации на поддержку государственных программ субъектов Российской Федерации и муниципальных программ формирования современной городской среды" (далее - постановление Правительства Российской Федерации от 10 февраля 2017 г. N 169, межведомственная комиссия);
обеспечить проведение органами местного самоуправления работ по образованию земельных участков, на которых расположены многоквартирные дома, в целях софинансирования работ по благоустройству дворовых территорий которых бюджету субъекта Российской Федерации предоставляется субсидия из федерального бюджета;
обеспечить размещение в государственной информационной системе жилищно-коммунального хозяйства информации о реализации федерального проекта на территории субъекта Российской Федерации с учетом методических рекомендаций о размещении информации в государственной информационной системе жилищно-коммунального хозяйства, утверждаемых Министерством строительства и жилищно-коммунального хозяйства Российской Федерации;
обеспечить реализацию мероприятий по созданию на территории субъекта Российской Федерации, муниципальных образований - получателей субсидии из бюджетов субъектов Российской Федерации условий для привлечения добровольцев (волонтеров) к участию в реализации мероприятий, предусмотренных
пунктом 2 настоящих Правил;
выполнять иные обязательства, связанные с обеспечением реализации мероприятий в рамках государственных программ и муниципальных программ;
обеспечить обязательное размещение органами местного самоуправления в информационно-телекоммуникационной сети "Интернет" государственных, муниципальных программ и иных материалов по вопросам формирования комфортной городской среды, которые выносятся на общественное обсуждение, и результатов этих обсуждений, а также возможность направления гражданами своих предложений в электронной форме;
обеспечить проведение голосования по отбору общественных территорий, подлежащих благоустройству в рамках реализации муниципальных программ (далее - голосование по отбору общественных территорий), в электронной форме в информационно-телекоммуникационной сети "Интернет", в том числе с использованием платформы по голосованию за объекты благоустройства;
обеспечить с начала выполнения работ по благоустройству общественных территорий и дворовых территорий установку информационных конструкций (щитов, стендов), содержащих информацию о том, что работы выполняются (выполнены) в рамках реализации федерального проекта;
б) обязательства субъекта Российской Федерации (в отношении г. Севастополя, а также субъектов Российской Федерации, уровень расчетной бюджетной обеспеченности которых более 1 и которые в рамках государственных программ полностью или частично осуществляют реализацию мероприятий по благоустройству без предоставления субсидий из бюджетов субъектов Российской Федерации на реализацию муниципальных программ):
завершить в полном объеме реализацию мероприятий государственной программы, соответствующей в том числе требованиям, предусмотренным
пунктом 9 настоящих Правил, в установленные в ней сроки;
обеспечить благоустройство дворовых территорий, нуждающихся в благоустройстве (с учетом их физического состояния), исходя из минимального перечня работ по благоустройству, а также общественных территорий, нуждающихся в благоустройстве;
представлять не позднее 1 декабря текущего финансового года в Министерство строительства и жилищно-коммунального хозяйства Российской Федерации на конкурс по отбору лучших практик (проектов) по благоустройству не менее 2 реализованных в таком году проектов по благоустройству общественных территорий;
обеспечить проведение органами местного самоуправления работ по образованию земельных участков, на которых расположены многоквартирные дома, в целях софинансирования дворовых территорий работ по благоустройству которых бюджету субъекта Российской Федерации предоставляется субсидия из федерального бюджета;
обеспечить размещение в государственной информационной системе жилищно-коммунального хозяйства информации о реализации федерального проекта на территории субъекта Российской Федерации с учетом методических рекомендаций о размещении информации в государственной информационной системе жилищно-коммунального хозяйства, утверждаемых Министерством строительства и жилищно-коммунального хозяйства Российской Федерации;
обеспечить осуществление контроля за ходом выполнения государственной программы, в том числе за ходом реализации конкретных мероприятий в рамках государственной программы, а также предварительного рассмотрения и согласования межведомственной комиссией отчетов об исполнении государственной программы, направляемых в Министерство строительства и жилищно-коммунального хозяйства Российской Федерации;
обеспечить реализацию мероприятий по созданию на территории субъекта Российской Федерации условий для привлечения добровольцев (волонтеров) к участию в реализации мероприятий, предусмотренных
пунктом 2 настоящих Правил;
выполнять иные обязательства, связанные с обеспечением реализации мероприятий по благоустройству в рамках государственных программ;
обеспечить обязательное размещение органами местного самоуправления в информационно-телекоммуникационной сети "Интернет" государственных муниципальных программ и иных материалов по вопросам формирования комфортной городской среды, которые выносятся на общественное обсуждение, и результатов этих обсуждений, а также возможность направления гражданами своих предложений в электронной форме;
обеспечить проведение голосования по отбору общественных территорий в электронной форме в информационно-телекоммуникационной сети "Интернет", в том числе с использованием платформы по голосованию за объекты благоустройства;
обеспечить с начала выполнения работ по благоустройству общественных территорий и дворовых территорий установку информационных конструкций (щитов, стендов), содержащих информацию о том, что работы выполняются (выполнены) в рамках реализации федерального проекта;
в) обязательства г. Байконура:
принять не позднее 1 марта 2024 г. нормативный правовой акт г. Байконура о создании межведомственной комиссии под руководством главы администрации г. Байконура, в состав которой включаются представители заинтересованных структурных подразделений администрации г. Байконура, общественных организаций и иные лица (далее - межведомственная комиссия г. Байконура), в целях осуществления контроля за ходом выполнения государственной программы и ее координации, в том числе за ходом реализации конкретных мероприятий в рамках государственной программы, а также предварительного рассмотрения и согласования отчетов об исполнении государственной программы, направляемых в Министерство строительства и жилищно-коммунального хозяйства Российской Федерации;
обеспечить осуществление контроля за ходом выполнения государственной программы, в том числе за ходом реализации конкретных мероприятий в рамках государственной программы, а также предварительное рассмотрение и согласование межведомственной комиссией г. Байконура отчетов об исполнении государственной программы, направляемых в Министерство строительства и жилищно-коммунального хозяйства Российской Федерации;
завершить в полном объеме реализацию мероприятий государственной программы, соответствующей в том числе требованиям, предусмотренным
пунктом 9(2) настоящих Правил, в установленные в ней сроки;
представлять не позднее 1 декабря текущего финансового года в Министерство строительства и жилищно-коммунального хозяйства Российской Федерации на конкурс по отбору лучших практик (проектов) по благоустройству не менее 2 реализованных в таком году проектов по благоустройству общественных территорий;
обеспечить реализацию мероприятий по созданию на территории г. Байконура условий для привлечения добровольцев (волонтеров) к участию в реализации мероприятий, предусмотренных
пунктом 2 настоящих Правил;
выполнять иные обязательства, связанные с обеспечением реализации мероприятий в рамках государственной программы;
обеспечить обязательное размещение в информационно-телекоммуникационной сети "Интернет" государственной программы и иных материалов по вопросам формирования комфортной городской среды, которые выносятся на общественное обсуждение, и результатов этих обсуждений, а также возможность направления гражданами своих предложений в электронной форме;
обеспечить проведение голосования по отбору общественных территорий в электронной форме в информационно-телекоммуникационной сети "Интернет", в том числе с использованием платформы по голосованию за объекты благоустройства;
обеспечить с начала выполнения работ по благоустройству общественных территорий установку информационных конструкций (щитов, стендов), содержащих информацию о том, что работы выполняются (выполнены) в рамках реализации федерального проекта.
8. Правила предоставления и распределения субсидий из бюджета субъекта Российской Федерации местным бюджетам, включаемые в государственную программу, должны предусматривать в том числе:
а) распределение или методику распределения субсидии из бюджета субъекта Российской Федерации всем или отдельным муниципальным образованиям исходя из установленных субъектом Российской Федерации критериев, в том числе с учетом предоставления приоритета муниципальным образованиям, реализующим мероприятия по благоустройству общественных территорий, дворовых территорий в опорных населенных пунктах, на базе которых обеспечивается ускоренное развитие инфраструктуры, обеспечивающей реализацию гарантий в сфере образования, доступность медицинской помощи, услуг в сфере культуры и реализацию иных потребностей населения территории одного или нескольких муниципальных образований, и муниципальным образованиям, в муниципальные программы которых включены комплексные проекты благоустройства общественных территорий, предусматривающие использование различных элементов благоустройства, а также функциональное разнообразие объекта благоустройства в целях обеспечения привлекательности общественной территории для разных групп населения;
(пп. "а" в ред.
Постановления Правительства РФ от 30.11.2024 N 1699)
б) ежегодное включение в перечень муниципальных образований - получателей субсидии из бюджета субъекта Российской Федерации в обязательном порядке муниципальных образований - административных центров субъектов Российской Федерации, а в случае наличия таковых на территории субъекта Российской Федерации - муниципальных образований, имеющих статус наукограда Российской Федерации, муниципальных образований, на территории которых реализуются предусмотренные
пунктом 1 настоящих Правил мероприятия, направленные на исполнение поручений Президента Российской Федерации и Председателя Правительства Российской Федерации;
(в ред. Постановлений Правительства РФ от 30.11.2024
N 1699, от 24.03.2025
N 350)
б(1)) утратил силу. -
Постановление Правительства РФ от 02.12.2022 N 2214;
в) минимальный перечень работ по благоустройству. При этом расходные обязательства субъекта Российской Федерации по предоставлению субсидий из бюджета субъекта Российской Федерации в целях софинансирования работ по благоустройству дворовых территорий софинансируются из федерального бюджета при наличии решения собственников помещений в многоквартирном доме, дворовая территория которого благоустраивается, о принятии созданного в результате благоустройства имущества в состав общего имущества многоквартирного дома;
г) перечень дополнительных видов работ по благоустройству дворовых территорий, в целях софинансирования которых бюджету субъекта Российской Федерации предоставляются субсидии из федерального бюджета (далее - дополнительный перечень работ по благоустройству), в случае принятия субъектом Российской Федерации решения об установлении такого перечня. При этом расходные обязательства субъекта Российской Федерации по предоставлению субсидий из бюджета субъекта Российской Федерации в целях софинансирования работ по благоустройству дворовых территорий в соответствии с дополнительным перечнем работ по благоустройству софинансируются из федерального бюджета:
при наличии решения собственников помещений в многоквартирном доме, дворовая территория которого благоустраивается, о принятии созданного в результате благоустройства имущества в состав общего имущества многоквартирного дома;
при софинансировании собственниками помещений многоквартирного дома работ по благоустройству дворовых территорий в размере не менее 20 процентов стоимости выполнения таких работ. Такое условие распространяется на дворовые территории, включенные в соответствующую программу после вступления в силу
постановления Правительства Российской Федерации от 9 февраля 2019 г. N 106 "О внесении изменений в приложение N 15 к государственной программе Российской Федерации "Обеспечение доступным и комфортным жильем и коммунальными услугами граждан Российской Федерации";
д) ежегодное проведение органами местного самоуправления муниципальных образований с численностью населения свыше 20 тыс. человек голосования по отбору общественных территорий, подлежащих благоустройству в рамках реализации муниципальных программ в год, следующий за годом проведения такого голосования, в порядке, установленном правовым актом субъекта Российской Федерации, принятым не позднее 12 февраля 2019 г.:
(в ред.
Постановления Правительства РФ от 08.10.2020 N 1630 (ред. 29.12.2020))
с учетом завершения мероприятий по благоустройству общественных территорий, включенных в муниципальные программы в 2019 году по результатам голосования по отбору общественных территорий, проведенного в 2018 году;
с учетом завершения мероприятий по благоустройству общественных территорий, включенных в муниципальные программы, отобранных по результатам голосования по отбору общественных территорий, проведенного в году, предшествующем году реализации указанных мероприятий;
е) условия о форме участия (финансовое и (или) трудовое) собственников помещений в многоквартирных домах, собственников иных зданий и сооружений, расположенных в границах дворовой территории, подлежащей благоустройству (далее - заинтересованные лица), в реализации мероприятий по благоустройству дворовой территории в рамках минимального перечня работ по благоустройству, в том числе о доле такого участия, в отношении муниципальных образований - получателей субсидий из бюджета субъекта Российской Федерации, определенные с учетом
методических рекомендаций по подготовке государственных и муниципальных программ, утверждаемых Министерством строительства и жилищно-коммунального хозяйства Российской Федерации, в случае принятия субъектом Российской Федерации решения об определении указанных условий либо принятия уполномоченным исполнительным органом субъекта Российской Федерации решения о предоставлении полномочий органам местного самоуправления по определению таких условий в муниципальных программах. При этом при выборе формы финансового участия заинтересованных лиц в реализации мероприятий по благоустройству дворовой территории в рамках минимального перечня работ по благоустройству доля участия определяется как процент стоимости мероприятий по благоустройству дворовой территории;
ж) условия о финансовом участии заинтересованных лиц в реализации мероприятий по благоустройству дворовых территорий в рамках дополнительного перечня работ по благоустройству в случае принятия субъектом Российской Федерации решения об определении указанного перечня, в том числе о доле такого участия, в отношении муниципальных образований - получателей субсидий из бюджета субъекта Российской Федерации, определенные с учетом методических рекомендаций по подготовке государственных и муниципальных программ, утверждаемых Министерством строительства и жилищно-коммунального хозяйства Российской Федерации, либо о принятии решения о предоставлении полномочий органам местного самоуправления по определению таких условий в муниципальных программах. При этом при выборе формы финансового участия заинтересованных лиц в реализации мероприятий по благоустройству дворовых территорий в рамках дополнительного перечня работ по благоустройству доля участия определяется как процент стоимости мероприятий по благоустройству дворовой территории;
з) обязательства муниципальных образований - получателей субсидий из бюджета субъекта Российской Федерации, предусмотренные в том числе
пунктом 10 настоящих Правил;
и) включение в соглашение между субъектом Российской Федерации и органом местного самоуправления муниципального образования о предоставлении субсидии из бюджета субъекта Российской Федерации рекомендации главе местной администрации обеспечить привлечение к выполнению работ по благоустройству дворовых территорий студенческих строительных отрядов;
к) включение в соглашение между субъектом Российской Федерации и органом местного самоуправления муниципального образования о предоставлении субсидии из бюджета субъекта Российской Федерации условия об обязательном установлении минимального 3-летнего гарантийного срока на результаты выполненных работ по благоустройству дворовых и общественных территорий, софинансируемых за счет средств субсидии из бюджета субъекта Российской Федерации, а также условия о предельной дате заключения соглашений по результатам закупки товаров, работ и услуг для обеспечения муниципальных нужд в целях реализации муниципальных программ - 1 апреля года предоставления субсидии, за исключением:
случаев обжалования действий (бездействия) заказчика и (или) комиссии по осуществлению закупок и (или) оператора электронной площадки при осуществлении закупки товаров, работ, услуг в порядке, установленном законодательством Российской Федерации, при которых срок заключения таких соглашений продлевается на срок указанного обжалования;
случаев проведения повторного конкурса или новой закупки, если конкурс признан не состоявшимся по основаниям, предусмотренным законодательством Российской Федерации, при которых срок заключения таких соглашений продлевается на срок проведения конкурсных процедур;
случаев заключения таких соглашений в пределах экономии средств при расходовании субсидии в целях реализации муниципальных программ, при которых срок заключения таких соглашений продлевается на срок до 15 декабря года предоставления субсидии);
(пп. "к" в ред.
Постановления Правительства РФ от 30.11.2019 N 1546)
л) порядок осуществления расходов местных бюджетов, связанных с выполнением работ по благоустройству дворовых территорий, софинансирование которых осуществляется из бюджетов субъектов Российской Федерации. При этом указанный порядок должен предусматривать возможность осуществления расходов местного бюджета, софинансируемых из бюджета субъекта Российской Федерации:
путем предоставления субсидий из бюджета субъекта Российской Федерации бюджетным и автономным учреждениям, в том числе субсидии на финансовое обеспечение выполнения ими государственного (муниципального) задания;
путем закупки товаров, работ и услуг для обеспечения государственных (муниципальных) нужд (за исключением бюджетных ассигнований для обеспечения выполнения функций казенного учреждения и бюджетных ассигнований на осуществление бюджетных инвестиций в объекты государственной (муниципальной) собственности казенных учреждений);
путем предоставления субсидий юридическим лицам (за исключением субсидий государственным (муниципальным) учреждениям), индивидуальным предпринимателям, физическим лицам на возмещение затрат на выполнение работ по благоустройству дворовых территорий (в случае если дворовая территория образована земельными участками, находящимися полностью или частично в частной собственности);
м) порядок и условия возврата субсидии из бюджета субъекта Российской Федерации муниципальным образованием - получателем субсидии из бюджета субъекта Российской Федерации;
н) актуализацию государственных программ и муниципальных программ по результатам проведения голосования по отбору общественных территорий, а также продление срока их действия на срок реализации федерального проекта.
9. Государственная программа (за исключением случая, указанного в
пункте 9(2) настоящих Правил) должна предусматривать в том числе:
а) реализацию мероприятий по благоустройству в обязательном порядке территорий муниципальных образований - обязательных получателей субсидий из бюджета субъекта Российской Федерации;
б) минимальный перечень работ по благоустройству. При этом расходные обязательства субъекта Российской Федерации по предоставлению субсидий из бюджета субъекта Российской Федерации в целях софинансирования работ по благоустройству дворовых территорий софинансируются из федерального бюджета при наличии решения собственников помещений в многоквартирном доме, дворовая территория которого благоустраивается, о принятии созданного в результате благоустройства имущества в состав общего имущества многоквартирного дома;
в) дополнительный перечень работ по благоустройству в случае принятия субъектом Российской Федерации решения об установлении такого перечня. При этом расходные обязательства субъекта Российской Федерации по предоставлению субсидий из бюджета субъекта Российской Федерации в целях софинансирования работ по благоустройству дворовых территорий в соответствии с дополнительным перечнем работ по благоустройству софинансируются из федерального бюджета:
при наличии решения собственников помещений в многоквартирном доме, дворовая территория которого благоустраивается, о принятии созданного в результате благоустройства имущества в состав общего имущества многоквартирного дома;
при софинансировании собственниками помещений многоквартирного дома работ по благоустройству дворовых территорий в размере не менее 20 процентов стоимости выполнения работ. Данное условие распространяется на дворовые территории, включенные в соответствующую программу после вступления в силу
постановления Правительства Российской Федерации от 9 февраля 2019 г. N 106 "О внесении изменений в приложение N 15 к государственной программе Российской Федерации "Обеспечение доступным и комфортным жильем и коммунальными услугами граждан Российской Федерации";
г) условия о форме участия (финансовое и (или) трудовое) заинтересованных лиц в реализации мероприятий по благоустройству дворовой территории в рамках минимального перечня работ по благоустройству, в том числе о доле такого участия, в отношении муниципальных образований - получателей субсидий из бюджета субъекта Российской Федерации, определенные с учетом
методических рекомендаций по подготовке государственных и муниципальных программ, утверждаемых Министерством строительства и жилищно-коммунального хозяйства Российской Федерации, в случае принятия субъектом Российской Федерации решения об определении указанных условий. При этом при выборе формы финансового участия заинтересованных лиц в реализации мероприятий по благоустройству дворовой территории в рамках минимального перечня работ по благоустройству доля участия определяется как процент стоимости мероприятий по благоустройству дворовой территории;
д) условия о форме участия (финансовое и (или) трудовое) заинтересованных лиц в реализации мероприятий по благоустройству дворовых территорий в рамках дополнительного перечня работ по благоустройству в отношении муниципальных образований - получателей субсидий из бюджета субъекта Российской Федерации, определенные с учетом методических рекомендаций по подготовке государственных и муниципальных программ, утверждаемых Министерством строительства и жилищно-коммунального хозяйства Российской Федерации. При этом при выборе формы финансового участия заинтересованных лиц в реализации мероприятий по благоустройству дворовой территории в рамках дополнительного перечня работ по благоустройству доля участия определяется как процент стоимости мероприятий по благоустройству дворовой территории;
е) адресный перечень дворовых территорий, нуждающихся в благоустройстве (с учетом их физического состояния) и подлежащих благоустройству в указанный период исходя из минимального перечня работ по благоустройству (очередность благоустройства определяется в порядке поступления предложений заинтересованных лиц об их участии в выполнении указанных работ). Физическое состояние дворовой территории и необходимость ее благоустройства определяются по результатам инвентаризации дворовой территории, проведенной в порядке, установленном нормативным правовым актом субъекта Российской Федерации. В указанный адресный перечень включаются дворовые территории, благоустройство которых планируется осуществлять за счет средств субсидии из федерального бюджета, а также за счет средств бюджета субъекта Российской Федерации, местных бюджетов и внебюджетных источников, отобранные в том числе в рамках поддержки инициатив по внесению в местную администрацию направленных на благоустройство территории муниципального образования инициативных проектов в соответствии со
статьей 26(1) Федерального закона "Об общих принципах организации местного самоуправления в Российской Федерации" (далее - инициативный проект);
ж) адресный перечень общественных территорий, нуждающихся в благоустройстве (с учетом их физического состояния) и подлежащих благоустройству в указанный период. Физическое состояние общественной территории и необходимость ее благоустройства определяются по результатам инвентаризации общественной территории, проведенной в порядке, установленном нормативным правовым актом субъекта Российской Федерации. В указанный адресный перечень включаются общественные территории, благоустройство которых планируется осуществлять за счет средств субсидии из федерального бюджета, а также за счет средств бюджета субъекта Российской Федерации, местных бюджетов и внебюджетных источников, отобранные в том числе по результатам голосования по отбору общественных территорий и в рамках реализации инициативных проектов;
з) адресный перечень объектов недвижимого имущества (включая объекты незавершенного строительства) и земельных участков, находящихся в собственности (пользовании) юридических лиц и индивидуальных предпринимателей, которые подлежат благоустройству не позднее последнего года реализации федерального проекта за счет средств указанных лиц в соответствии с требованиями утвержденных в муниципальном образовании правил благоустройства территории;
и) мероприятия по инвентаризации уровня благоустройства индивидуальных жилых домов и земельных участков, предоставленных для их размещения, с заключением по результатам инвентаризации соглашений с собственниками (пользователями) указанных домов (собственниками (пользователями) земельных участков) об их благоустройстве не позднее последнего года реализации федерального проекта в соответствии с требованиями утвержденных в муниципальном образовании правил благоустройства территории и порядок проведения такой инвентаризации;
к) порядок осуществления расходов, связанных с выполнением работ по благоустройству дворовых территорий. При этом указанный порядок должен предусматривать возможность осуществления расходов бюджетов субъектов Российской Федерации, софинансирование которых осуществляется из федерального бюджета:
путем предоставления субсидий из бюджета субъекта Российской Федерации бюджетным и автономным учреждениям, включая субсидии на финансовое обеспечение выполнения ими государственного (муниципального) задания;
путем закупки товаров, работ и услуг для обеспечения государственных (муниципальных) нужд (за исключением бюджетных ассигнований для обеспечения выполнения функций казенного учреждения и бюджетных ассигнований на осуществление бюджетных инвестиций в объекты государственной (муниципальной) собственности казенных учреждений);
путем предоставления субсидий юридическим лицам (за исключением субсидий государственным (муниципальным) учреждениям), индивидуальным предпринимателям, физическим лицам на возмещение затрат по выполнению работ по благоустройству дворовых территорий (в случае если дворовая территория образована земельными участками, находящимися полностью или частично в частной собственности);
л) порядок информирования граждан о ходе выполнения государственной программы и муниципальных программ, в том числе о ходе реализации конкретных мероприятий по благоустройству общественных территорий и дворовых территорий в рамках указанных программ.
9(1). Утратил силу с 1 января 2025 года. -
Постановление Правительства РФ от 30.11.2024 N 1699.
9(2). Государственная программа, направленная на формирование современной городской среды г. Байконура, должна предусматривать в том числе:
а) реализацию мероприятий по благоустройству общественных территорий;
б) адресный перечень общественных территорий, нуждающихся в благоустройстве (с учетом их физического состояния) и подлежащих благоустройству в указанный период. Физическое состояние общественной территории и необходимость ее благоустройства определяются по результатам инвентаризации общественной территории, проведенной в порядке, установленном нормативным правовым актом г. Байконура. В указанный адресный перечень включаются общественные территории, благоустройство которых планируется осуществлять за счет средств субсидии из федерального бюджета, а также за счет средств бюджета г. Байконура и внебюджетных источников, отобранные в том числе по результатам голосования по отбору общественных территорий и в рамках реализации инициативных проектов;
в) порядок информирования граждан о ходе выполнения государственной программы, в том числе о ходе реализации конкретных мероприятий по благоустройству общественных территорий в рамках государственной программы.
10. В правила предоставления и распределения субсидий из бюджета субъекта Российской Федерации, предусмотренные
пунктом 8 настоящих Правил, включаются в том числе обязательства муниципальных образований - получателей субсидий из бюджета субъекта Российской Федерации по обеспечению:
а) проведения общественных обсуждений проектов муниципальных программ, в том числе при внесении в них изменений, в части определения перечня общественных территорий и дворовых территорий, нуждающихся в благоустройстве и подлежащих благоустройству в рамках реализации муниципальной программы, в том числе в электронной форме в информационно-телекоммуникационной сети "Интернет" (срок обсуждения - не менее 30 календарных дней со дня опубликования таких проектов муниципальных программ), а также с использованием платформы по голосованию за объекты благоустройства;
(пп. "а" в ред.
Постановления Правительства РФ от 02.12.2022 N 2214)
б) учета предложений заинтересованных лиц о включении дворовой территории, общественной территории в муниципальную программу, в том числе предложений таких лиц о включении в муниципальную программу инициативных проектов;
в) осуществления контроля за ходом выполнения муниципальной программы общественной комиссией, созданной в соответствии с
постановлением Правительства Российской Федерации от 10 февраля 2017 г. N 169, включая проведение оценки предложений заинтересованных лиц;
в(1)) размещения в информационно-телекоммуникационной сети "Интернет" документов о составе общественной комиссии, созданной в соответствии с
постановлением Правительства Российской Федерации от 10 февраля 2017 г. N 169, протоколов и графиков заседаний указанной общественной комиссии;
(пп. "в(1)" введен
Постановлением Правительства РФ от 08.10.2020 N 1630)
г) включения в соглашение, заключаемое субъектом Российской Федерации и органом местного самоуправления муниципального образования, о предоставлении субсидии из бюджета субъекта Российской Федерации условия об обязательном установлении минимального 3-летнего гарантийного срока на результаты выполненных работ по благоустройству дворовых и общественных территорий, софинансируемых за счет средств субсидии из бюджета субъекта Российской Федерации, а также условия о предельной дате заключения соглашений по результатам закупки товаров, работ и услуг для обеспечения муниципальных нужд в целях реализации муниципальных программ - 1 апреля года предоставления субсидии, за исключением:
случаев обжалования действий (бездействия) заказчика и (или) комиссии по осуществлению закупок и (или) оператора электронной площадки при осуществлении закупки товаров, работ, услуг в порядке, установленном законодательством Российской Федерации, при которых срок заключения таких соглашений продлевается на срок указанного обжалования;
случаев проведения повторного конкурса или новой закупки, если конкурс признан не состоявшимся по основаниям, предусмотренным законодательством Российской Федерации, при которых срок заключения таких соглашений продлевается на срок проведения конкурсных процедур;
случаев заключения таких соглашений в пределах экономии средств при расходовании субсидии в целях реализации муниципальных программ, при которых срок заключения таких соглашений продлевается на срок до 15 декабря года предоставления субсидии);
(пп. "г" в ред.
Постановления Правительства РФ от 30.11.2019 N 1546)
д) синхронизации реализации мероприятий в рамках муниципальной программы с реализуемыми в муниципальных образованиях мероприятиями в сфере обеспечения доступности городской среды для маломобильных групп населения, цифровизации городского хозяйства, а также мероприятиями в рамках национальных проектов "Демография", "Образование", "Экология", "Безопасные и качественные автомобильные дороги", "Культура", "Малое и среднее предпринимательство и поддержка индивидуальной предпринимательской инициативы" в соответствии с перечнем таких мероприятий и
методическими рекомендациями по синхронизации мероприятий в рамках государственных и муниципальных программ, утверждаемыми Министерством строительства и жилищно-коммунального хозяйства Российской Федерации;
е) синхронизации выполнения работ в рамках муниципальной программы с реализуемыми в муниципальных образованиях федеральными, региональными и муниципальными программами (планами) строительства (реконструкции, ремонта) объектов недвижимого имущества, программами по ремонту и модернизации инженерных сетей и иных объектов, расположенных на соответствующей территории;
ж) проведения мероприятий по благоустройству дворовых территорий, общественных территорий с учетом необходимости обеспечения физической, пространственной и информационной доступности зданий, сооружений, дворовых и общественных территорий для инвалидов и других маломобильных групп населения;
з) актуализации муниципальных программ по результатам рассмотрения в соответствии с законодательством Российской Федерации инициативных проектов, проведения голосования по отбору общественных территорий и продления срока их действия на срок реализации федерального проекта;
и) проведения голосования по отбору общественных территорий с учетом положений настоящих Правил;
к) с начала выполнения работ по благоустройству общественных территорий и дворовых территорий, установки информационных конструкций (щитов, стендов), содержащих информацию о том, что работы выполняются (выполнены) в рамках реализации федерального проекта.
11. Муниципальная программа должна предусматривать:
а) адресный перечень дворовых территорий, нуждающихся в благоустройстве (с учетом их физического состояния) и подлежащих благоустройству в указанный период исходя из минимального перечня работ по благоустройству (очередность благоустройства определяется в порядке поступления предложений заинтересованных лиц об их участии в выполнении указанных работ). Физическое состояние дворовой территории и необходимость ее благоустройства определяются по результатам инвентаризации дворовой территории, проведенной в порядке, установленном нормативным правовым актом субъекта Российской Федерации. В указанный адресный перечень включаются дворовые территории, благоустройство которых планируется осуществлять за счет средств субсидии из федерального бюджета, а также за счет средств бюджета субъекта Российской Федерации, местного бюджета и внебюджетных источников, отобранные в том числе в рамках реализации инициативных проектов;
б) адресный перечень всех общественных территорий, нуждающихся в благоустройстве (с учетом их физического состояния общественной территории) и подлежащих благоустройству в указанный период. Физическое состояние общественной территории и необходимость ее благоустройства определяются по результатам инвентаризации общественной территории, проведенной в порядке, установленном нормативным правовым актом субъекта Российской Федерации. В указанный адресный перечень включаются общественные территории, благоустройство которых планируется осуществлять за счет средств субсидии из федерального бюджета, а также за счет средств бюджета субъекта Российской Федерации, местного бюджета и внебюджетных источников, отобранные в том числе по результатам голосования по отбору общественных территорий и в рамках реализации инициативных проектов;
в) адресный перечень объектов недвижимого имущества (включая объекты незавершенного строительства) и земельных участков, находящихся в собственности (пользовании) юридических лиц и индивидуальных предпринимателей, которые подлежат благоустройству не позднее последнего года реализации федерального проекта за счет средств указанных лиц в соответствии с требованиями утвержденных в муниципальном образовании правил благоустройства территории;
г) мероприятия по инвентаризации уровня благоустройства индивидуальных жилых домов и земельных участков, предоставленных для их размещения, с заключением по результатам инвентаризации соглашений с собственниками (пользователями) указанных домов (собственниками (пользователями) земельных участков) об их благоустройстве не позднее последнего года реализации федерального проекта в соответствии с требованиями утвержденных в муниципальном образовании правил благоустройства;
д) иные мероприятия по благоустройству, определенные органом местного самоуправления;
е) информацию о форме участия (финансовое и (или) трудовое) и доле участия заинтересованных лиц в выполнении минимального перечня работ по благоустройству дворовых территорий (в случае если субъектом Российской Федерации принято решение об определении условий такого участия);
ж) информацию о форме участия (финансовое и (или) трудовое) и доле участия заинтересованных лиц в выполнении дополнительного перечня работ по благоустройству дворовых территорий, которые установлены субъектом Российской Федерации;
з) право муниципального образования исключать из адресного перечня дворовых и общественных территорий, подлежащих благоустройству в рамках реализации муниципальной программы, территории, расположенные вблизи многоквартирных домов, физический износ основных конструктивных элементов (крыша, стены, фундамент) которых превышает 70 процентов, а также территории, которые планируются к изъятию для муниципальных или государственных нужд в соответствии с генеральным планом соответствующего поселения при условии одобрения решения об исключении указанных территорий из адресного перечня дворовых территорий и общественных территорий межведомственной комиссией в порядке, установленном такой комиссией;
и) право муниципального образования исключать из адресного перечня дворовых территорий, подлежащих благоустройству в рамках реализации муниципальной программы, дворовые территории, собственники помещений многоквартирных домов которых приняли решение об отказе от благоустройства дворовой территории в рамках реализации соответствующей программы или не приняли решения о благоустройстве дворовой территории в сроки, установленные соответствующей программой. При этом исключение дворовой территории из перечня дворовых территорий, подлежащих благоустройству в рамках реализации муниципальной программы, возможно только при условии одобрения соответствующего решения муниципального образования межведомственной комиссией в порядке, установленном такой комиссией;
к) мероприятия по проведению работ по образованию земельных участков, на которых расположены многоквартирные дома, работы по благоустройству дворовых территорий которых софинансируются из бюджета субъекта Российской Федерации;
л) условие о предельной дате заключения соглашений по результатам закупки товаров, работ и услуг для обеспечения муниципальных нужд в целях реализации муниципальных программ - 1 апреля года предоставления субсидии, за исключением:
случаев обжалования действий (бездействия) заказчика и (или) комиссии по осуществлению закупок и (или) оператора электронной площадки при осуществлении закупки товаров, работ, услуг в порядке, установленном законодательством Российской Федерации, при которых срок заключения таких соглашений продлевается на срок указанного обжалования;
случаев проведения повторного конкурса или новой закупки, если конкурс признан не состоявшимся по основаниям, предусмотренным законодательством Российской Федерации, при которых срок заключения таких соглашений продлевается на срок проведения конкурсных процедур;
случаев заключения таких соглашений в пределах экономии средств при расходовании субсидии в целях реализации муниципальных программ, при которых срок заключения таких соглашений продлевается на срок до 15 декабря года предоставления субсидии).
(пп. "л" в ред.
Постановления Правительства РФ от 30.11.2019 N 1546)
11(1). Утратил силу с 1 января 2025 года. -
Постановление Правительства РФ от 30.11.2024 N 1699.
12. Размер субсидии из федерального бюджета i-му субъекту Российской Федерации (Сi) в 2019 - 2020 годах определяется по формуле:
где:
Собщ - объем бюджетных ассигнований федерального бюджета на текущий финансовый год, предусмотренных Министерству строительства и жилищно-коммунального хозяйства Российской Федерации, для предоставления субсидий из федерального бюджета, распределяемых на соответствующий год;
Bi - численность населения, проживающего на территории i-го субъекта Российской Федерации;
Y
i - предельный уровень софинансирования расходного обязательства субъекта Российской Федерации из федерального бюджета, утверждаемый Правительством Российской Федерации в соответствии с
пунктом 13(1.1) Правил предоставления субсидий из федерального бюджета;
K
кор - коэффициент корректировки, определяемый в соответствии с
пунктом 14 настоящих Правил.
| | ИС МЕГАНОРМ: примечание. Постановлением Правительства РФ от 09.12.2022 N 2272 в п. 13 данного документа вносятся изменения с 01.01.2023. Указанные изменения не могут быть учтены в редакции поскольку данная норма отменена Постановлением Правительства РФ от 02.12.2022 N 2214 с 14.12.2022. | |
13. Утратил силу. -
Постановление Правительства РФ от 02.12.2022 N 2214.
14. Коэффициент корректировки (K
кор) определяется по формуле:
Kкор = Kмкд x Kип x Kмг,
где:
Kмкд - величина:
равная 1, - если количество многоквартирных домов, включенных в утвержденную региональную программу капитального ремонта общего имущества в многоквартирных домах субъекта Российской Федерации - получателя субсидии из федерального бюджета, меньше среднего количества многоквартирных домов, включенных в региональные программы капитального ремонта общего имущества в многоквартирных домах всех субъектов Российской Федерации;
равная 1,05, - если количество многоквартирных домов, включенных в утвержденную региональную программу капитального ремонта общего имущества в многоквартирных домах субъекта Российской Федерации - получателя субсидии из федерального бюджета, находится в диапазоне от одного до двух средних значений количества многоквартирных домов, включенных в региональные программы капитального ремонта общего имущества в многоквартирных домах всех субъектов Российской Федерации;
равная 1,1, - если количество многоквартирных домов, включенных в утвержденную региональную программу капитального ремонта общего имущества в многоквартирных домах субъекта Российской Федерации - получателя субсидии из федерального бюджета, находится в диапазоне от двух до трех средних значений количества многоквартирных домов, включенных в региональные программы капитального ремонта общего имущества в многоквартирных домах всех субъектов Российской Федерации;
равная 1,15, - если количество многоквартирных домов, включенных в утвержденную региональную программу капитального ремонта общего имущества в многоквартирных домах субъекта Российской Федерации - получателя субсидии из федерального бюджета, находится в диапазоне от трех до четырех средних значений количества многоквартирных домов, включенных в региональные программы капитального ремонта общего имущества в многоквартирных домах всех субъектов Российской Федерации;
равная 1,2, - если количество многоквартирных домов, включенных в утвержденную региональную программу капитального ремонта общего имущества в многоквартирных домах субъекта Российской Федерации - получателя субсидии из федерального бюджета, находится в диапазоне от четырех до пяти средних значений количества многоквартирных домов, включенных в региональные программы капитального ремонта общего имущества в многоквартирных домах всех субъектов Российской Федерации;
равная 1,25, - если количество многоквартирных домов, включенных в утвержденную региональную программу капитального ремонта общего имущества в многоквартирных домах субъекта Российской Федерации - получателя субсидии из федерального бюджета, находится в диапазоне от пяти до шести средних значений количества многоквартирных домов, включенных в региональные программы капитального ремонта общего имущества в многоквартирных домах всех субъектов Российской Федерации;
Kип - величина равная 1, - если количество жителей в исторических поселениях федерального значения, расположенных на территории соответствующего субъекта Российской Федерации, составляет менее 20000 человек или исторические поселения федерального значения на указанной территории отсутствуют (если количество жителей в исторических поселениях федерального значения, расположенных на территории соответствующего субъекта Российской Федерации, составляет более 20000 человек, коэффициент рассчитывается как 1 + 0,1 за каждые следующие 20000 человек);
Kмг - величина равная 1, - если количество жителей в монопрофильных муниципальных образованиях, расположенных на территории соответствующего субъекта Российской Федерации, составляет менее 50000 человек или монопрофильные муниципальные образования на указанной территории отсутствуют (если количество жителей в монопрофильных муниципальных образованиях, расположенных на территории соответствующего субъекта Российской Федерации, составляет более 50000 человек, коэффициент рассчитывается как 1 + 0,1 за каждые следующие 50000 человек).
15. Размер субсидии из федерального бюджета i-му субъекту Российской Федерации (Сi) в 2021 - 2024 годах и г. Байконуру (C
i) в 2024 году определяется по формуле:
где:
Собщ - объем бюджетных ассигнований федерального бюджета на текущий финансовый год, предусмотренных Министерству строительства и жилищно-коммунального хозяйства Российской Федерации, для предоставления субсидий из федерального бюджета, распределяемых на соответствующий год;
Вi - численность населения, проживающего на территории i-го субъекта Российской Федерации и г. Байконура;
Y
i - предельный уровень софинансирования расходного обязательства субъекта Российской Федерации и г. Байконура из федерального бюджета, утверждаемый Правительством Российской Федерации в соответствии с
пунктом 13(1.1) Правил предоставления субсидий;
К
баз - коэффициент корректировки, который принимается равным 1 - при определении размера субсидии из федерального бюджета г. Байконуру и определяется с учетом базовых коэффициентов в соответствии с
пунктом 17 настоящих Правил - при определении размера субсидии из федерального бюджета i-му субъекту Российской Федерации.
(п. 15 в ред.
Постановления Правительства РФ от 30.11.2023 N 2034)
15(1). Размер субсидии из федерального бюджета i-му субъекту Российской Федерации (C
i) и г. Байконуру (C
i) в 2025 году определяется по формуле:
где:
Cобщ. - объем бюджетных ассигнований федерального бюджета на текущий финансовый год, предусмотренных Министерству строительства и жилищно-коммунального хозяйства Российской Федерации, для предоставления субсидий из федерального бюджета, распределяемых на соответствующий год;
Bi - численность населения, проживающего на территории i-го субъекта Российской Федерации и территории г. Байконура;
Y
i - предельный уровень софинансирования расходного обязательства субъекта Российской Федерации и г. Байконура из федерального бюджета, утверждаемый Правительством Российской Федерации в соответствии с
пунктом 13(1.1) Правил предоставления субсидий.
(п. 15(1) введен
Постановлением Правительства РФ от 30.11.2024 N 1699)
15(2). Размер субсидии из федерального бюджета i-му субъекту Российской Федерации (C
i) и г. Байконуру (C
i) в 2026 году и последующие годы определяется по формуле:
где:
Cобщ. - объем бюджетных ассигнований федерального бюджета на текущий финансовый год, предусмотренных Министерству строительства и жилищно-коммунального хозяйства Российской Федерации, для предоставления субсидий из федерального бюджета, распределяемых на соответствующий год;
C
пр - определенный на основании решения президиума (штаба) Правительственной комиссии по региональному развитию в Российской Федерации на текущий финансовый год объем бюджетных ассигнований федерального бюджета, предусмотренных Министерству строительства и жилищно-коммунального хозяйства Российской Федерации, для предоставления субсидий из федерального бюджета на реализацию предусмотренных
пунктом 1 настоящих Правил мероприятий, направленных на исполнение поручений Президента Российской Федерации и Председателя Правительства Российской Федерации, с учетом предельного уровня софинансирования расходного обязательства субъекта Российской Федерации и г. Байконура из федерального бюджета, утверждаемого Правительством Российской Федерации в соответствии с
пунктом 13(1.1) Правил предоставления субсидий;
Bi - численность населения, проживающего на территории i-го субъекта Российской Федерации и территории г. Байконура;
Y
i - предельный уровень софинансирования расходного обязательства субъекта Российской Федерации и г. Байконура из федерального бюджета, утверждаемый Правительством Российской Федерации в соответствии с
пунктом 13(1.1) Правил предоставления субсидий.
(п. 15(2) введен
Постановлением Правительства РФ от 30.11.2024 N 1699)
16. В случае отказа субъекта Российской Федерации и г. Байконура от получения субсидии из федерального бюджета, поступившего в Министерство строительства и жилищно-коммунального хозяйства Российской Федерации в официальном порядке за подписью высшего должностного лица (председателя высшего исполнительного органа) субъекта Российской Федерации и главы администрации г. Байконура в период проведения расчета размера субсидии из федерального бюджета, сумма такой субсидии перераспределяется в соответствии с положениями настоящих Правил между субъектами Российской Федерации, входящими в состав Дальневосточного федерального округа, за исключением субъектов Российской Федерации, указанных в
абзаце втором настоящего пункта, в дополнение к размеру субсидии из федерального бюджета, определенной после распределения, в целях создания условий выполнения поручений Президента Российской Федерации, направленных на усиление поддержки субъектов Российской Федерации, входящих в состав Дальневосточного федерального округа.
(в ред. Постановлений Правительства РФ от 02.12.2022
N 2214, от 09.12.2022
N 2272, от 30.11.2023
N 2034)
Положения
абзаца первого настоящего пункта в части перераспределения суммы субсидии не распространяются на входящие в состав Дальневосточного федерального округа субъекты Российской Федерации, для которых размер субсидии из федерального бюджета определен в соответствии с
пунктом 17(1) настоящих Правил.
17. Коэффициент корректировки с учетом базовых коэффициентов (К
баз) определяется по формуле:
Кбаз = Кмкд x Кип x Кмг x Кфкгс x Кпок x Кцф,
где:
К
мкд, К
ип, К
мг - величины, определяемые в соответствии с
пунктом 14 настоящих Правил;
Кфкгс - величина:
равная 1, - для субъектов Российской Федерации, достигших показатель "индекс качества городской среды", установленный для субъекта Российской Федерации в соответствии с паспортом федерального проекта;
равная 0,95, - для субъектов Российской Федерации, не достигших показатель "индекс качества городской среды", установленный для субъекта Российской Федерации в соответствии с паспортом федерального проекта;
Кпок - величина:
равная 1, - для субъектов Российской Федерации, в которых на 100 и более процентов достигнуто значение показателя "доля городов с благоприятной городской средой от общего количества городов" в соответствии с показателями, установленными для субъекта Российской Федерации в соответствии с паспортом федерального проекта;
равная 0,95, - для субъектов Российской Федерации, в которых менее чем на 100 процентов достигнуто значение показателя "доля городов с благоприятной городской средой от общего количества городов" в соответствии с показателями, установленными для субъекта Российской Федерации в соответствии с паспортом федерального проекта;
Кцф - величина:
равная 1, - для субъектов Российской Федерации, выполнивших 100 процентов мероприятий по цифровизации городского хозяйства в соответствии с перечнем мероприятий по цифровизации городского хозяйства, предусмотренных методическими рекомендациями по цифровизации городского хозяйства, утвержденными Министерством строительства и жилищно-коммунального хозяйства Российской Федерации;
равная 0,95, - для субъектов Российской Федерации, выполнивших менее 100 процентов мероприятий по цифровизации городского хозяйства в соответствии с перечнем мероприятий по цифровизации городского хозяйства, предусмотренных методическими рекомендациями по цифровизации городского хозяйства, утвержденными Министерством строительства и жилищно-коммунального хозяйства Российской Федерации.
(п. 17 в ред.
Постановления Правительства РФ от 18.09.2020 N 1481)
17(1). Размер субсидии из федерального бюджета i-му субъекту Российской Федерации (C
i), определенный в соответствии с
пунктом 15 настоящих Правил, в 2023 - 2024 годах не может быть менее 100 млн. рублей, в случае если величины К
фкгс, К
пок и К
цф, предусмотренные
пунктом 17 настоящих Правил, равны 1.
В случае если определенный в соответствии с
пунктом 15 настоящих Правил размер субсидии из федерального бюджета i-му субъекту Российской Федерации (C
i) в 2023 - 2024 годах окажется менее 100 млн. рублей, в соответствующем году размер субсидии определяется по формуле:
Размер субсидии из федерального бюджета г. Байконуру (Сi), определенный в соответствии с
пунктом 15 настоящих Правил, в 2024 году не может быть менее 100 млн. рублей.
Размер субсидии из федерального бюджета субъектам Российской Федерации, определенный в соответствии с
пунктом 15 настоящих Правил, подлежит пропорциональному уменьшению на сумму увеличения субсидии из федерального бюджета субъектам Российской Федерации и г. Байконуру, для которых размер субсидии из федерального бюджета определен в соответствии с
абзацами вторым -
четвертым настоящего пункта.
Размер субсидии из федерального бюджета i-му субъекту Российской Федерации (C
i) и г. Байконуру (C
i), определенный в соответствии с
пунктами 15(1) и
15(2) настоящих Правил, в 2025 году и последующие годы не может быть менее 100 млн. рублей.
(п. 17(1) введен
Постановлением Правительства РФ от 02.12.2022 N 2214)
18. Утратил силу с 1 января 2024 года. -
Постановление Правительства РФ от 30.11.2023 N 2034.
18(1). Утратил силу. -
Постановление Правительства РФ от 02.12.2022 N 2214.
19. Увеличение размера средств бюджетов субъектов Российской Федерации, бюджета г. Байконура и местных бюджетов, направляемых на реализацию государственных программ и муниципальных программ, не влечет обязательств по увеличению размера предоставляемой субсидии из федерального бюджета.
20. Оценка эффективности использования i-м субъектом Российской Федерации и г. Байконуром субсидии из федерального бюджета осуществляется путем сравнения фактически достигнутого в отчетном году и установленного соглашением о предоставлении субсидии из федерального бюджета значения результата использования субсидии из федерального бюджета - количество реализованных мероприятий по благоустройству общественных территорий и иных мероприятий, предусмотренных государственными программами и муниципальными программами.
(п. 20 в ред.
Постановления Правительства РФ от 30.11.2024 N 1699)
20(1). Утратил силу с 1 января 2025 года. -
Постановление Правительства РФ от 30.11.2024 N 1699.
21. Уполномоченные высшим исполнительным органом субъекта Российской Федерации исполнительные органы субъекта Российской Федерации и уполномоченное главой администрации г. Байконура структурное подразделение администрации г. Байконура размещают в сроки, установленные соглашением о предоставлении субсидии из федерального бюджета, в государственной интегрированной информационной системе управления общественными финансами "Электронный бюджет" отчетность об осуществлении расходов, в целях софинансирования которых предоставляется субсидия, а также о достижении значения результата использования субсидии.
(п. 21 в ред.
Постановления Правительства РФ от 30.11.2024 N 1699)
21(1). Высший исполнительный орган субъекта Российской Федерации и глава администрации г. Байконура несут ответственность за полноту и достоверность сведений, содержащихся в отчетности о достижении значений результатов использования субсидии из федерального бюджета, а также в отчетности об осуществлении расходов бюджета субъекта Российской Федерации, в целях софинансирования которых предоставляется субсидия из федерального бюджета.
22. Основания и порядок применения мер финансовой ответственности к субъекту Российской Федерации и г. Байконуру при невыполнении ими условий соглашения (включая обязательства субъекта Российской Федерации и г. Байконура), в том числе порядок и условия возврата средств из бюджета субъекта Российской Федерации и бюджета г. Байконура в федеральный бюджет, установлены
пунктами 16 -
19 Правил предоставления субсидий. Основания и порядок освобождения субъекта Российской Федерации и г. Байконура от применения указанных мер финансовой ответственности установлены
пунктом 20 Правил предоставления субсидий.
(п. 22 в ред.
Постановления Правительства РФ от 05.08.2024 N 1053)
23. В случае нарушения целей, установленных при предоставлении субсидии, применяются бюджетные меры принуждения, предусмотренные бюджетным законодательством Российской Федерации.
(п. 23 в ред.
Постановления Правительства РФ от 05.08.2024 N 1053)
23(1). Средства субсидий, не востребованные субъектами Российской Федерации и г. Байконуром в связи с невозможностью освоения в текущем финансовом году бюджетных средств, источником финансового обеспечения которых являются субсидии, и по иным причинам, подлежат перераспределению бюджетам субъектов Российской Федерации и бюджету г. Байконура на реализацию мероприятий, направленных на поддержку государственных программ и муниципальных программ, на основании решений президиума (штаба) Правительственной комиссии по региональному развитию в Российской Федерации в порядке, предусмотренном бюджетным законодательством Российской Федерации.
(п. 23(1) в ред.
Постановления Правительства РФ от 30.11.2024 N 1699)
24. Контроль за соблюдением субъектами Российской Федерации и г. Байконуром условий предоставления субсидий из федерального бюджета осуществляется Министерством строительства и жилищно-коммунального хозяйства Российской Федерации и уполномоченными органами государственного финансового контроля.
(в ред. Постановлений Правительства РФ от 31.03.2020
N 399, от 02.12.2022
N 2214, от 30.11.2023
N 2034)
25. Перечисление субсидий из федерального бюджета осуществляется в установленном порядке на единые счета бюджетов, открытые финансовым органам субъектов Российской Федерации в территориальных органах Федерального казначейства.
Перечисление субсидий из федерального бюджета бюджету г. Байконура осуществляется в установленном порядке на счет, открытый финансовому органу администрации г. Байконура.
к государственной программе
Российской Федерации "Обеспечение
доступным и комфортным жильем
и коммунальными услугами граждан
Российской Федерации"
ПРАВИЛА
ПРЕДОСТАВЛЕНИЯ И РАСПРЕДЕЛЕНИЯ СУБСИДИЙ ИЗ ФЕДЕРАЛЬНОГО
БЮДЖЕТА БЮДЖЕТАМ СУБЪЕКТОВ РОССИЙСКОЙ ФЕДЕРАЦИИ
НА РЕАЛИЗАЦИЮ МЕРОПРИЯТИЙ ПО СОКРАЩЕНИЮ
ДОЛИ ЗАГРЯЗНЕННЫХ СТОЧНЫХ ВОД
| | Список изменяющих документов в ред. Постановлений Правительства РФ от 31.12.2019 N 1959, | |
1. Настоящие Правила устанавливают цели, условия и порядок предоставления и распределения субсидий из федерального бюджета бюджетам субъектов Российской Федерации в целях софинансирования расходных обязательств субъектов Российской Федерации, возникающих при реализации региональных проектов, предусматривающих мероприятия, связанные с осуществлением капитальных вложений в строительство (реконструкцию, в том числе с элементами реставрации, техническое перевооружение) очистных сооружений водопроводно-канализационного хозяйства и (или) линейных объектов (далее - объекты капитального строительства) и (или) предоставлением субсидий местным бюджетам из бюджетов субъектов Российской Федерации на строительство (реконструкцию, в том числе с элементами реставрации, техническое перевооружение) объектов капитального строительства, и обеспечивающих достижение целей, показателей и результатов федерального
проекта "Оздоровление Волги" в составе государственной программы Российской Федерации "Обеспечение доступным и комфортным жильем и коммунальными услугами граждан Российской Федерации" (далее - субсидии).
(п. 1 в ред.
Постановления Правительства РФ от 24.10.2023 N 1775)
2. В распределении субсидий участвуют Республика Марий Эл, Республика Татарстан, Чувашская Республика, Астраханская, Волгоградская, Вологодская, Ивановская, Костромская, Московская, Нижегородская, Самарская, Саратовская, Тверская, Ульяновская и Ярославская области.
3. Субсидии предоставляются в пределах бюджетных ассигнований, предусмотренных в федеральном законе о федеральном бюджете на соответствующий финансовый год и плановый период, и лимитов бюджетных обязательств, доведенных до Министерства строительства и жилищно-коммунального хозяйства Российской Федерации как получателя средств федерального бюджета, на цели, указанные в
пункте 5 настоящих Правил.
3(1). Критерием отбора субъектов Российской Федерации для предоставления субсидии является реализация на территории субъекта Российской Федерации регионального проекта, обеспечивающего достижение целей, показателей и результатов федерального
проекта "Оздоровление Волги" в составе государственной программы Российской Федерации "Обеспечение доступным и комфортным жильем и коммунальными услугами граждан Российской Федерации".
4. Субсидии предоставляются при соблюдении следующих условий:
а) наличие нормативного правового акта субъекта Российской Федерации, утверждающего государственную программу субъекта Российской Федерации, предусматривающую перечень мероприятий (результатов), при реализации которых возникают расходные обязательства субъекта Российской Федерации, в целях софинансирования которых предоставляется субсидия и которые соответствуют целям, указанным в
пункте 5 настоящих Правил;
б) наличие в бюджете субъекта Российской Федерации бюджетных ассигнований на исполнение расходного обязательства субъекта Российской Федерации по финансовому обеспечению мероприятий, указанных в
пункте 1 настоящих Правил, софинансирование которых осуществляется из федерального бюджета, в объеме, необходимом для его исполнения, включающем размер планируемой к предоставлению из федерального бюджета субсидии;
в) заключение соглашения между Министерством строительства и жилищно-коммунального хозяйства Российской Федерации и высшим исполнительным органом субъекта Российской Федерации о предоставлении субсидии в соответствии с
типовой формой, утвержденной Министерством финансов Российской Федерации, которое должно соответствовать требованиям, установленным
пунктом 10 Правил формирования, предоставления и распределения субсидий из федерального бюджета бюджетам субъектов Российской Федерации, утвержденных постановлением Правительства Российской Федерации от 30 сентября 2014 г. N 999 "О формировании, предоставлении и распределении субсидий из федерального бюджета бюджетам субъектов Российской Федерации" (далее соответственно - соглашение, Правила предоставления субсидий).
(в ред. Постановлений Правительства РФ от 05.11.2020
N 1785, от 02.12.2022
N 2214, от 09.12.2022
N 2272)
5. Субсидии предоставляются на следующие цели:
а) строительство (реконструкция, в том числе с элементами реставрации, техническое перевооружение) объектов капитального строительства и (или) предоставление субсидий из бюджетов субъектов Российской Федерации местным бюджетам на софинансирование строительства (реконструкции, в том числе с элементами реставрации, технического перевооружения) объектов капитального строительства;
б) возмещение затрат (части затрат) на уплату процентов по кредитам, полученным заемщиками в российских кредитных организациях на строительство (реконструкцию, в том числе с элементами реставрации, техническое перевооружение) объектов капитального строительства, из расчета предусмотренной кредитным договором процентной ставки, но не более ключевой ставки Центрального банка Российской Федерации, действующей на дату заключения кредитного договора, увеличенной на 3 процентных пункта;
в) возмещение затрат (части затрат) на выплату платы концедента по концессионным соглашениям, заключенным на строительство и (или) реконструкцию объектов капитального строительства, и (или) предоставление субсидий из бюджетов субъектов Российской Федерации местным бюджетам на возмещение затрат (части затрат) на выплату платы концедента по концессионным соглашениям, заключенным на строительство и (или) реконструкцию объектов капитального строительства;
г) проведение инженерных изысканий и подготовка (корректировка) проектной документации на строительство (реконструкцию, в том числе с элементами реставрации, техническое перевооружение) объектов капитального строительства и (или) предоставление субсидий из бюджетов субъектов Российской Федерации местным бюджетам на софинансирование проведения инженерных изысканий и подготовки (корректировки) проектной документации на строительство (реконструкцию, в том числе с элементами реставрации, техническое перевооружение) объектов капитального строительства при условии определения Министерством строительства и жилищно-коммунального хозяйства Российской Федерации необходимости и приоритетности реализации проектов.
6. Заемщик для получения возмещения затрат (части затрат) на уплату процентов по кредиту в течение 30 календарных дней после уплаты процентов по кредиту представляет в исполнительный орган субъекта Российской Федерации следующие документы:
а) заверенные кредитной организацией копии документов, подтверждающих своевременное исполнение текущих обязательств по кредиту в сроки и объемах, которые установлены графиком погашения кредита и уплаты процентов по нему;
б) выписка из ссудного счета о получении заемщиком кредита;
в) заверенные заемщиком и кредитной организацией документы, подтверждающие целевое использование полученного кредита;
г) расчет возмещения затрат (части затрат) на уплату процентов по кредиту;
д) справка налогового органа об отсутствии у заемщика просроченной задолженности по налогам, сборам и иным обязательным платежам в бюджеты бюджетной системы Российской Федерации и государственные внебюджетные фонды на дату не ранее даты уплаты процентов.
7. Высший исполнительный орган субъекта Российской Федерации представляет в Министерство строительства и жилищно-коммунального хозяйства Российской Федерации заявку об участии в распределении субсидий по
форме и в
порядке, которые утверждаются указанным Министерством.
Организацию приема и рассмотрения заявок об участии в распределении субсидий обеспечивает Министерство строительства и жилищно-коммунального хозяйства Российской Федерации с привлечением в установленном порядке подведомственной организации.
(п. 7 в ред.
Постановления Правительства РФ от 02.12.2022 N 2214)
7(1). Высший исполнительный орган субъекта Российской Федерации в соответствии с законодательством Российской Федерации несет ответственность за соблюдение настоящих Правил и достоверность сведений, представляемых и (или) содержащихся в заявке, указанной в
пункте 7 настоящих Правил, и документах, представляемых в Министерство строительства и жилищно-коммунального хозяйства Российской Федерации в соответствии с
пунктами 7 -
8(2) настоящих Правил.
(п. 7(1) введен
Постановлением Правительства РФ от 05.11.2020 N 1785; в ред. Постановлений Правительства РФ от 02.12.2022
N 2214, от 09.12.2022
N 2272)
8. В целях получения субсидий на цели, указанные в
подпункте "а" пункта 5 настоящих Правил, субъекты Российской Федерации дополнительно представляют одновременно с заявкой, указанной в
пункте 7 настоящих Правил, следующие сведения и документы в отношении каждого объекта капитального строительства:
а) наименование объекта капитального строительства;
б) мощность объекта капитального строительства, подлежащего вводу в эксплуатацию;
в) срок ввода в эксплуатацию;
г) размер бюджетных ассигнований федерального бюджета, планируемых на финансирование объекта капитального строительства;
д) копии положительного заключения государственной экспертизы проектной документации, в том числе о достоверности определения сметной стоимости строительства (реконструкции, в том числе с элементами реставрации, технического перевооружения) объектов капитального строительства в случаях, установленных
частью 2 статьи 8(3) Градостроительного кодекса Российской Федерации, и положительного заключения государственной экспертизы результатов инженерных изысканий, выполненных для подготовки такой проектной документации (в случае если проведение такой экспертизы в соответствии с законодательством Российской Федерации является обязательным);
(пп. "д" в ред.
Постановления Правительства РФ от 24.10.2023 N 1775)
е) документы об утверждении проектной документации в соответствии с законодательством Российской Федерации (в случае, если в соответствии с законодательством Российской Федерации подготовка проектной документации является обязательной);
ж) - з) утратили силу. -
Постановление Правительства РФ от 24.10.2023 N 1775;
и) сведения, необходимые для проведения проверки инвестиционного проекта на предмет эффективности использования средств федерального бюджета, направляемых на капитальные вложения, предусмотренные
Правилами проведения проверки инвестиционных проектов на предмет эффективности использования средств федерального бюджета, направляемых на капитальные вложения, утвержденными постановлением Правительства Российской Федерации от 15 марта 2023 г. N 399 "О случаях и порядке проведения проверки инвестиционных проектов на предмет эффективности использования средств федерального бюджета, направляемых на капитальные вложения, о внесении изменений в некоторые акты Правительства Российской Федерации, приостановлении действия постановления Правительства Российской Федерации от 12 августа 2008 г. N 590 и отдельных положений некоторых актов Правительства Российской Федерации, а также признании утратившими силу некоторых актов и отдельных положений некоторых актов Правительства Российской Федерации", - в случаях, определенных указанным постановлением;
(пп. "и" в ред.
Постановления Правительства РФ от 05.08.2024 N 1053)
к) паспорт инвестиционного проекта по форме, установленной Министерством строительства и жилищно-коммунального хозяйства Российской Федерации;
л) копии правоустанавливающих документов на земельный участок;
м) копия положительного сводного заключения о проведении публичного технологического аудита крупного инвестиционного проекта с государственным участием, полученного в соответствии с
Положением о проведении публичного технологического и ценового аудита крупных инвестиционных проектов с государственным участием, утвержденным постановлением Правительства Российской Федерации от 30 апреля 2013 г. N 382 "О проведении публичного технологического и ценового аудита крупных инвестиционных проектов с государственным участием и о внесении изменений в некоторые акты Правительства Российской Федерации" (в случае, если проведение публичного технологического и ценового аудита в соответствии с законодательством Российской Федерации является обязательным).
8(1). В целях получения субсидий на цели, указанные в
подпункте "в" пункта 5 настоящих Правил, субъекты Российской Федерации одновременно с заявкой, указанной в
пункте 7 настоящих Правил, дополнительно представляют копию заключенного концессионного соглашения, предусматривающего в том числе выплату платы концедента по концессионному соглашению.
8(2). В целях получения субсидий на цели, указанные в
подпункте "г" пункта 5 настоящих Правил, субъекты Российской Федерации одновременно с заявкой, указанной в
пункте 7 настоящих Правил, и документами, указанными в
подпунктах "а" -
"г" и
"з" -
"л" пункта 8 настоящих Правил, представляют следующие сведения и документы в отношении каждого объекта капитального строительства:
а) копия свидетельства о государственной регистрации застройщика в соответствии с законодательством Российской Федерации;
б) утратил силу. -
Постановление Правительства РФ от 05.08.2024 N 1053;
в) копия утвержденного задания на проектирование;
г) копия положительного заключения о проведении 1-го этапа публичного технологического и ценового аудита инвестиционного проекта с государственным участием, полученного в соответствии с
Положением о проведении публичного технологического и ценового аудита крупных инвестиционных проектов с государственным участием, утвержденным постановлением Правительства Российской Федерации от 30 апреля 2013 г. N 382 "О проведении публичного технологического и ценового аудита крупных инвестиционных проектов с государственным участием и о внесении изменений в некоторые акты Правительства Российской Федерации" (если проведение публичного технологического и ценового аудита в соответствии с законодательством Российской Федерации является обязательным);
д) обоснование необходимости включения объекта капитального строительства в адресное (пообъектное) распределение субсидий, указанное в
абзаце первом пункта 9 настоящих Правил (в обосновании указываются причины отсутствия проектной документации с положительным заключением государственной экспертизы, в том числе о достоверности определения сметной стоимости строительства (реконструкции, в том числе с элементами реставрации, технического перевооружения) объекта капитального строительства, и сроки разработки соответствующей проектной документации).
9. Адресное (пообъектное) распределение субсидий по объектам капитального строительства, не указанным в
пункте 6 Правил предоставления субсидий, определяется соглашениями на основании решений Министерства строительства и жилищно-коммунального хозяйства Российской Федерации, формируемых в государственной интегрированной информационной системе управления общественными финансами "Электронный бюджет" в форме электронного документа, который подписывается усиленной квалифицированной электронной подписью руководителя федерального органа исполнительной власти (уполномоченного им лица).
В первоочередном порядке в адресное (пообъектное) распределение субсидий, указанное в
абзаце первом настоящего пункта, включаются объекты капитального строительства, на софинансирование которых ранее направлялись средства федерального бюджета, при условии выполнения субъектом Российской Федерации обязательств по их софинансированию за счет средств бюджета субъекта Российской Федерации и местных бюджетов.
10. Размер субсидии i-му субъекту Российской Федерации (Vi) рассчитывается по формуле:
где:
Vобщ - объем бюджетных ассигнований федерального бюджета на очередной финансовый год для предоставления субсидий, распределяемых на соответствующий год;
S
i - доля загрязненных сточных вод, отводимых предприятиями водопроводно-канализационного хозяйства, расположенными на территории субъекта Российской Федерации, в р. Волгу, согласно данным федерального статистического наблюдения по
форме N 2-ТП (водхоз) "Сведения об использовании воды", утвержденной приказом Федеральной службы государственной статистики от 19 октября 2009 г. N 230 "Об утверждении статистического инструментария для организации Росводресурсами федерального статистического наблюдения об использовании воды";
Y
i - предельный уровень софинансирования расходного обязательства субъекта Российской Федерации из федерального бюджета, утверждаемый Правительством Российской Федерации в соответствии с
пунктом 13(1.1) Правил предоставления субсидий.
10(1). Допускается распределять не распределенный федеральным законом о федеральном бюджете на текущий финансовый год и плановый период между субъектами Российской Федерации объем субсидий в размере не более 5 процентов общего объема субсидий, утвержденного на первый год планового периода, и не более 10 процентов общего объема субсидий, утвержденного на второй год планового периода, в порядке, установленном бюджетным законодательством Российской Федерации.
(п. 10(1) введен
Постановлением Правительства РФ от 24.10.2023 N 1775)
11. Уровень софинансирования расходного обязательства субъекта Российской Федерации из федерального бюджета устанавливается в размере, не превышающем предельный уровень софинансирования расходного обязательства субъекта Российской Федерации из федерального бюджета, утверждаемый Правительством Российской Федерации в соответствии с
пунктом 13(1.1) Правил предоставления субсидий.
Допускается возможность установления в соглашении различных уровней софинансирования расходного обязательства субъекта Российской Федерации из федерального бюджета по отдельным мероприятиям (объектам капитального строительства) в случае предоставления субсидий в целях софинансирования расходного обязательства субъекта Российской Федерации, предусматривающего реализацию более одного мероприятия (капитальные вложения в несколько объектов капитального строительства).
(п. 11 в ред.
Постановления Правительства РФ от 24.10.2023 N 1775)
12. В случае если размер средств, предусмотренных в бюджете субъекта Российской Федерации, источником которых является бюджет субъекта Российской Федерации, на финансирование мероприятий, на софинансирование которых предоставляется субсидия, не обеспечивает уровень софинансирования из федерального бюджета, определенный в соответствии с
пунктом 11 настоящих Правил, размер субсидии подлежит сокращению до размера, обеспечивающего соответствующий уровень софинансирования.
13. Распределение субсидий между субъектами Российской Федерации утверждается в форме приложения к федеральному закону о федеральном бюджете на соответствующий финансовый год и плановый период.
13(1). Внесение изменений в действующее распределение субсидий, утвержденное в соответствии с
пунктом 13 настоящих Правил, предусматривающих перераспределение субсидий между субъектами Российской Федерации и (или) между текущим финансовым годом и плановым периодом, осуществляется на основании протокольного решения проектного комитета по национальному
проекту "Экология" и (или) президиума Совета при Президенте Российской Федерации по стратегическому развитию и национальным проектам и утверждается в порядке, установленном бюджетным законодательством Российской Федерации.
14. Предоставление субсидий осуществляется на основании соглашения, подготавливаемого (формируемого) и заключаемого в государственной интегрированной информационной системе управления общественными финансами "Электронный бюджет".
(п. 14 в ред.
Постановления Правительства РФ от 31.12.2019 N 1959)
15. Соглашение должно включать обязательство субъекта Российской Федерации по приведению государственной программы субъекта Российской Федерации, предусматривающей мероприятия, софинансируемые за счет субсидии, в соответствие с методическими рекомендациями по подготовке государственных программ субъектов Российской Федерации по строительству (реконструкции, в том числе с элементами реставрации, техническому перевооружению) очистных сооружений водопроводно-канализационного хозяйства субъектов Российской Федерации в рамках реализации федерального
проекта "Оздоровление Волги" на 2019 - 2024 годы, утверждаемыми Министерством строительства и жилищно-коммунального хозяйства Российской Федерации, не позднее 3 месяцев со дня утверждения указанных методических рекомендаций.
16. Оценка эффективности использования субсидии осуществляется Министерством строительства и жилищно-коммунального хозяйства Российской Федерации путем сравнения фактически достигнутых и плановых значений результата использования субсидии "Обеспечено сокращение отведения в реку Волгу загрязненных сточных вод", предусмотренных соглашением.
(п. 16 в ред.
Постановления Правительства РФ от 24.10.2023 N 1775)
16(1). Утратил силу. -
Постановление Правительства РФ от 24.10.2023 N 1775.
17. Высший исполнительный орган субъекта Российской Федерации ежеквартально представляет в Министерство строительства и жилищно-коммунального хозяйства Российской Федерации в порядке и сроки, которые установлены соглашением, отчетность об осуществлении расходов бюджета субъекта Российской Федерации, в целях софинансирования которых предоставляется субсидия, а также о достижении значений результатов использования субсидии.
(п. 17 в ред.
Постановления Правительства РФ от 24.10.2023 N 1775)
18. Основания и порядок применения мер финансовой ответственности к субъекту Российской Федерации при невыполнении им условий соглашения (в том числе обязательств субъекта Российской Федерации), в том числе порядок и условия возврата средств из бюджета субъекта Российской Федерации в федеральный бюджет, установлены
пунктами 16 -
19 Правил предоставления субсидий. Основания и порядок освобождения субъекта Российской Федерации от применения указанных мер финансовой ответственности установлены
пунктом 20 Правил предоставления субсидий.
(п. 18 в ред.
Постановления Правительства РФ от 24.10.2023 N 1775)
19. Перечисление субсидий осуществляется в установленном порядке на единые счета бюджетов, открытые финансовым органам субъектов Российской Федерации в территориальных органах Федерального казначейства.
(п. 19 в ред.
Постановления Правительства РФ от 24.10.2023 N 1775)
20. В случае нарушения целей, установленных при предоставлении субсидии, применяются бюджетные меры принуждения, предусмотренные бюджетным законодательством Российской Федерации.
(в ред. Постановлений Правительства РФ от 31.12.2019
N 1959, от 24.10.2023
N 1775)
21. Контроль за соблюдением субъектами Российской Федерации условий предоставления субсидий осуществляется Министерством строительства и жилищно-коммунального хозяйства Российской Федерации и уполномоченными органами государственного финансового контроля.
(в ред. Постановлений Правительства РФ от 31.12.2019
N 1959, от 24.10.2023
N 1775)
к государственной программе
Российской Федерации "Обеспечение
доступным и комфортным жильем
и коммунальными услугами граждан
Российской Федерации"
ПРАВИЛА
ПРЕДОСТАВЛЕНИЯ И РАСПРЕДЕЛЕНИЯ СУБСИДИЙ ИЗ ФЕДЕРАЛЬНОГО
БЮДЖЕТА БЮДЖЕТАМ СУБЪЕКТОВ РОССИЙСКОЙ ФЕДЕРАЦИИ
НА СОФИНАНСИРОВАНИЕ МЕРОПРИЯТИЙ ПО СТРОИТЕЛЬСТВУ
И РЕКОНСТРУКЦИИ (МОДЕРНИЗАЦИИ) ОБЪЕКТОВ
ПИТЬЕВОГО ВОДОСНАБЖЕНИЯ
| | Список изменяющих документов в ред. Постановлений Правительства РФ от 31.12.2019 N 1959, | |
1. Настоящие Правила устанавливают цели, условия и порядок предоставления и распределения субсидий из федерального бюджета бюджетам субъектов Российской Федерации, за исключением гг. Москвы и Санкт-Петербурга, в целях софинансирования расходных обязательств субъектов Российской Федерации, возникающих при реализации региональных проектов, предусматривающих мероприятия по строительству, реконструкции (модернизации) объектов питьевого водоснабжения (далее - объекты капитального строительства) и (или) предоставлению субсидий местным бюджетам из бюджетов субъектов Российской Федерации на указанные цели и обеспечивающих достижение целей, показателей и результатов федерального
проекта "Чистая вода" в составе государственной программы Российской Федерации "Обеспечение доступным и комфортным жильем и коммунальными услугами граждан Российской Федерации" (далее - субсидии).
(п. 1 в ред.
Постановления Правительства РФ от 24.10.2023 N 1775)
2. Субсидии предоставляются в пределах бюджетных ассигнований, предусмотренных в федеральном законе о федеральном бюджете на соответствующий финансовый год и плановый период, и лимитов бюджетных обязательств, доведенных до Министерства строительства и жилищно-коммунального хозяйства Российской Федерации как получателя средств федерального бюджета, на цели, указанные в
пункте 4 настоящих Правил.
2(1). Критерием отбора субъектов Российской Федерации для предоставления субсидии является реализация на территории субъекта Российской Федерации регионального проекта, обеспечивающего достижение целей, показателей и результатов федерального
проекта "Чистая вода" в составе государственной программы Российской Федерации "Обеспечение доступным и комфортным жильем и коммунальными услугами граждан Российской Федерации".
3. Субсидии предоставляются при соблюдении следующих условий:
а) наличие нормативного правового акта субъекта Российской Федерации, утверждающего государственную программу субъекта Российской Федерации, предусматривающую перечень мероприятий (результатов), при реализации которых возникают расходные обязательства субъекта Российской Федерации, в целях софинансирования которых предоставляется субсидия и которые соответствуют целям, указанным в
пункте 4 настоящих Правил;
б) наличие в бюджете субъекта Российской Федерации бюджетных ассигнований на исполнение расходного обязательства субъекта Российской Федерации по финансовому обеспечению мероприятий, указанных в
пункте 1 настоящих Правил, софинансирование которых осуществляется из федерального бюджета, в объеме, необходимом для его исполнения, включающем размер планируемой к предоставлению из федерального бюджета субсидии;
в) заключение соглашения между Министерством строительства и жилищно-коммунального хозяйства Российской Федерации и высшим исполнительным органом субъекта Российской Федерации о предоставлении субсидии в соответствии с
типовой формой, утвержденной Министерством финансов Российской Федерации, которое должно соответствовать требованиям, установленным
пунктом 10 Правил формирования, предоставления и распределения субсидий из федерального бюджета бюджетам субъектов Российской Федерации, утвержденных постановлением Правительства Российской Федерации от 30 сентября 2014 г. N 999 "О формировании, предоставлении и распределении субсидий из федерального бюджета бюджетам субъектов Российской Федерации" (далее соответственно - соглашение, Правила предоставления субсидий).
(в ред. Постановлений Правительства РФ от 05.11.2020
N 1785, от 02.12.2022
N 2214, от 09.12.2022
N 2272)
4. Субсидии предоставляются на следующие цели:
а) строительство, реконструкция (модернизация) объектов капитального строительства и (или) предоставление субсидий из бюджетов субъектов Российской Федерации местным бюджетам на софинансирование строительства, реконструкции (модернизации) объектов капитального строительства;
б) возмещение затрат (части затрат) на уплату процентов по кредитам, полученным заемщиками в российских кредитных организациях на строительство, реконструкцию (модернизацию) объектов капитального строительства, из расчета предусмотренной кредитным договором процентной ставки, но не более ключевой ставки Центрального банка Российской Федерации, действующей на дату заключения кредитного договора, увеличенной на 3 процентных пункта;
в) возмещение затрат (части затрат) на выплату платы концедента по концессионным соглашениям, заключенным на строительство и (или) реконструкцию объектов капитального строительства, и (или) предоставление субсидий из бюджетов субъектов Российской Федерации местным бюджетам на возмещение затрат (части затрат) на выплату платы концедента по концессионным соглашениям, заключенным на строительство и (или) реконструкцию объектов капитального строительства;
г) проведение инженерных изысканий и подготовка (корректировка) проектной документации на строительство, реконструкцию (модернизацию) объектов капитального строительства и (или) предоставление субсидий из бюджетов субъектов Российской Федерации местным бюджетам на софинансирование проведения инженерных изысканий и подготовки (корректировки) проектной документации на строительство, реконструкцию (модернизацию) объектов капитального строительства при условии определения Министерством строительства и жилищно-коммунального хозяйства Российской Федерации необходимости и приоритетности реализации указанных проектов.
5. Заемщик для получения возмещения затрат (части затрат) на уплату процентов по кредиту в течение 30 календарных дней после уплаты процентов по кредиту представляет в исполнительный орган субъекта Российской Федерации следующие документы:
а) заверенные кредитной организацией копии документов, подтверждающих своевременное исполнение текущих обязательств по кредиту в сроки и объемах, которые установлены графиком погашения кредита и уплаты процентов по нему;
б) выписка из ссудного счета о получении заемщиком кредита;
в) заверенные заемщиком и кредитной организацией документы, подтверждающие целевое использование полученного кредита;
г) расчет возмещения затрат (части затрат) на уплату процентов по кредиту;
д) справка налогового органа об отсутствии у заемщика просроченной задолженности по налогам, сборам и иным обязательным платежам в бюджеты бюджетной системы Российской Федерации и государственные внебюджетные фонды на дату не ранее даты уплаты процентов.
6. Высший исполнительный орган субъекта Российской Федерации представляет в Министерство строительства и жилищно-коммунального хозяйства Российской Федерации заявку об участии в распределении субсидий по
форме и в
порядке, которые утверждаются указанным Министерством.
Организацию приема и рассмотрения заявок об участии в распределении субсидий обеспечивает Министерство строительства и жилищно-коммунального хозяйства Российской Федерации с привлечением в установленном порядке подведомственной организации.
(п. 6 в ред.
Постановления Правительства РФ от 02.12.2022 N 2214)
6(1). Высший исполнительный орган субъекта Российской Федерации в соответствии с законодательством Российской Федерации несет ответственность за соблюдение настоящих Правил и достоверность сведений, представляемых и (или) содержащихся в заявке, указанной в
пункте 6 настоящих Правил, и документах, представляемых в Министерство строительства и жилищно-коммунального хозяйства Российской Федерации в соответствии с
пунктами 6 -
7(2) настоящих Правил.
(п. 6(1) введен
Постановлением Правительства РФ от 05.11.2020 N 1785; в ред. Постановлений Правительства РФ от 02.12.2022
N 2214, от 09.12.2022
N 2272)
7. В целях получения субсидий на цели, указанные в
подпункте "а" пункта 4 настоящих Правил, субъекты Российской Федерации дополнительно представляют одновременно с заявкой, указанной в
пункте 6 настоящих Правил, следующие сведения и документы в отношении каждого объекта капитального строительства:
а) наименование объекта капитального строительства;
б) мощность объекта капитального строительства, подлежащего вводу в эксплуатацию;
в) срок ввода в эксплуатацию;
г) размер бюджетных ассигнований федерального бюджета, планируемых на финансирование объекта капитального строительства;
д) копии положительного заключения государственной экспертизы проектной документации, в том числе о достоверности определения сметной стоимости строительства, реконструкции (модернизации) объектов капитального строительства в случаях, установленных
частью 2 статьи 8.3 Градостроительного кодекса Российской Федерации, и положительного заключения государственной экспертизы результатов инженерных изысканий, выполненных для подготовки такой проектной документации (в случае если проведение такой экспертизы в соответствии с законодательством Российской Федерации является обязательным). В проектной документации по объектам капитального строительства, реализуемым на территориях Дальневосточного федерального округа и Арктической зоны Российской Федерации, необходимо предусматривать перечень мероприятий и затраты по привлечению студенческих строительных отрядов;
(в ред. Постановлений Правительства РФ от 24.10.2023
N 1775, от 05.08.2024
N 1053)
е) документы об утверждении проектной документации в соответствии с законодательством Российской Федерации (в случае, если в соответствии с законодательством Российской Федерации подготовка проектной документации является обязательной);
ж) - з) утратили силу. -
Постановление Правительства РФ от 24.10.2023 N 1775;
и) сведения, необходимые для проведения проверки инвестиционного проекта на предмет эффективности использования средств федерального бюджета, направляемых на капитальные вложения, предусмотренные
Правилами проведения проверки инвестиционных проектов на предмет эффективности использования средств федерального бюджета, направляемых на капитальные вложения, утвержденными постановлением Правительства Российской Федерации от 15 марта 2023 г. N 399 "О случаях и порядке проведения проверки инвестиционных проектов на предмет эффективности использования средств федерального бюджета, направляемых на капитальные вложения, о внесении изменений в некоторые акты Правительства Российской Федерации, приостановлении действия постановления Правительства Российской Федерации от 12 августа 2008 г. N 590 и отдельных положений некоторых актов Правительства Российской Федерации, а также признании утратившими силу некоторых актов и отдельных положений некоторых актов Правительства Российской Федерации", - в случаях, определенных указанным постановлением;
(пп. "и" в ред.
Постановления Правительства РФ от 05.08.2024 N 1053)
к) паспорт инвестиционного проекта по форме, установленной Министерством строительства и жилищно-коммунального хозяйства Российской Федерации;
л) копии правоустанавливающих документов на земельный участок;
м) копия положительного сводного заключения о проведении публичного технологического аудита крупного инвестиционного проекта с государственным участием, полученного в соответствии
Положением о проведении публичного технологического и ценового аудита крупных инвестиционных проектов с государственным участием, утвержденным постановлением Правительства Российской Федерации от 30 апреля 2013 г. N 382 "О проведении публичного технологического и ценового аудита крупных инвестиционных проектов с государственным участием и о внесении изменений в некоторые акты Правительства Российской Федерации" (если проведение публичного технологического и ценового аудита в соответствии с законодательством Российской Федерации является обязательным).
7(1). В целях получения субсидий на цели, указанные в
подпункте "в" пункта 4 настоящих Правил, субъекты Российской Федерации одновременно с заявкой, указанной в
пункте 6 настоящих Правил, дополнительно представляют копию заключенного концессионного соглашения, предусматривающего в том числе выплату платы концедента по концессионному соглашению.
7(2). В целях получения субсидий на цели, указанные в
подпункте "г" пункта 4 настоящих Правил, субъекты Российской Федерации одновременно с заявкой, указанной в
пункте 6 настоящих Правил, и документами, указанными в
подпунктах "а" -
"г" и
"з" -
"л" пункта 7 настоящих Правил, представляют следующие сведения и документы в отношении каждого объекта капитального строительства:
а) копия свидетельства о государственной регистрации застройщика в соответствии с законодательством Российской Федерации;
б) утратил силу. -
Постановление Правительства РФ от 05.08.2024 N 1053;
в) копия утвержденного задания на проектирование;
г) копия положительного заключения о проведении 1-го этапа публичного технологического и ценового аудита инвестиционного проекта с государственным участием, полученного в соответствии с
Положением о проведении публичного технологического и ценового аудита крупных инвестиционных проектов с государственным участием, утвержденным постановлением Правительства Российской Федерации от 30 апреля 2013 г. N 382 "О проведении публичного технологического и ценового аудита крупных инвестиционных проектов с государственным участием и о внесении изменений в некоторые акты Правительства Российской Федерации" (если проведение публичного технологического и ценового аудита в соответствии с законодательством Российской Федерации является обязательным);
д) обоснование необходимости включения объекта капитального строительства в адресное (пообъектное) распределение субсидий, указанное в
абзаце первом пункта 8 настоящих Правил (в обосновании указываются причины отсутствия проектной документации с положительным заключением государственной экспертизы, в том числе о достоверности определения сметной стоимости строительства, реконструкции (модернизации) объекта капитального строительства, и сроки разработки соответствующей проектной документации).
8. Адресное (пообъектное) распределение субсидий по объектам капитального строительства, не указанным в
пункте 6 Правил предоставления субсидий, определяется соглашениями на основании решений Министерства строительства и жилищно-коммунального хозяйства Российской Федерации, формируемых в государственной интегрированной информационной системе управления общественными финансами "Электронный бюджет" в форме электронного документа, который подписывается усиленной квалифицированной электронной подписью руководителя федерального органа исполнительной власти (уполномоченного им лица).
В первоочередном порядке в адресное (пообъектное) распределение субсидий, указанное в
абзаце первом настоящего пункта, включаются объекты капитального строительства, на софинансирование которых ранее направлялись средства федерального бюджета, при условии выполнения субъектом Российской Федерации обязательств по их софинансированию за счет средств бюджета субъекта Российской Федерации и местных бюджетов.
9. Размер субсидии i-му субъекту Российской Федерации (Vi) рассчитывается по формуле:
где:
Vобщ - объем бюджетных ассигнований федерального бюджета на очередной финансовый год для предоставления субсидий, распределяемых на соответствующий год;
Ni - численность населения, проживающего на территории i-го субъекта Российской Федерации (определяется в соответствии с данными, предоставленными Федеральной службой государственной статистики);

- доля населения, проживающего на территории i-го субъекта Российской Федерации, обеспеченного качественной питьевой водой из систем централизованного водоснабжения, в общей численности населения, проживающего на территории i-го субъекта Российской Федерации (определяется в соответствии с данными, предоставленными Федеральной службой по надзору в сфере защиты прав потребителей и благополучия человека);
Y
i - предельный уровень софинансирования расходного обязательства субъекта Российской Федерации из федерального бюджета, утверждаемый Правительством Российской Федерации в соответствии с
пунктом 13(1.1) Правил предоставления субсидий.
9(1). Допускается распределять не распределенный федеральным законом о федеральном бюджете на текущий финансовый год и плановый период между субъектами Российской Федерации объем субсидий в размере не более 5 процентов общего объема субсидий, утвержденного на первый год планового периода, и не более 10 процентов общего объема субсидий, утвержденного на второй год планового периода, в порядке, установленном бюджетным законодательством Российской Федерации.
10. Уровень софинансирования расходного обязательства субъекта Российской Федерации из федерального бюджета устанавливается в размере, не превышающем предельный уровень софинансирования расходного обязательства субъекта Российской Федерации из федерального бюджета, утверждаемый Правительством Российской Федерации в соответствии с
пунктом 13(1.1) Правил предоставления субсидий.
Допускается возможность установления в соглашении различных уровней софинансирования расходного обязательства субъекта Российской Федерации из федерального бюджета по отдельным мероприятиям (объектам капитального строительства) в случае предоставления субсидий в целях софинансирования расходного обязательства субъекта Российской Федерации, предусматривающего реализацию более одного мероприятия (капитальные вложения в несколько объектов капитального строительства).
(п. 10 в ред.
Постановления Правительства РФ от 24.10.2023 N 1775)
11. В случае если размер средств, предусмотренных в бюджете субъекта Российской Федерации, источником которых является бюджет субъекта Российской Федерации, на финансирование мероприятий, на софинансирование которых предоставляется субсидия, не обеспечивает уровень софинансирования из федерального бюджета, определенный в соответствии с
пунктом 10 настоящих Правил, размер субсидии подлежит сокращению до размера, обеспечивающего соответствующий уровень софинансирования.
12. Распределение субсидий между субъектами Российской Федерации утверждается в форме приложения к федеральному закону о федеральном бюджете на соответствующий финансовый год и плановый период.
12(1). Внесение изменений в действующее распределение субсидий, утвержденное в соответствии с
пунктом 12 настоящих Правил, предусматривающих перераспределение субсидий между субъектами Российской Федерации и (или) между текущим финансовым годом и плановым периодом, осуществляется на основании протокольного решения проектного комитета по национальному
проекту "Жилье и городская среда" и (или) президиума Совета при Президенте Российской Федерации по стратегическому развитию и национальным проектам и утверждается в порядке, установленном бюджетным законодательством Российской Федерации.
13. Предоставление субсидий осуществляется на основании соглашения, подготавливаемого (формируемого) и заключаемого в государственной интегрированной информационной системе управления общественными финансами "Электронный бюджет".
(п. 13 в ред.
Постановления Правительства РФ от 31.12.2019 N 1959)
14. Соглашение должно включать обязательство субъекта Российской Федерации по приведению государственной программы субъекта Российской Федерации, предусматривающей мероприятия, софинансируемые за счет субсидии, в соответствие с методическими рекомендациями по подготовке государственных программ субъектов Российской Федерации по строительству и модернизации объектов водоснабжения в рамках реализации федерального проекта "Чистая вода" на 2019 - 2024 годы, утверждаемыми Министерством строительства и жилищно-коммунального хозяйства Российской Федерации, не позднее 3 месяцев со дня утверждения указанных методических рекомендаций.
15. Оценка эффективности использования субсидии осуществляется Министерством строительства и жилищно-коммунального хозяйства Российской Федерации путем сравнения фактически достигнутых и плановых значений результата использования субсидии "Завершено строительство и реконструкция (модернизация) объектов питьевого водоснабжения и водоподготовки, предусмотренных региональными программами, нарастающим итогом", предусмотренных соглашением.
(п. 15 в ред.
Постановления Правительства РФ от 24.10.2023 N 1775)
15(1). Утратил силу. -
Постановление Правительства РФ от 24.10.2023 N 1775.
16. Высший исполнительный орган субъекта Российской Федерации ежеквартально представляет в Министерство строительства и жилищно-коммунального хозяйства Российской Федерации в порядке и сроки, которые установлены соглашением, отчетность об осуществлении расходов бюджета субъекта Российской Федерации, в целях софинансирования которых предоставляется субсидия, а также о достижении значений результатов использования субсидии.
(п. 16 в ред.
Постановления Правительства РФ от 24.10.2023 N 1775)
17. Основания и порядок применения мер финансовой ответственности к субъекту Российской Федерации при невыполнении им условий соглашения (в том числе обязательств субъекта Российской Федерации), в том числе порядок и условия возврата средств из бюджета субъекта Российской Федерации в федеральный бюджет, установлены
пунктами 16 -
19 Правил предоставления субсидий. Основания и порядок освобождения субъекта Российской Федерации от применения указанных мер финансовой ответственности установлены
пунктом 20 Правил предоставления субсидий.
(п. 17 в ред.
Постановления Правительства РФ от 24.10.2023 N 1775)
18. Перечисление субсидий осуществляется в установленном порядке на единые счета бюджетов, открытые финансовым органам субъектов Российской Федерации в территориальных органах Федерального казначейства.
(п. 18 в ред.
Постановления Правительства РФ от 24.10.2023 N 1775)
19. В случае нарушения целей, установленных при предоставлении субсидии, применяются бюджетные меры принуждения, предусмотренные бюджетным законодательством Российской Федерации.
(в ред. Постановлений Правительства РФ от 31.12.2019
N 1959, от 24.10.2023
N 1775)
20. Контроль за соблюдением субъектами Российской Федерации условий предоставления субсидий осуществляется Министерством строительства и жилищно-коммунального хозяйства Российской Федерации и уполномоченными органами государственного финансового контроля.
(в ред. Постановлений Правительства РФ от 31.12.2019
N 1959, от 24.10.2023
N 1775)
к государственной программе
Российской Федерации "Обеспечение
доступным и комфортным жильем
и коммунальными услугами граждан
Российской Федерации"
ПРАВИЛА
ПРЕДОСТАВЛЕНИЯ И РАСПРЕДЕЛЕНИЯ СУБСИДИЙ ИЗ ФЕДЕРАЛЬНОГО
БЮДЖЕТА БЮДЖЕТАМ СУБЪЕКТОВ РОССИЙСКОЙ ФЕДЕРАЦИИ В ЦЕЛЯХ
СОФИНАНСИРОВАНИЯ РАСХОДНЫХ ОБЯЗАТЕЛЬСТВ СУБЪЕКТОВ
РОССИЙСКОЙ ФЕДЕРАЦИИ, ВОЗНИКАЮЩИХ ПРИ РЕАЛИЗАЦИИ
МЕРОПРИЯТИЙ ГОСУДАРСТВЕННЫХ ПРОГРАММ СУБЪЕКТОВ РОССИЙСКОЙ
ФЕДЕРАЦИИ ПО ПЕРЕСЕЛЕНИЮ ГРАЖДАН ИЗ НЕ ПРЕДНАЗНАЧЕННЫХ
ДЛЯ ПРОЖИВАНИЯ СТРОЕНИЙ, СОЗДАННЫХ В ПЕРИОД ПРОМЫШЛЕННОГО
ОСВОЕНИЯ СИБИРИ И ДАЛЬНЕГО ВОСТОКА
| | Список изменяющих документов в ред. Постановлений Правительства РФ от 31.03.2020 N 399, | |
1. Настоящие Правила устанавливают цели, порядок и условия предоставления и распределения субсидий из федерального бюджета бюджетам субъектов Российской Федерации на софинансирование мероприятий государственных программ субъектов Российской Федерации по переселению граждан из не предназначенных для проживания помещений, созданных в период промышленного освоения Сибири и Дальнего Востока, и жилых помещений, сведения о которых содержатся в сформированном уполномоченным исполнительным органом Ханты-Мансийского автономного округа - Югры до 30 ноября 2022 г. списке граждан, проживающих в помещениях, расположенных в многоквартирных домах на территории Ханты-Мансийского автономного округа - Югры, не отвечающих требованиям в связи с превышением предельно допустимой концентрации фенола и (или) формальдегида, и подлежащих переселению, и (или) предоставлению субсидий местным бюджетам из бюджетов субъектов Российской Федерации на указанные цели (далее - мероприятия по обеспечению жильем граждан, субсидии).
(п. 1 в ред.
Постановления Правительства РФ от 14.08.2025 N 1223)
2. Мероприятия по обеспечению жильем граждан, проживающих в не предназначенных для проживания помещениях, созданных в период промышленного освоения Сибири и Дальнего Востока, реализуются в отношении граждан, отвечающих совокупности следующих критериев:
а) гражданин постоянно проживает на территории муниципального образования, расположенного на территории Республики Бурятия, Республики Саха (Якутия), Забайкальского края, Красноярского края, Амурской области, Иркутской области, Тюменской области, Ханты-Мансийского автономного округа - Югры и Ямало-Ненецкого автономного округа, в помещении, не соответствующем положениям
статей 15 и
16 Жилищного кодекса Российской Федерации (далее - помещения);
(пп. "а" в ред.
Постановления Правительства РФ от 14.08.2025 N 1223)
б) помещение предоставлено гражданину для проживания до 30 марта 1999 г. либо гражданин является членом семьи лица, которому такое помещение предоставлено до 30 марта 1999 г., и проживает в этом помещении;
(пп. "б" в ред.
Постановления Правительства РФ от 09.11.2021 N 1924)
в) гражданин признан или может быть признан нуждающимся в жилом помещении, предоставляемом по договору социального найма, по основаниям, предусмотренным
статьей 51 Жилищного кодекса Российской Федерации, за исключением таких граждан, являющихся нанимателями жилых помещений по договорам социального найма, договорам найма жилых помещений жилищного фонда социального использования или членами семьи нанимателя жилого помещения по договору социального найма, договору найма жилых помещений жилищного фонда социального использования либо собственниками жилых помещений или членами семьи собственника жилого помещения и обеспеченных общей площадью жилого помещения на одного члена семьи более учетной нормы, в случае, если такие жилые помещения находятся в многоквартирных домах, признанных аварийными и подлежащими сносу или реконструкции;
г) ранее гражданин не являлся получателем мер социальной поддержки в виде обеспечения жилым помещением за счет средств бюджетов бюджетной системы Российской Федерации.
2(1). Мероприятия по обеспечению жильем граждан, проживающих в жилых помещениях, сведения о которых содержатся в сформированном уполномоченным исполнительным органом Ханты-Мансийского автономного округа - Югры до 30 ноября 2022 г. списке граждан, проживающих в помещениях, расположенных в многоквартирных домах на территории Ханты-Мансийского автономного округа - Югры, не отвечающих требованиям в связи с превышением предельно допустимой концентрации фенола и (или) формальдегида, и подлежащих переселению, реализуются в отношении граждан, отвечающих совокупности следующих критериев:
а) гражданин постоянно проживает на территории муниципального образования, расположенного на территории Ханты-Мансийского автономного округа - Югры, в жилом помещении, не соответствующем положениям
статьи 23 Федерального закона "О санитарно-эпидемиологическом благополучии населения" в связи с превышением предельно допустимой концентрации фенола и (или) формальдегида в соответствии с протоколами лабораторных исследований (испытаний) и заключениями по ним, выданными до 31 декабря 2025 г., занимаемом по договору социального найма или принадлежащем ему на праве собственности и находящемся в многоквартирном доме, введенном в эксплуатацию до 1 января 2002 г., при условии, если помещение не включено в региональную программу по переселению граждан из аварийного жилищного фонда;
б) гражданин включен в список граждан, подлежащих переселению из жилых помещений, не отвечающих требованиям в связи с превышением предельно допустимой концентрации фенола и (или) формальдегида и находящихся на территории Ханты-Мансийского автономного округа - Югры, утвержденный уполномоченным исполнительным органом Ханты-Мансийского автономного округа - Югры;
в) ранее гражданин не являлся получателем иных мер социальной поддержки в виде обеспечения жилым помещением за счет средств бюджетов бюджетной системы Российской Федерации.
(п. 2(1) в ред.
Постановления Правительства РФ от 14.08.2025 N 1223)
3. Мероприятия по обеспечению жильем граждан включают:
а) мероприятия, связанные со строительством жилых помещений для предоставления гражданам, указанным в
пунктах 2 и
2(1) настоящих Правил;
б) мероприятия по предоставлению гражданам, указанным в
пунктах 2 и
2(1) настоящих Правил, социальных выплат на приобретение (строительство) жилых помещений.
в) мероприятия, связанные с приобретением жилых помещений, в том числе на вторичном рынке жилья, для предоставления гражданам, указанным в
пункте 2(1) настоящих Правил.
4. Порядок реализации мероприятий по обеспечению жильем граждан, указанных в
пунктах 2 и
2(1) настоящих Правил, устанавливается нормативным правовым актом субъекта Российской Федерации и предусматривает:
а) возможность использования социальной выплаты на приобретение (строительство) жилых помещений (в случае софинансирования из федерального бюджета расходных обязательств субъекта Российской Федерации по реализации мероприятий по обеспечению жильем граждан, указанных в
подпункте "б" пункта 3 настоящих Правил) для приобретения жилого помещения у любых физических или юридических лиц, уплаты первоначального взноса по ипотечному жилищному кредиту, уплаты цены договора строительного подряда по строительству индивидуального жилого дома, уплаты цены договора участия в долевом строительстве, который предусматривает в качестве объекта долевого строительства жилое помещение, путем внесения соответствующих денежных средств на счет эскроу;
б) утратил силу. -
Постановление Правительства РФ от 09.11.2021 N 1924;
в) необходимость подтверждения гражданами, указанными в
пункте 2 настоящих Правил, факта проживания в помещении одним из следующих документов:
ордер;
платежный документ (платежные документы) о внесении платы за помещение и коммунальные услуги не менее чем за 6 календарных месяцев подряд в период проживания до 30 сентября 1999 г.;
судебное решение, на основании которого возникло право проживания в помещении;
в(1)) необходимость подтверждения гражданами, указанными в
пункте 2(1) настоящих Правил, факта проживания в жилом помещении одним из следующих документов:
судебное решение, на основании которого возникло право проживания в жилом помещении;
договор социального найма жилого помещения либо выписка из Единого государственного реестра недвижимости о зарегистрированном праве собственности на жилое помещение;
(пп. "в(1)" введен
Постановлением Правительства РФ от 30.11.2022 N 2192)
г) осуществление предусмотренных законодательством Российской Федерации действий, направленных на освобождение гражданами, указанными в
пункте 2 настоящих Правил, помещений и гражданами, указанными в
пункте 2(1) настоящих Правил, жилых помещений при реализации в отношении таких граждан мероприятий по обеспечению жильем.
5. Адресное (пообъектное) распределение субсидий по объектам капитального строительства и объектам недвижимого имущества в рамках мероприятий по обеспечению жильем граждан, указанных в
подпунктах "а" и
"в" пункта 3 настоящих Правил, определяется в соответствии с
пунктом 5 Правил формирования, предоставления и распределения субсидий из федерального бюджета бюджетам субъектов Российской Федерации, утвержденных постановлением Правительства Российской Федерации от 30 сентября 2014 г. N 999 "О формировании, предоставлении и распределении субсидий из федерального бюджета бюджетам субъектов Российской Федерации" (далее соответственно - адресное (пообъектное) распределение, Правила формирования, предоставления и распределения субсидий). Для включения объектов капитального строительства и объектов недвижимого имущества в адресное (пообъектное) распределение или внесения в адресное (пообъектное) распределение изменений высший исполнительный орган субъекта Российской Федерации направляет в Министерство строительства и жилищно-коммунального хозяйства Российской Федерации в отношении каждого такого объекта следующие документы и сведения:
а) наименование объекта капитального строительства;
б) мощность объекта капитального строительства, подлежащего вводу в эксплуатацию;
в) срок ввода в эксплуатацию;
г) размер бюджетных ассигнований федерального бюджета, планируемых на софинансирование объекта капитального строительства;
д) копия положительного заключения государственной экспертизы проектной документации и результатов инженерных изысканий, выполненных для подготовки этой проектной документации (в случае если проведение такой экспертизы в соответствии с законодательством Российской Федерации является обязательным). В проектной документации по объектам капитального строительства, реализуемым на территории Дальневосточного федерального округа, необходимо предусматривать перечень мероприятий и затраты по привлечению студенческих строительных отрядов;
е) документы об утверждении проектной документации в соответствии с законодательством Российской Федерации (в случае, если в соответствии с законодательством Российской Федерации подготовка проектной документации является обязательной);
ж) копия положительного заключения о достоверности определения сметной стоимости объекта капитального строительства;
з) утратил силу. -
Постановление Правительства РФ от 09.11.2021 N 1924;
и) сведения, необходимые для проведения проверки инвестиционного проекта на предмет эффективности использования средств федерального бюджета, направляемых на капитальные вложения, предусмотренные
Правилами проведения проверки инвестиционных проектов на предмет эффективности использования средств федерального бюджета, направляемых на капитальные вложения, утвержденными постановлением Правительства Российской Федерации от 15 марта 2023 г. N 399 "О случаях и порядке проведения проверки инвестиционных проектов на предмет эффективности использования средств федерального бюджета, направляемых на капитальные вложения, о внесении изменений в некоторые акты Правительства Российской Федерации, приостановлении действия постановления Правительства Российской Федерации от 12 августа 2008 г. N 590 и отдельных положений некоторых актов Правительства Российской Федерации, а также признании утратившими силу некоторых актов и отдельных положений некоторых актов Правительства Российской Федерации", - в случаях, определенных указанным постановлением;
(пп. "и" в ред.
Постановления Правительства РФ от 05.08.2024 N 1053)
к) паспорт инвестиционного проекта по форме, утвержденной Министерством строительства и жилищно-коммунального хозяйства Российской Федерации;
л) копии правоустанавливающих документов на земельный участок.
6. Субсидии предоставляются в пределах бюджетных ассигнований, предусмотренных в федеральном законе о федеральном бюджете на соответствующий год и плановый период, и лимитов бюджетных обязательств, доведенных до Министерства строительства и жилищно-коммунального хозяйства Российской Федерации как получателя средств федерального бюджета, на цели, указанные в
пункте 1 настоящих Правил.
(п. 7 в ред.
Постановления Правительства РФ от 14.08.2025 N 1223)
7(1). Предоставление субсидии бюджету субъекта Российской Федерации осуществляется на основании соглашения о предоставлении субсидии из федерального бюджета бюджету субъекта Российской Федерации (далее - соглашение), подготавливаемого (формируемого) и заключаемого в государственной интегрированной информационной системе управления общественными финансами "Электронный бюджет" в соответствии с
типовой формой, утвержденной Министерством финансов Российской Федерации.
(п. 7(1) в ред.
Постановления Правительства РФ от 14.08.2025 N 1223)
8. Размер субсидии субъекту Российской Федерации (Ci) определяется по формуле:
где:
C - объем бюджетных ассигнований федерального бюджета на соответствующий финансовый год для предоставления субсидий;
Зi - размер бюджетных ассигнований, необходимых для финансового обеспечения реализации мероприятий по обеспечению жильем граждан на очередной финансовый год, заявленный i-м субъектом Российской Федерации;
Y
i - предельный уровень софинансирования расходного обязательства субъекта Российской Федерации из федерального бюджета, утверждаемый Правительством Российской Федерации в соответствии с
пунктом 13 Правил формирования, предоставления и распределения субсидий;
n - число субъектов Российской Федерации, между бюджетами которых распределяются субсидии.
8(1). Уровень софинансирования расходного обязательства субъекта Российской Федерации за счет субсидии устанавливается в размере предельного уровня софинансирования расходного обязательства субъекта Российской Федерации из федерального бюджета, утверждаемого Правительством Российской Федерации в соответствии с
пунктом 13 Правил формирования, предоставления и распределения субсидий.
9. Размер бюджетных ассигнований, необходимых для финансового обеспечения реализации мероприятий по обеспечению жильем граждан, определяется субъектом Российской Федерации на основании утвержденных уполномоченным исполнительным органом субъекта Российской Федерации списков граждан, указанных в
пунктах 2 и
2(1) настоящих Правил, исходя из размера средней рыночной стоимости 1 кв. метра общей площади жилого помещения по субъекту Российской Федерации, определяемого Министерством строительства и жилищно-коммунального хозяйства Российской Федерации, и норматива обеспечения жилой площадью, составляющего 33 кв. метра для одиноко проживающих граждан, 42 кв. метра для семей из 2 человек и по 18 кв. метров на одного человека для семей из 3 и более человек.
Списки граждан, указанных в
пунктах 2 и
2(1) настоящих Правил, утвержденные уполномоченным исполнительным органом субъекта Российской Федерации, представляются ежегодно по состоянию на 1 января года предоставления субсидии в Министерство строительства и жилищно-коммунального хозяйства Российской Федерации не позднее 1 февраля года предоставления субсидии.
9(1). Высший исполнительный орган субъекта Российской Федерации в соответствии с законодательством Российской Федерации несет ответственность за достоверность сведений, содержащихся в документах и сведениях, представляемых в Министерство строительства и жилищно-коммунального хозяйства Российской Федерации, в соответствии с
пунктами 5 и
9 настоящих Правил.
(п. 9(1) введен
Постановлением Правительства РФ от 09.11.2021 N 1924; в ред. Постановлений Правительства РФ от 30.11.2022
N 2192, от 09.12.2022
N 2272)
10. Распределение субсидий между бюджетами субъектов Российской Федерации утверждается федеральным законом о федеральном бюджете на соответствующий финансовый год и плановый период.
11. Эффективность использования субсидии оценивается Министерством строительства и жилищно-коммунального хозяйства Российской Федерации путем сравнения фактически достигнутых и предусмотренных соглашением плановых значений результата использования субсидии - количества семей граждан, обеспеченных жильем путем предоставления жилых помещений или социальной выплаты.
12. Уполномоченные высшим исполнительным органом субъекта Российской Федерации исполнительные органы субъекта Российской Федерации представляют в порядке и сроки, установленные соглашением, в государственной интегрированной информационной системе управления общественными финансами "Электронный бюджет" отчетность об осуществлении расходов, в целях софинансирования которых предоставляется субсидия, а также о достижении значений результатов использования субсидии.
(п. 12 в ред.
Постановления Правительства РФ от 05.08.2024 N 1053)
13. Увеличение в одностороннем порядке субъектом Российской Федерации размера средств бюджета субъекта Российской Федерации на реализацию мероприятий по обеспечению жильем граждан не влечет обязательств по увеличению размера субсидии.
14. Перечисление субсидий осуществляется в установленном порядке на единые счета бюджетов, открытые финансовым органам субъектов Российской Федерации в территориальных органах Федерального казначейства.
(п. 14 в ред.
Постановления Правительства РФ от 09.11.2021 N 1924)
15. В целях предоставления социальных выплат на приобретение (строительство) жилых помещений лицам, указанным в
пунктах 2 и
2(1) настоящих Правил, поступившие в бюджет субъекта Российской Федерации (местный бюджет) средства в размере, необходимом для предоставления социальной выплаты на приобретение (строительство) жилых помещений, перечисляются на счет, на котором в соответствии с бюджетным законодательством Российской Федерации учитываются операции со средствами, поступающими во временное распоряжение получателей средств бюджета субъекта Российской Федерации (местного бюджета), с отражением указанных операций на лицевых счетах, открытых органам государственной власти субъекта Российской Федерации (органам местного самоуправления) как получателям бюджетных средств в территориальном органе Федерального казначейства или финансовом органе субъекта Российской Федерации (финансовом органе муниципального образования).
Перечисление средств с лицевых счетов, на которых в соответствии с бюджетным законодательством Российской Федерации учитываются операции со средствами, поступающими во временное распоряжение получателей средств бюджета субъекта Российской Федерации (местного бюджета), осуществляется на основании представленных в территориальный орган Федерального казначейства или финансовый орган субъекта Российской Федерации (финансовый орган муниципального образования) органами государственной власти субъекта Российской Федерации (органами местного самоуправления) утвержденных указанными органами списков получателей социальных выплат с указанием размера социальной выплаты для каждого получателя.
16. Основания и порядок применения мер финансовой ответственности к субъекту Российской Федерации при невыполнении им условий соглашения (включая обязательства субъекта Российской Федерации), в том числе порядок и условия возврата средств из бюджета субъекта Российской Федерации в федеральный бюджет, установлены
пунктами 16 -
19 Правил формирования, предоставления и распределения субсидий. Основания и порядок освобождения субъекта Российской Федерации от применения указанных мер финансовой ответственности установлены
пунктом 20 Правил формирования, предоставления и распределения субсидий.
(п. 16 в ред.
Постановления Правительства РФ от 05.08.2024 N 1053)
17. В случае нарушения целей, установленных при предоставлении субсидии, применяются бюджетные меры принуждения, предусмотренные бюджетным законодательством Российской Федерации.
(п. 17 в ред.
Постановления Правительства РФ от 05.08.2024 N 1053)
18. Контроль за соблюдением субъектами Российской Федерации целей, порядка и условий предоставления субсидий осуществляется Министерством строительства и жилищно-коммунального хозяйства Российской Федерации и уполномоченными органами государственного финансового контроля.
к государственной программе
Российской Федерации "Обеспечение
доступным и комфортным жильем
и коммунальными услугами граждан
Российской Федерации"
ПРЕДОСТАВЛЕНИЯ СУБСИДИИ ИЗ ФЕДЕРАЛЬНОГО БЮДЖЕТА БЮДЖЕТУ
НИЖЕГОРОДСКОЙ ОБЛАСТИ НА РЕАЛИЗАЦИЮ МЕРОПРИЯТИЙ В РАМКАХ
ПОДГОТОВКИ И ПРОВЕДЕНИЯ ПРАЗДНОВАНИЯ 800-ЛЕТИЯ ОСНОВАНИЯ
Г. НИЖНЕГО НОВГОРОДА
| | Список изменяющих документов | |
1. Настоящие Правила устанавливают цели, условия и порядок предоставления субсидии из федерального бюджета бюджету Нижегородской области на реализацию мероприятий по комплексному благоустройству городского парка "Приокский" г. Нижнего Новгорода в рамках подготовки и проведения празднования 800-летия основания г. Нижнего Новгорода (далее - субсидия).
2. Субсидия предоставляется в пределах бюджетных ассигнований, предусмотренных в федеральном законе о федеральном бюджете на соответствующий финансовый год и плановый период, и лимитов бюджетных обязательств, доведенных до Министерства строительства и жилищно-коммунального хозяйства Российской Федерации как получателя средств федерального бюджета, на цели, указанные в
пункте 1 настоящих Правил.
3. Субсидия предоставляется при соблюдении следующих условий:
а) наличие нормативного правового акта Нижегородской области, утверждающего государственную программу Нижегородской области, предусматривающую мероприятия, в целях софинансирования которых предоставляется субсидия;
б) наличие в бюджете Нижегородской области бюджетных ассигнований на исполнение расходного обязательства Нижегородской области по финансовому обеспечению мероприятий, указанных в
пункте 1 настоящих Правил, софинансирование которых осуществляется из федерального бюджета, в объеме, необходимом для его исполнения, включающем размер планируемой к предоставлению из федерального бюджета субсидии;
в) заключение между Министерством строительства и жилищно-коммунального хозяйства Российской Федерации и высшим исполнительным органом Нижегородской области соглашения о предоставлении субсидии в соответствии с
пунктом 10 Правил формирования, предоставления и распределения субсидий из федерального бюджета бюджетам субъектов Российской Федерации, утвержденных постановлением Правительства Российской Федерации от 30 сентября 2014 г. N 999 "О формировании, предоставлении и распределении субсидий из федерального бюджета бюджетам субъектов Российской Федерации" (далее соответственно - соглашение, Правила предоставления субсидий).
4. Уровень софинансирования расходного обязательства Нижегородской области за счет субсидии устанавливается соглашением в размере, не превышающем предельный уровень софинансирования расходного обязательства Нижегородской области из федерального бюджета, утверждаемый Правительством Российской Федерации в соответствии с
пунктом 13 Правил предоставления субсидий.
5. Предоставление субсидии осуществляется на основании соглашения, заключаемого в государственной интегрированной информационной системе управления общественными финансами "Электронный бюджет" в соответствии с
типовой формой, утвержденной Министерством финансов Российской Федерации.
6. Оценка эффективности использования субсидии осуществляется Министерством строительства и жилищно-коммунального хозяйства Российской Федерации путем сравнения фактически достигнутых и предусмотренных соглашением плановых значений результата использования субсидии - уровня выполнения мероприятий по комплексному благоустройству городского парка "Приокский" г. Нижнего Новгорода, определенных графиком выполнения мероприятий, предусмотренным соглашением, в сроки, установленные этим графиком.
7. Высший исполнительный орган Нижегородской области ежеквартально, не позднее 15-го числа месяца, следующего за отчетным кварталом, представляет в Министерство строительства и жилищно-коммунального хозяйства Российской Федерации в порядке, установленном соглашением, отчетность об осуществлении расходов бюджета субъекта Российской Федерации, в целях софинансирования которых предоставляется субсидия, а также о достижении значений результата использования субсидии.
8. Отношения, возникающие при нарушении Нижегородской областью обязательств, предусмотренных соглашением, а также основания ее освобождения от мер финансовой ответственности регулируются
Правилами предоставления субсидий.
9. Перечисление субсидии осуществляется в установленном порядке на счета, открытые территориальному органу Федерального казначейства по Нижегородской области в учреждении Центрального банка Российской Федерации для учета операций со средствами бюджетов субъектов Российской Федерации.
10. В случае нецелевого использования субсидии к Нижегородской области применяются бюджетные меры принуждения, предусмотренные бюджетным законодательством Российской Федерации.
11. Контроль за соблюдением Нижегородской областью целей, условий и порядка предоставления субсидий осуществляется Министерством строительства и жилищно-коммунального хозяйства Российской Федерации и уполномоченными органами государственного финансового контроля.
к государственной программе
Российской Федерации "Обеспечение
доступным и комфортным жильем
и коммунальными услугами граждан
Российской Федерации"
СВОДНАЯ ИНФОРМАЦИЯ
ПО ОПЕРЕЖАЮЩЕМУ РАЗВИТИЮ ПРИОРИТЕТНЫХ ТЕРРИТОРИЙ
ПО НАПРАВЛЕНИЯМ (ПОДПРОГРАММАМ) ГОСУДАРСТВЕННОЙ ПРОГРАММЫ
РОССИЙСКОЙ ФЕДЕРАЦИИ "ОБЕСПЕЧЕНИЕ ДОСТУПНЫМ И КОМФОРТНЫМ
ЖИЛЬЕМ И КОММУНАЛЬНЫМИ УСЛУГАМИ ГРАЖДАН
РОССИЙСКОЙ ФЕДЕРАЦИИ"
Утратила силу с 1 января 2022 года. -
Постановление Правительства РФ от 29.12.2021 N 2570.
к государственной программе
Российской Федерации "Обеспечение
доступным и комфортным жильем
и коммунальными услугами граждан
Российской Федерации"
ПРЕДОСТАВЛЕНИЯ В 2018 ГОДУ ИНОГО МЕЖБЮДЖЕТНОГО
ТРАНСФЕРТА ИЗ ФЕДЕРАЛЬНОГО БЮДЖЕТА БЮДЖЕТУ КРАСНОДАРСКОГО
КРАЯ НА РЕАЛИЗАЦИЮ МЕРОПРИЯТИЙ ПО РАЗВИТИЮ КОММУНАЛЬНОЙ
ИНФРАСТРУКТУРЫ В ГОРОДЕ ГЕЛЕНДЖИКЕ ПУТЕМ ЗАКЛЮЧЕНИЯ
КОНЦЕССИОННОГО СОГЛАШЕНИЯ
| | Список изменяющих документов | |
1. Настоящие Правила устанавливают цели, порядок и условия предоставления в 2018 году иного межбюджетного
трансферта из федерального бюджета бюджету Краснодарского края на реализацию мероприятий по развитию коммунальной инфраструктуры в городе Геленджике путем заключения концессионного соглашения в рамках основного мероприятия "Содействие развитию коммунальной и инженерной инфраструктуры государственной собственности субъектов Российской Федерации (муниципальной собственности)" государственной программы Российской Федерации "Обеспечение доступным и комфортным жильем и коммунальными услугами граждан Российской Федерации" (далее - иной межбюджетный трансферт).
Концессионное соглашение заключается в соответствии с Федеральным
законом "О концессионных соглашениях".
2. Иной межбюджетный трансферт предоставляется в 2018 году в целях софинансирования расходного обязательства Краснодарского края, связанного с реализацией мероприятий по развитию коммунальной инфраструктуры в городе Геленджике путем заключения концессионного соглашения.
3. Иной межбюджетный трансферт предоставляется в пределах бюджетных ассигнований, предусмотренных федеральным законом о федеральном бюджете на текущий финансовый год и плановый период, и лимитов бюджетных обязательств, доведенных до Министерства строительства и жилищно-коммунального хозяйства Российской Федерации как получателя средств федерального бюджета на предоставление иного межбюджетного трансферта на цели, указанные в
пункте 2 настоящих Правил.
4. Иной межбюджетный трансферт предоставляется бюджету Краснодарского края при соблюдении следующих условий:
а) наличие в бюджете Краснодарского края на 2018 год бюджетных ассигнований на исполнение расходного обязательства Краснодарского края, связанного с реализацией мероприятий по развитию коммунальной инфраструктуры в городе Геленджике путем заключения концессионного соглашения, в целях софинансирования которого предоставляется иной межбюджетный трансферт;
б) наличие утвержденной государственной программы Краснодарского края, содержащей мероприятия по развитию коммунальной инфраструктуры в городе Геленджике, на софинансирование которых предоставляется иной межбюджетный трансферт, и предусматривающей предоставление иного межбюджетного трансферта из бюджета Краснодарского края бюджету г. Геленджика на реализацию таких мероприятий;
в) заключение муниципальным образованием город-курорт Геленджик с участием Краснодарского края в качестве самостоятельной (третьей) стороны концессионного соглашения, предусматривающего в том числе направление платы концедента концессионеру на строительство очистных сооружений канализации производительностью 50 тыс. куб. м в сутки и глубоководного выпуска по ул. Солнцедарская, б/н в г. Геленджике.
5. Предоставление иного межбюджетного трансферта осуществляется на основании соглашения между Министерством строительства и жилищно-коммунального хозяйства Российской Федерации и высшим исполнительным органом Краснодарского края, заключаемого в соответствии с
типовой формой соглашения, утвержденной Министерством финансов Российской Федерации.
6. Предельный уровень софинансирования расходного обязательства Краснодарского края из федерального бюджета установлен на 2018 год в размере 76 процентов.
7. Показателем результативности расходов бюджета Краснодарского края, в целях финансового обеспечения которых предоставляется иной межбюджетный трансферт, является выполнение мероприятий, указанных в календарном графике производства работ, который предусмотрен концессионным соглашением, в сроки, установленные этим графиком.
8. Оценка эффективности расходов бюджета Краснодарского края, в целях финансового обеспечения которых предоставляется иной межбюджетный трансферт, осуществляется Министерством строительства и жилищно-коммунального хозяйства Российской Федерации на основании сравнения сроков выполнения мероприятий, указанных в календарном графике производства работ, который предусмотрен концессионным соглашением, и фактических сроков выполнения таких мероприятий.
9. Для оценки эффективности расходов бюджета Краснодарского края, в целях финансового обеспечения которых предоставляется иной межбюджетный трансферт, уполномоченный орган государственной власти Краснодарского края представляет в Министерство строительства и жилищно-коммунального хозяйства Российской Федерации:
а) ежегодно, не позднее 25-го января года, следующего за отчетным годом, отчет об осуществлении расходов бюджета Краснодарского края, отчет о достижении показателей результативности расходов бюджета Краснодарского края по состоянию на отчетный год, в целях финансового обеспечения которых предоставляется иной межбюджетный трансферт;
б) отчет об исполнении условий предоставления иного межбюджетного трансферта - одновременно с заключением соглашения о предоставлении иного межбюджетного трансферта.
10. Перечисление иного межбюджетного трансферта осуществляется в установленном порядке на счет, открытый территориальному органу Федерального казначейства в учреждении Центрального банка Российской Федерации для учета операций со средствами бюджета Краснодарского края.
11. В случае нарушения Краснодарским краем условий предоставления иного межбюджетного трансферта к нему применяются бюджетные меры принуждения, предусмотренные бюджетным законодательством Российской Федерации.
12. Контроль за соблюдением условий предоставления иного межбюджетного трансферта осуществляется Министерством строительства и жилищно-коммунального хозяйства Российской Федерации и уполномоченными органами государственного финансового контроля.
к государственной программе
Российской Федерации "Обеспечение
доступным и комфортным жильем
и коммунальными услугами граждан
Российской Федерации"
ПРАВИЛА
ПРЕДОСТАВЛЕНИЯ И РАСПРЕДЕЛЕНИЯ ИНЫХ МЕЖБЮДЖЕТНЫХ
ТРАНСФЕРТОВ ИЗ ФЕДЕРАЛЬНОГО БЮДЖЕТА БЮДЖЕТАМ СУБЪЕКТОВ
РОССИЙСКОЙ ФЕДЕРАЦИИ НА РЕАЛИЗАЦИЮ МЕРОПРИЯТИЙ
ПО СОДЕЙСТВИЮ РАЗВИТИЮ ИНФРАСТРУКТУРЫ СУБЪЕКТОВ
РОССИЙСКОЙ ФЕДЕРАЦИИ
| | Список изменяющих документов в ред. Постановлений Правительства РФ от 31.07.2020 N 1147, | |
1. Настоящие Правила устанавливают условия, цели и порядок предоставления и распределения иных межбюджетных трансфертов из федерального бюджета бюджетам субъектов Российской Федерации на реализацию мероприятий по содействию развитию инфраструктуры субъектов Российской Федерации в рамках федерального проекта "Содействие развитию инфраструктуры субъектов Российской Федерации (муниципальных образований)" государственной программы Российской Федерации "Обеспечение доступным и комфортным жильем и коммунальными услугами граждан Российской Федерации" (далее - иные межбюджетные трансферты).
2. Иные межбюджетные трансферты предоставляются в целях:
а) финансирования в полном объеме расходных обязательств субъекта Российской Федерации по реализации государственных программ субъекта Российской Федерации, предусматривающих мероприятия, направленные на развитие инфраструктуры субъектов Российской Федерации, и (или) возмещения расходов, осуществленных бюджетом субъекта Российской Федерации при исполнении расходных обязательств субъекта Российской Федерации по реализации указанных мероприятий (далее - расходы на мероприятия по развитию инфраструктуры);
б) финансирования в полном объеме расходных обязательств субъекта Российской Федерации по реализации государственных программ субъекта Российской Федерации, предусматривающих мероприятия, направленные на подготовку международных мероприятий, решения о проведении которых приняты Президентом Российской Федерации и (или) Правительством Российской Федерации, и (или) возмещения расходов, осуществленных бюджетом субъекта Российской Федерации при исполнении расходных обязательств субъекта Российской Федерации по реализации указанных мероприятий (далее - расходы на подготовку международных мероприятий);
в) возмещения расходов, осуществленных бюджетом субъекта Российской Федерации при исполнении расходных обязательств субъекта Российской Федерации по реализации государственных программ субъектов Российской Федерации, предусматривающих мероприятия по переселению граждан из аварийного жилищного фонда (далее - расходы по переселению граждан из аварийного жилищного фонда);
г) финансирования в полном объеме расходных обязательств субъекта Российской Федерации по реализации государственных программ субъекта Российской Федерации, предусматривающих мероприятия по ликвидации последствий чрезвычайных ситуаций и социальной поддержке граждан, жилые помещения которых утрачены или повреждены в результате чрезвычайных ситуаций, произошедших на территории субъекта Российской Федерации, в порядке, установленном Правительством Российской Федерации, и (или) возмещения расходов, осуществленных бюджетом субъекта Российской Федерации при исполнении расходных обязательств субъекта Российской Федерации по реализации указанных мероприятий.
3. Иные межбюджетные трансферты предоставляются в пределах лимитов бюджетных обязательств, доведенных до Министерства строительства и жилищно-коммунального хозяйства Российской Федерации как получателя средств федерального бюджета на предоставление иных межбюджетных трансфертов на цели, указанные в
пункте 2 настоящих Правил.
4. Распределение иных межбюджетных трансфертов утверждается актом Правительства Российской Федерации, в случае если оно не утверждено федеральным законом о федеральном бюджете на соответствующий финансовый год и плановый период.
Предложения о распределении иных межбюджетных трансфертов подготавливаются и вносятся на утверждение в Правительство Российской Федерации Министерством строительства и жилищно-коммунального хозяйства Российской Федерации.
5. Условиями предоставления иных межбюджетных трансфертов являются:
а) наличие утвержденного нормативного правового акта субъекта Российской Федерации, включающего перечень мероприятий (результатов), при реализации которых возникают расходные обязательства субъекта Российской Федерации, в целях софинансирования которых и (или) возмещения расходов на реализацию которых предоставляется иной межбюджетный трансферт;
б) наличие в бюджете субъекта Российской Федерации (сводной бюджетной росписи субъекта Российской Федерации) бюджетных ассигнований на исполнение расходного обязательства субъекта Российской Федерации, связанного с реализацией государственных программ субъектов Российской Федерации, в целях софинансирования которого и (или) возмещения расходов на реализацию которого предоставляются иные межбюджетные трансферты, в размере, необходимом для его исполнения;
в) заключение соглашения о предоставлении иного межбюджетного трансферта.
6. Предоставление иных межбюджетных трансфертов осуществляется на основании соглашения о предоставлении иного межбюджетного трансферта, заключаемого Министерством строительства и жилищно-коммунального хозяйства Российской Федерации и высшим исполнительным органом субъекта Российской Федерации (далее - соглашение) в форме электронного документа посредством государственной интегрированной информационной системы управления общественными финансами "Электронный бюджет" в соответствии с
типовой формой соглашения, утвержденной Министерством финансов Российской Федерации.
7. Исполнительный орган субъекта Российской Федерации, уполномоченный высшим исполнительным органом субъекта Российской Федерации, размещает в установленные сроки в соответствии с соглашением в государственной интегрированной информационной системе управления общественными финансами "Электронный бюджет":
(в ред. Постановлений Правительства РФ от 09.12.2022
N 2272, от 06.02.2023
N 165)
отчет о расходах бюджета субъекта Российской Федерации, в целях софинансирования которых и (или) возмещения которых предоставляются иные межбюджетные трансферты;
отчет о достижении значений результатов предоставления иных межбюджетных трансфертов.
При заключении соглашения высший исполнительный орган субъекта Российской Федерации представляет в Министерство строительства и жилищно-коммунального хозяйства Российской Федерации в свободной форме отчет об исполнении условий предоставления иных межбюджетных трансфертов, предусмотренных
пунктом 5 настоящих Правил, с приложением к нему нормативного правового акта субъекта Российской Федерации, указанного в
подпункте "а" пункта 5 настоящих Правил, и выписки из закона субъекта Российской Федерации о бюджете субъекта Российской Федерации (сводной бюджетной росписи бюджета субъекта Российской Федерации).
8. Результатом предоставления иных межбюджетных трансфертов, предоставленных в целях софинансирования и (или) возмещения расходов на мероприятия по развитию инфраструктуры, является "Количество завершенных строительством объектов инфраструктуры в рамках реализации мероприятия "Содействие реализации комплекса мероприятий по развитию инфраструктуры субъектов Российской Федерации".
Результатами предоставления иных межбюджетных трансфертов, предоставленных в целях софинансирования и (или) возмещения расходов на подготовку международных мероприятий, являются целевые показатели государственных программ субъектов Российской Федерации, устанавливающие обеспеченность субъектов Российской Федерации соответствующей инфраструктурой, необходимой для проведения международных мероприятий (процентов).
Результатами предоставления иных межбюджетных трансфертов, предоставленных в целях возмещения расходов по переселению граждан из аварийного жилищного фонда, является достижение целевых показателей государственных программ субъектов Российской Федерации, устанавливающих количество граждан, переселенных из аварийного жилищного фонда (тыс. человек), и (или) количество квадратных метров расселенного аварийного жилищного фонда (тыс. кв. метров).
Результатами предоставления иных межбюджетных трансфертов, предоставленных в целях софинансирования расходных обязательств субъекта Российской Федерации по реализации государственных программ субъекта Российской Федерации, предусматривающих мероприятия по ликвидации последствий чрезвычайных ситуаций и социальной поддержке граждан, жилые помещения которых утрачены или повреждены в результате чрезвычайных ситуаций, произошедших на территории субъекта Российской Федерации, и (или) возмещения расходов, осуществленных бюджетом субъекта Российской Федерации при исполнении расходных обязательств субъекта Российской Федерации по реализации указанных мероприятий, являются результаты, указанные в соглашении в соответствии с актом Правительства Российской Федерации о выделении бюджетных ассигнований.
9. Перечисление иных межбюджетных трансфертов на цели, указанные в
подпунктах "а",
"б", и
"г" пункта 2 настоящих Правил, осуществляется на единые счета бюджетов, открытые финансовым органам субъектов Российской Федерации в территориальных органах Федерального казначейства, за исключением случаев предоставления иных межбюджетных трансфертов в целях возмещения расходов, осуществленных бюджетом субъекта Российской Федерации при исполнении расходных обязательств субъекта Российской Федерации.
Перечисление иных межбюджетных трансфертов в случае их предоставления в целях возмещения расходов, осуществленных бюджетом субъекта Российской Федерации при исполнении расходных обязательств субъекта Российской Федерации, осуществляется на казначейские счета, открытые территориальным органам Федерального казначейства для осуществления и отражения операций по учету поступлений и их распределению, за исключением случаев софинансирования расходных обязательств субъекта Российской Федерации.
10. Перечисление иных межбюджетных трансфертов, предоставленных в целях возмещения осуществленных бюджетом субъекта Российской Федерации расходов на мероприятия по развитию инфраструктуры, и (или) расходов на подготовку международных мероприятий, и (или) расходов по переселению граждан из аварийного жилищного фонда, осуществляется после проверки Федеральным казначейством документов, подтверждающих осуществление соответствующих расходов бюджетов субъектов Российской Федерации.
11. В случае если субъектом Российской Федерации по состоянию на 31 декабря текущего финансового года допущено нарушение предусмотренного соглашением обязательства субъекта Российской Федерации по достижению результатов предоставления иных межбюджетных трансфертов и до 1 апреля года, следующего за годом предоставления иных межбюджетных трансфертов, указанное нарушение не устранено, размер средств, подлежащих возврату из бюджета субъекта Российской Федерации в федеральный бюджет до 1 июня года, следующего за годом предоставления иных межбюджетных трансфертов (V
возврата), определяется по формуле:
Vвозврата = Vтр x Di x 0,1,
где:
Vтр - размер иных межбюджетных трансфертов, предоставленных бюджету субъекта Российской Федерации;
D
i - индекс, отражающий уровень недостижения планового значения i-го результата предоставления иных межбюджетных трансфертов, определяемый в соответствии с
пунктом 12 настоящих Правил.
12. Индекс, отражающий уровень недостижения планового значения i-го результата предоставления иных межбюджетных трансфертов (D
i), определяется по формуле:

,
где:
Ti - фактически достигнутое значение i-го результата предоставления иных межбюджетных трансфертов на отчетную дату;
Si - плановое значение i-го результата предоставления иных межбюджетных трансфертов, установленное соглашением.
13. При расчете объема средств, подлежащих возврату из бюджета субъекта Российской Федерации в федеральный бюджет, в размере иного межбюджетного трансферта, предоставленного бюджету субъекта Российской Федерации в отчетном финансовом году, не учитывается размер остатка иного межбюджетного трансферта, не использованного по состоянию на 1 января текущего финансового года.
14. Основанием для освобождения субъектов Российской Федерации от применения мер ответственности, предусмотренных
пунктом 11 настоящих Правил, является документально подтвержденное наступление обстоятельств непреодолимой силы, препятствующих исполнению соответствующих обязательств, установленных
пунктом 20 Правил формирования, предоставления и распределения субсидий из федерального бюджета бюджетам субъектов Российской Федерации, утвержденных постановлением Правительства Российской Федерации от 30 сентября 2014 г. N 999 "О формировании, предоставлении и распределении субсидий из федерального бюджета бюджетам субъектов Российской Федерации".
15. Ответственность за достоверность представляемых в Министерство строительства и жилищно-коммунального хозяйства Российской Федерации информации и документов, предусмотренных настоящими Правилами, возлагается на высший исполнительный орган субъекта Российской Федерации.
16. В случае нарушения субъектом Российской Федерации целей, установленных при предоставлении иных межбюджетных трансфертов, к нему применяются меры принуждения, предусмотренные бюджетным законодательством Российской Федерации.
(п. 16 в ред.
Постановления Правительства РФ от 06.02.2023 N 165)
17. Оценка эффективности предоставления иных межбюджетных трансфертов осуществляется Министерством строительства и жилищно-коммунального хозяйства Российской Федерации путем сравнения фактически достигнутых значений результатов предоставления иных межбюджетных трансфертов, отраженных в отчете о достижении значений результатов предоставления иных межбюджетных трансфертов, представляемом субъектом Российской Федерации за отчетный период в соответствии с
пунктом 7 настоящих Правил, с плановым значениями результатов предоставления иных межбюджетных трансфертов, установленными соглашением.
18. Контроль за соблюдением субъектами Российской Федерации условий предоставления иных межбюджетных трансфертов, осуществляется Министерством строительства и жилищно-коммунального хозяйства Российской Федерации и уполномоченными органами государственного финансового контроля.
к государственной программе
Российской Федерации "Обеспечение
доступным и комфортным жильем
и коммунальными услугами граждан
Российской Федерации"
ПРЕДОСТАВЛЕНИЯ И РАСПРЕДЕЛЕНИЯ СУБСИДИЙ ИЗ ФЕДЕРАЛЬНОГО
БЮДЖЕТА БЮДЖЕТАМ СУБЪЕКТОВ РОССИЙСКОЙ ФЕДЕРАЦИИ
НА ОБЕСПЕЧЕНИЕ ДЕТЕЙ-СИРОТ И ДЕТЕЙ, ОСТАВШИХСЯ БЕЗ ПОПЕЧЕНИЯ
РОДИТЕЛЕЙ, ЛИЦ ИЗ ИХ ЧИСЛА ЖИЛЫМИ ПОМЕЩЕНИЯМИ
| | Список изменяющих документов в ред. Постановлений Правительства РФ от 22.09.2021 N 1598, | |
1. Настоящие Правила определяют цели, условия и порядок предоставления и распределения субсидий из федерального бюджета бюджетам субъектов Российской Федерации на предоставление жилых помещений детям-сиротам и детям, оставшимся без попечения родителей, лицам из числа детей-сирот и детей, оставшихся без попечения родителей (далее - субсидии), а также критерии отбора субъектов Российской Федерации для предоставления субсидий.
(п. 1 в ред.
Постановления Правительства РФ от 15.11.2023 N 1914)
2. Субсидии предоставляются в целях софинансирования расходных обязательств субъектов Российской Федерации, возникающих при создании условий для роста благосостояния граждан - получателей мер социальной поддержки и предоставлении благоустроенных жилых помещений специализированного жилищного фонда по договорам найма специализированных жилых помещений детям-сиротам и детям, оставшимся без попечения родителей, лицам из числа детей-сирот и детей, оставшихся без попечения родителей, которые не являются нанимателями жилых помещений по договорам социального найма или членами семьи нанимателя жилого помещения по договору социального найма либо собственниками жилых помещений, а также детям-сиротам и детям, оставшимся без попечения родителей, лицам из числа детей-сирот и детей, оставшихся без попечения родителей, которые являются нанимателями жилых помещений по договорам социального найма или членами семьи нанимателя жилого помещения по договору социального найма либо собственниками жилых помещений, в случае если их проживание в ранее занимаемых жилых помещениях признается невозможным, подлежащим обеспечению жилыми помещениями, или выплат на приобретение благоустроенного жилого помещения в собственность или для полного погашения предоставленного на приобретение жилого помещения кредита (займа) по договору, обязательства заемщика по которому обеспечены ипотекой, лицам, предусмотренным
статьей 8.1 Федерального закона "О дополнительных гарантиях по социальной поддержке детей-сирот и детей, оставшихся без попечения родителей" (далее - расходные обязательства субъектов Российской Федерации).
(п. 2 в ред.
Постановления Правительства РФ от 15.11.2023 N 1914)
3. Критериями отбора субъектов Российской Федерации для предоставления субсидий являются:
а) наличие в субъекте Российской Федерации включенных в список на получение жилого помещения лиц из числа детей-сирот и детей, оставшихся без попечения родителей, в возрасте от 18 до 23 лет и (или) лиц из числа детей-сирот и детей, оставшихся без попечения родителей, достигших возраста 23 лет и старше, на начало текущего финансового года;
б) наличие правового акта субъекта Российской Федерации, определяющего уполномоченный исполнительный орган субъекта Российской Федерации по предоставлению благоустроенных жилых помещений специализированного жилищного фонда детям-сиротам и детям, оставшимся без попечения родителей, лицам из числа детей-сирот и детей, оставшихся без попечения родителей, по договорам найма специализированных жилых помещений или выплат на приобретение благоустроенного жилого помещения в собственность или для полного погашения предоставленного на приобретение жилого помещения кредита (займа) по договору, обязательства заемщика по которому обеспечены ипотекой, лицам, предусмотренным
статьей 8.1 Федерального закона "О дополнительных гарантиях по социальной поддержке детей-сирот и детей, оставшихся без попечения родителей";
(пп. "б" в ред.
Постановления Правительства РФ от 15.11.2023 N 1914)
в) наличие правового акта субъекта Российской Федерации, определяющего порядок установления факта невозможности проживания детей-сирот и детей, оставшихся без попечения родителей, лиц из числа детей-сирот и детей, оставшихся без попечения родителей, в ранее занимаемых жилых помещениях, нанимателями или членами семей нанимателей по договорам социального найма либо собственниками которых они являются.
4. Условиями предоставления субсидий являются:
а) наличие в бюджете субъекта Российской Федерации бюджетных ассигнований на исполнение расходного обязательства субъекта Российской Федерации, софинансирование которого осуществляется из федерального бюджета;
б) наличие государственной программы (подпрограммы) субъекта Российской Федерации, утверждающей перечень мероприятий (результатов), при реализации которых возникают расходные обязательства субъекта Российской Федерации, в целях софинансирования которых предоставляются субсидии, по предоставлению благоустроенных жилых помещений специализированного жилищного фонда детям-сиротам и детям, оставшимся без попечения родителей, лицам из числа детей-сирот и детей, оставшихся без попечения родителей, по договорам найма специализированных жилых помещений или выплат на приобретение благоустроенного жилого помещения в собственность или для полного погашения предоставленного на приобретение жилого помещения кредита (займа) по договору, обязательства заемщика по которому обеспечены ипотекой, лицам, предусмотренным
статьей 8.1 Федерального закона "О дополнительных гарантиях по социальной поддержке детей-сирот и детей, оставшихся без попечения родителей", которые должны обеспечивать отсутствие либо ежегодное сокращение задолженности субъекта Российской Федерации по обеспечению жилыми помещениями детей-сирот и детей, оставшихся без попечения родителей, лиц из числа детей-сирот и детей, оставшихся без попечения родителей, в случае наличия у субъекта Российской Федерации такой задолженности на начало отчетного финансового года;
(пп. "б" в ред.
Постановления Правительства РФ от 15.11.2023 N 1914)
в) заключение соглашения между Министерством строительства и жилищно-коммунального хозяйства Российской Федерации и высшим исполнительным органом субъекта Российской Федерации о предоставлении субсидии в соответствии с
пунктом 10 Правил формирования, предоставления и распределения субсидий из федерального бюджета бюджетам субъектов Российской Федерации, утвержденных постановлением Правительства Российской Федерации от 30 сентября 2014 г. N 999 "О формировании, предоставлении и распределении субсидий из федерального бюджета бюджетам субъектов Российской Федерации" (далее соответственно - Правила формирования, предоставления и распределения субсидий, соглашение).
5. Субсидии предоставляются в пределах лимитов бюджетных обязательств, доведенных до Министерства строительства и жилищно-коммунального хозяйства Российской Федерации как получателя средств федерального бюджета на предоставление субсидии на цели, предусмотренные
пунктом 2 настоящих Правил.
6. Размер субсидии, предоставляемой из федерального бюджета бюджету i-го субъекта Российской Федерации (C
i), определяется по формуле:
где:
Ч1i - численность лиц из числа детей-сирот и детей, оставшихся без попечения родителей, состоящих на учете на получение жилого помещения, в возрасте от 18 до 23 лет по состоянию на 1 июля года, предшествующего планируемому, определяемая с учетом сведений государственной информационной системы "Единая централизованная цифровая платформа в социальной сфере", подтвержденных ее оператором, о численности указанных лиц, включенных в список, по i-му субъекту Российской Федерации;
(в ред. Постановлений Правительства РФ от 22.09.2021
N 1598, от 05.02.2024
N 125)
Ч2i - численность лиц из числа детей-сирот и детей, оставшихся без попечения родителей, состоящих на учете на получение жилого помещения, в возрасте от 23 лет и старше по состоянию на 1 июля года, предшествующего планируемому, определяемая с учетом сведений государственной информационной системы "Единая централизованная цифровая платформа в социальной сфере", подтвержденных ее оператором, о численности указанных лиц, включенных в список, по i-му субъекту Российской Федерации;
(в ред. Постановлений Правительства РФ от 22.09.2021
N 1598, от 05.02.2024
N 125)
Mi - средняя рыночная стоимость 1 кв. метра общей площади жилья в i-м субъекте Российской Федерации, утвержденная федеральным органом исполнительной власти, уполномоченным в соответствии с нормативным правовым актом Российской Федерации на определение показателей средней рыночной стоимости 1 кв. метра общей площади жилья по субъектам Российской Федерации, на III квартал текущего финансового года;
Н - социальная норма площади жилого помещения на одиноко проживающего гражданина, принимаемая для расчета размера субсидии, в размере 33 кв. метров;
Zi - размер обеспеченности i-го субъекта Российской Федерации на финансовый год;
n - количество субъектов Российской Федерации, учитываемых при распределении (перераспределении) субсидий;
C - общий объем бюджетных ассигнований, предусмотренных в федеральном бюджете на предоставление субсидии на соответствующий финансовый год.
7. Размер обеспеченности i-го субъекта Российской Федерации на финансовый год определяется по формуле:
Zi = Si / 100,
где S
i - предельный уровень софинансирования расходного обязательства субъекта Российской Федерации из федерального бюджета, определяемый в соответствии с
пунктом 13 Правил формирования, предоставления и распределения субсидий.
7(1). В случае увеличения в ходе рассмотрения Государственной Думой Федерального Собрания Российской Федерации проекта федерального закона о федеральном бюджете на очередной финансовый год и плановый период общего объема бюджетных ассигнований, предусмотренного проектом указанного федерального закона, на предоставление субсидий в связи с уточнением оператором государственной информационной системы "Единая централизованная цифровая платформа в социальной сфере" по отдельным субъектам Российской Федерации сведений, с учетом которых в соответствии с
пунктом 6 настоящих Правил определяется численность лиц из числа детей-сирот и детей, оставшихся без попечения родителей, состоящих на учете на получение жилого помещения, размеры субсидий, предоставляемых в очередном финансовом году из федерального бюджета бюджетам таких субъектов Российской Федерации в размерах, определенных в соответствии с
пунктом 6 настоящих Правил, подлежат увеличению на размеры относящихся к таким субъектам Российской Федерации частей указанного увеличения общего объема бюджетных ассигнований.
8. Оценка эффективности использования субсидии i-м субъектом Российской Федерации в отчетном финансовом году (Эi) осуществляется ежегодно Министерством строительства и жилищно-коммунального хозяйства Российской Федерации на основании результата использования субсидии - количество детей-сирот и детей, оставшихся без попечения родителей, лиц из числа детей-сирот и детей, оставшихся без попечения родителей, а также лиц, которые относились к категории детей-сирот и детей, оставшихся без попечения родителей, лиц из числа детей-сирот и детей, оставшихся без попечения родителей, и достигли возраста 23 лет, обеспеченных жилыми помещениями, и определяется по формуле:
где:
Рдi - фактическое значение результата использования субсидии, достигнутое i-м субъектом Российской Федерации в отчетном финансовом году;
Рпi - значение результата использования субсидии для i-го субъекта Российской Федерации, установленное соглашением.
9. Значение результата использования субсидии для i-го субъекта Российской Федерации (Рпi) включается в соглашение и определяется по формуле:
где Бi - объем бюджетных ассигнований бюджета субъекта Российской Федерации на исполнение расходных обязательств субъекта Российской Федерации.
10. Соглашение заключается с использованием государственной интегрированной информационной системы управления общественными финансами "Электронный бюджет" в соответствии с
типовой формой соглашения, утвержденной Министерством финансов Российской Федерации.
11. Перечисление субсидий осуществляется в установленном порядке на единые счета бюджетов, открытые финансовым органам субъектов Российской Федерации в территориальных органах Федерального казначейства.
12. Порядок и условия возврата средств из бюджета субъекта Российской Федерации в федеральный бюджет в случае нарушения субъектом Российской Федерации обязательств, предусмотренных соглашением, а также основания для освобождения субъекта Российской Федерации от применения мер финансовой ответственности установлены
пунктами 16 -
18 и
20 Правил формирования, предоставления и распределения субсидий.
13. В случае отсутствия у субъекта Российской Федерации потребности в субсидии в пределах текущего финансового года высший исполнительный орган субъекта Российской Федерации представляет до 1 августа текущего финансового года в Министерство строительства и жилищно-коммунального хозяйства Российской Федерации обращение в письменной форме об отсутствии потребности субъекта Российской Федерации в использовании субсидии в текущем финансовом году.
14. В случае нарушения субъектом Российской Федерации целей, установленных при предоставлении субсидии, к нему применяются бюджетные меры принуждения в соответствии с бюджетным законодательством Российской Федерации.
15. Контроль за соблюдением субъектами Российской Федерации условий предоставления субсидий осуществляется Министерством строительства и жилищно-коммунального хозяйства и уполномоченными органами государственного финансового контроля.
к государственной программе
Российской Федерации "Обеспечение
доступным и комфортным жильем
и коммунальными услугами граждан
Российской Федерации"
ПРАВИЛА
ПРЕДОСТАВЛЕНИЯ СУБСИДИЙ ИЗ ФЕДЕРАЛЬНОГО БЮДЖЕТА БЮДЖЕТАМ
СУБЪЕКТОВ РОССИЙСКОЙ ФЕДЕРАЦИИ НА РЕАЛИЗАЦИЮ МЕРОПРИЯТИЙ
ИНДИВИДУАЛЬНЫХ ПРОГРАММ СОЦИАЛЬНО-ЭКОНОМИЧЕСКОГО РАЗВИТИЯ
СУБЪЕКТОВ РОССИЙСКОЙ ФЕДЕРАЦИИ
| | Список изменяющих документов от 30.11.2021 N 2135 (ред. 21.12.2023)) | |
1. Настоящие Правила устанавливают условия и порядок предоставления субсидий из федерального бюджета бюджетам субъектов Российской Федерации в целях софинансирования расходных обязательств субъектов Российской Федерации, возникающих при реализации мероприятий индивидуальных программ социально-экономического развития Республики Калмыкия, Республики Марий Эл, Чувашской Республики, Алтайского края, Курганской области и Псковской области, по которым главным распорядителем средств федерального бюджета является Министерство строительства и жилищно-коммунального хозяйства Российской Федерации (далее соответственно - индивидуальные программы, субсидии).
2. Субсидии предоставляются в пределах лимитов бюджетных обязательств, доведенных до Министерства строительства и жилищно-коммунального хозяйства Российской Федерации как получателя средств федерального бюджета на предоставление субсидии на цели, указанные в пункте 1 настоящих Правил.
3. Распределение субсидий между субъектами Российской Федерации, указанными в пункте 1 настоящих Правил, осуществляется пропорционально потребности в финансовом обеспечении расходных обязательств субъектов Российской Федерации, возникающих при реализации мероприятий индивидуальных программ, с учетом предельного уровня софинансирования расходного обязательства субъекта Российской Федерации, определенного в соответствии с
пунктом 13 Правил формирования, предоставления и распределения субсидий из федерального бюджета бюджетам субъектов Российской Федерации, утвержденных постановлением Правительства Российской Федерации от 30 сентября 2014 г. N 999 "О формировании, предоставлении и распределении субсидий из федерального бюджета бюджетам субъектов Российской Федерации" (далее - Правила формирования, предоставления и распределения субсидий).
4. Высшие должностные лица субъектов Российской Федерации (руководители высших исполнительных органов государственной власти субъектов Российской Федерации) в срок не позднее 45 календарных дней со дня утверждения Правительством Российской Федерации индивидуальной программы и распределения субсидий между субъектами Российской Федерации обеспечивают утверждение нормативных правовых актов, необходимых для реализации индивидуальных программ, в том числе устанавливающих порядок и условия предоставления из бюджета субъекта Российской Федерации межбюджетных трансфертов бюджетам муниципальных образований (в случае если индивидуальной программой предусмотрены мероприятия, ответственными исполнителями которых являются муниципальные образования).
5. Условиями предоставления субсидии являются:
а) наличие правового акта субъекта Российской Федерации, утверждающего перечень мероприятий (результатов), при реализации которых возникают расходные обязательства субъекта Российской Федерации, в целях софинансирования которых предоставляются субсидии, в соответствии с требованиями нормативных правовых актов Правительства Российской Федерации;
б) наличие в бюджете субъекта Российской Федерации бюджетных ассигнований на исполнение соответствующего расходного обязательства субъекта Российской Федерации, софинансирование которого осуществляется из федерального бюджета, в размере, необходимом для его исполнения;
в) заключение соглашения о предоставлении субсидии (далее - соглашение) в соответствии с
пунктом 10 Правил формирования, предоставления и распределения субсидий.
6. Предоставление субсидии осуществляется на основании соглашения, подготовленного (сформированного) и заключенного с использованием государственной интегрированной информационной системы управления общественными финансами "Электронный бюджет", в соответствии с
типовой формой соглашения, утвержденной Министерством финансов Российской Федерации.
В соглашении могут быть установлены различные уровни софинансирования расходного обязательства субъекта Российской Федерации из федерального бюджета по отдельным мероприятиям (объектам капитального строительства) в случае предоставления субсидий в целях софинансирования расходного обязательства субъекта Российской Федерации, предусматривающего реализацию более одного мероприятия (капитальные вложения в несколько объектов капитального строительства).
7. Перечисление субсидий осуществляется в установленном порядке на единые счета бюджетов, открытые финансовым органам субъектов Российской Федерации в территориальных органах Федерального казначейства.
8. Результатами использования субсидий являются:
а) при реализации мероприятий индивидуальных программ социально-экономического развития Республики Калмыкия, Республики Марий Эл, Алтайского края, Курганской области и Псковской области:
завершение строительства объектов инфраструктуры в рамках указанных индивидуальных программ;
б) при реализации мероприятий индивидуальной программы социально-экономического развития Чувашской Республики:
завершение строительства объектов инфраструктуры в рамках указанной индивидуальной программы;
предоставление социальных выплат семьям, проживающим на территории Чувашской Республики, на первоначальные взносы по ипотечным (жилищным) кредитам (займам).
9. Высший исполнительный орган государственной власти субъекта Российской Федерации ежеквартально, не позднее 15-го числа месяца, следующего за отчетным кварталом, представляет в государственной интегрированной информационной системе управления общественными финансами "Электронный бюджет" в Министерство строительства и жилищно-коммунального хозяйства Российской Федерации в порядке, установленном соглашением, отчетность об осуществлении расходов бюджета субъекта Российской Федерации, в целях софинансирования которых предоставляется субсидия, а также в порядке и сроки, установленные соглашением, отчет о достижении значений результатов использования субсидии.
10. Оценка эффективности использования субъектами Российской Федерации субсидий осуществляется Министерством строительства и жилищно-коммунального хозяйства Российской Федерации на основании отчета о достижении значений результатов использования субсидии путем сравнения планируемых и фактически достигнутых субъектами Российской Федерации значений результатов использования субсидий.
11. Отношения, возникающие при нарушении субъектом Российской Федерации обязательств по достижению значений результатов использования субсидии, предусмотренных соглашением, а также основания освобождения субъектов Российской Федерации от мер финансовой ответственности регулируются
пунктами 16 -
20 Правил формирования, предоставления и распределения субсидий.
12. Ответственность за достоверность представляемых в Министерство строительства и жилищно-коммунального хозяйства Российской Федерации сведений и соблюдение условий, предусмотренных настоящими Правилами и соглашением, возлагается на высший исполнительный орган государственной власти субъекта Российской Федерации, с которым заключено соглашение.
13. Контроль за соблюдением субъектом Российской Федерации условий предоставления субсидии осуществляется Министерством строительства и жилищно-коммунального хозяйства Российской Федерации и уполномоченными органами государственного финансового контроля.
14. В случае нарушения субъектом Российской Федерации целей, установленных при предоставлении субсидии, к нему применяются бюджетные меры принуждения, предусмотренные бюджетным законодательством Российской Федерации.
к государственной программе
Российской Федерации "Обеспечение
доступным и комфортным жильем
и коммунальными услугами граждан
Российской Федерации"
ПРЕДОСТАВЛЕНИЯ СУБСИДИИ ИЗ ФЕДЕРАЛЬНОГО БЮДЖЕТА
БЮДЖЕТУ КРАСНОЯРСКОГО КРАЯ НА РЕАЛИЗАЦИЮ МЕРОПРИЯТИЯ
ПО ПЕРЕСЕЛЕНИЮ ИЗ РАЙОНА КРАЙНЕГО СЕВЕРА ГРАЖДАН,
ПРОЖИВАЮЩИХ В Г. НОРИЛЬСКЕ
| | Список изменяющих документов | |
1. Настоящие Правила устанавливают цели, условия и порядок предоставления субсидии из федерального бюджета бюджету Красноярского края на реализацию мероприятия по переселению из района Крайнего Севера граждан, проживающих в г. Норильске, в целях софинансирования расходных обязательств Красноярского края, возникающих при реализации мероприятий государственной программы (подпрограммы) Красноярского края, предусматривающих предоставление социальных выплат гражданам, проживающим в г. Норильске, имеющим право на получение таких выплат в соответствии с Федеральным
законом "О жилищных субсидиях гражданам, выезжающим из районов Крайнего Севера и приравненных к ним местностей", для приобретения жилых помещений в целях переселения таких граждан из районов Крайнего Севера в районы с благоприятными природными и социально-экономическими условиями на территории Российской Федерации (далее - Федеральный закон, граждане, социальная выплата, субсидия).
2. Право граждан на получение социальных выплат удостоверяется именным документом - свидетельством о предоставлении социальной выплаты на приобретение жилья, форма которого устанавливается нормативным правовым актом Красноярского края (далее - свидетельство о предоставлении социальной выплаты).
3. Условиями предоставления субсидий являются:
а) наличие утвержденной нормативным правовым актом Красноярского края государственной программы (подпрограммы) Красноярского края, предусматривающей мероприятия в целях софинансирования которых предоставляется субсидия, в том числе устанавливающей порядок осуществления социальных выплат гражданам с учетом следующих положений Федерального
закона:
предоставление социальных выплат гражданам осуществляется в соответствии с очередностью, установленной
статьей 2 Федерального закона;
расчет размера социальной выплаты осуществляется в соответствии с положениями
статьи 5 Федерального закона о расчете размера жилищных субсидий (единовременных социальных выплат) на приобретение или строительство жилых помещений;
условием предоставления социальной выплаты гражданину является выполнение соответствующего условия выдачи государственного жилищного сертификата, предусмотренного
частью первой или
второй статьи 6 Федерального закона;
б) наличие в бюджете Красноярского края бюджетных ассигнований на исполнение расходного обязательства Красноярского края, в целях софинансирования которого предоставляется субсидия, в объеме, необходимом для его исполнения;
в) заключение соглашения о предоставлении субсидии в соответствии с
пунктом 10 Правил формирования, предоставления и распределения субсидий из федерального бюджета бюджетам субъектов Российской Федерации, утвержденных постановлением Правительства Российской Федерации от 30 сентября 2014 г. N 999 "О формировании, предоставлении и распределении субсидий из федерального бюджета бюджетам субъектов Российской Федерации" (далее соответственно - Правила формирования, предоставления и распределения субсидий, соглашение о предоставлении субсидии).
4. Размер предоставляемой субсидии определяется исходя из количества граждан и размера предоставляемой им социальной выплаты, который определяется в соответствии с положениями
статьи 5 Федерального закона о расчете размера жилищных субсидий (единовременных социальных выплат) на приобретение или строительство жилых помещений.
Сведения об указанном количестве граждан предоставляются Правительством Красноярского края начиная с 2022 года до 15 июля года, предшествующего планируемому, за подписью председателя высшего исполнительного органа Красноярского края.
5. Субсидии предоставляются в пределах лимитов бюджетных обязательств, доведенных до Министерства строительства и жилищно-коммунального хозяйства Российской Федерации как получателя средств федерального бюджета на предоставление субсидии на цели, указанные в
пункте 1 настоящих Правил.
6. Уровень софинансирования расходного обязательства Красноярского края из федерального бюджета устанавливается не более предельного уровня софинансирования расходного обязательства Красноярского края из федерального бюджета, утверждаемого Правительством Российской Федерации в соответствии с
пунктом 13 Правил формирования, предоставления и распределения субсидий.
7. В случае если размер бюджетных ассигнований, предусмотренных в бюджете Красноярского края на финансовое обеспечение расходных обязательств Красноярского края, указанных в
пункте 1 настоящих Правил, не обеспечивает указанный в
пункте 6 настоящих Правил уровень софинансирования расходного обязательства Красноярского края из федерального бюджета, размер субсидии подлежит сокращению до размера, обеспечивающего такой уровень софинансирования расходных обязательств Красноярского края из федерального бюджета.
Увеличение размера бюджетных ассигнований бюджета Красноярского края на финансовое обеспечение расходных обязательств Красноярского края, указанных в
пункте 1 настоящих Правил, не влечет увеличения размера субсидии.
8. В случае если размер субсидии меньше запрошенного Красноярским краем размера субсидии, бюджетные ассигнования, предусмотренные в бюджете Красноярского края на осуществление социальных выплат гражданам, уменьшению не подлежат.
9. Предоставление субсидии осуществляется на основании соглашения о предоставлении субсидии, подготавливаемого (формируемого) и заключаемого в государственной интегрированной информационной системе управления общественными финансами "Электронный бюджет" в соответствии с
типовой формой, утвержденной Министерством финансов Российской Федерации.
10. Перечисление субсидии осуществляется в установленном порядке на единый счет бюджета, открытый финансовому органу Красноярского края в территориальном органе Федерального казначейства.
11. В целях предоставления социальных выплат гражданам поступившая в бюджет Красноярского края субсидия в размере, необходимом для предоставления социальной выплаты, перечисляется на казначейский счет для осуществления и отражения операций с денежными средствами, поступающими во временное распоряжение, открытый финансовому органу Красноярского края, с отражением операций на лицевом счете для учета операций со средствами, поступающими во временное распоряжение получателей средств бюджета субъекта Российской Федерации, открытом органу государственной власти Красноярского края в установленном порядке.
Перечисление субсидии на указанный лицевой счет осуществляется при условии предоставления в территориальный орган Федерального казначейства утвержденных органом государственной власти Красноярского края списков получателей социальных выплат с указанием размера социальной выплаты для каждого получателя, форма которых устанавливается нормативным правовым актом Красноярского края.
12. Высший исполнительный орган Красноярского края в сроки и порядке, которые установлены соглашением о предоставлении субсидии, представляет в государственной интегрированной информационной системе управления общественными финансами "Электронный бюджет" отчетность об осуществлении расходов бюджета Красноярского края, в целях софинансирования которых предоставляется субсидия, а также о достижении значения результата использования субсидии, предусмотренного соглашением о предоставлении субсидии, которым является количество выданных гражданам и оплаченных свидетельств о предоставлении социальной выплаты.
13. Эффективность использования субсидии оценивается Министерством строительства и жилищно-коммунального хозяйства Российской Федерации путем сравнения фактически достигнутого и планового значения результата использования субсидии, предусмотренного соглашением о предоставлении субсидии.
14. Отношения, возникающие при нарушении Красноярским краем обязательств, предусмотренных соглашением о предоставлении субсидии, а также основания освобождения Красноярского края от мер финансовой ответственности регулируются
пунктами 16 -
18 и
20 Правил формирования, предоставления и распределения субсидий.
15. В случае нарушения Красноярским краем целей, установленных при предоставлении субсидии, к нему применяются бюджетные меры принуждения в соответствии с бюджетным законодательством Российской Федерации.
16. Контроль за соблюдением Красноярским краем условий предоставления субсидий осуществляется Министерством строительства и жилищно-коммунального хозяйства Российской Федерации и уполномоченными органами государственного финансового контроля.
к государственной программе
Российской Федерации "Обеспечение
доступным и комфортным жильем
и коммунальными услугами граждан
Российской Федерации"
ПРАВИЛА
ПРЕДОСТАВЛЕНИЯ И РАСПРЕДЕЛЕНИЯ СУБСИДИЙ ИЗ ФЕДЕРАЛЬНОГО
БЮДЖЕТА, В ТОМ ЧИСЛЕ ИСТОЧНИКОМ ФИНАНСОВОГО ОБЕСПЕЧЕНИЯ
КОТОРЫХ ЯВЛЯЮТСЯ БЮДЖЕТНЫЕ АССИГНОВАНИЯ РЕЗЕРВНОГО ФОНДА
ПРАВИТЕЛЬСТВА РОССИЙСКОЙ ФЕДЕРАЦИИ, БЮДЖЕТАМ СУБЪЕКТОВ
РОССИЙСКОЙ ФЕДЕРАЦИИ НА СОЗДАНИЕ КОМФОРТНОЙ ГОРОДСКОЙ СРЕДЫ
В МУНИЦИПАЛЬНЫХ ОБРАЗОВАНИЯХ - ПОБЕДИТЕЛЯХ ВСЕРОССИЙСКОГО
КОНКУРСА ЛУЧШИХ ПРОЕКТОВ СОЗДАНИЯ КОМФОРТНОЙ ГОРОДСКОЙ СРЕДЫ
| | Список изменяющих документов в ред. Постановлений Правительства РФ от 22.04.2024 N 519, | |
1. Настоящие Правила устанавливают цели, условия и порядок предоставления и распределения субсидий из федерального бюджета, в том числе источником финансового обеспечения которых являются бюджетные ассигнования резервного фонда Правительства Российской Федерации, бюджетам субъектов Российской Федерации на создание комфортной городской среды в муниципальных образованиях - победителях Всероссийского конкурса лучших проектов создания комфортной городской среды, проводимого в соответствии с
постановлением Правительства Российской Федерации от 7 марта 2018 г. N 237 "О предоставлении и распределении средств государственной поддержки из федерального бюджета бюджетам субъектов Российской Федерации для поощрения муниципальных образований - победителей Всероссийского конкурса лучших проектов создания комфортной городской среды" (далее соответственно - субсидия из федерального бюджета, конкурс).
Субсидии из федерального бюджета предоставляются в целях софинансирования расходных обязательств субъектов Российской Федерации, возникающих при реализации региональных проектов по созданию комфортной городской среды, обеспечивающих достижение целей, показателей и результатов федерального
проекта "Формирование комфортной городской среды", предусматривающих поощрение муниципальных образований, определенных победителями конкурса с 1 июня 2023 г., в том числе при реализации мероприятий по проектированию, строительству, реконструкции (модернизации), капитальному ремонту объектов капитального строительства в рамках мероприятий по реализации проекта (далее соответственно - строительство объектов капитального строительства, объекты капитального строительства), в случае если строительство объектов капитального строительства, включая проведение строительного контроля в процессе строительства объектов капитального строительства, предусмотрено проектом.
2. Для целей настоящих Правил используются понятия, предусмотренные
пунктом 2 Правил предоставления и распределения средств государственной поддержки из федерального бюджета бюджетам субъектов Российской Федерации для поощрения муниципальных образований - победителей Всероссийского конкурса лучших проектов создания комфортной городской среды, в том числе источником финансового обеспечения которых являются бюджетные ассигнования резервного фонда Правительства Российской Федерации, утвержденных постановлением Правительства Российской Федерации от 7 марта 2018 г. N 237 "О предоставлении и распределении средств государственной поддержки из федерального бюджета бюджетам субъектов Российской Федерации для поощрения муниципальных образований - победителей Всероссийского конкурса лучших проектов создания комфортной городской среды" (далее - Правила проведения Всероссийского конкурса), а также
пунктом 2 Правил предоставления и распределения в 2023 - 2030 годах средств государственной поддержки из федерального бюджета бюджетам субъектов Российской Федерации, входящих в состав Дальневосточного федерального округа, для поощрения муниципальных образований - победителей Всероссийского конкурса лучших проектов создания комфортной городской среды, в том числе источником финансового обеспечения которых являются бюджетные ассигнования резервного фонда Правительства Российской Федерации, утвержденных указанным постановлением Правительства Российской Федерации (далее - Правила проведения конкурса для субъектов Дальневосточного федерального округа).
3. Победители конкурса определяются в соответствии с
Правилами проведения Всероссийского конкурса и
Правилами проведения конкурса для субъектов Дальневосточного федерального округа.
4. Субсидии из федерального бюджета предоставляются в пределах лимитов бюджетных обязательств, доведенных до Министерства строительства и жилищно-коммунального хозяйства Российской Федерации как получателя средств федерального бюджета на предоставление субсидий из федерального бюджета на цели, указанные в
пункте 1 настоящих Правил.
5. Условиями предоставления субсидий из федерального бюджета являются:
а) наличие утвержденной нормативным правовым актом субъекта Российской Федерации государственной программы (подпрограммы) субъекта Российской Федерации, предусматривающей мероприятия (результаты), при реализации которых возникают расходные обязательства субъекта Российской Федерации, в целях софинансирования которых предоставляется субсидия из федерального бюджета, с указанием мероприятий по реализации проекта победителем конкурса;
б) наличие в бюджете субъекта Российской Федерации бюджетных ассигнований на исполнение расходного обязательства субъекта Российской Федерации, в целях софинансирования которого предоставляется субсидия из федерального бюджета, в объеме, необходимом для его исполнения, включая размер планируемой к предоставлению субсидии из федерального бюджета;
в) заключение соглашения о предоставлении субсидии из федерального бюджета в соответствии с
пунктом 10 Правил формирования, предоставления и распределения субсидий из федерального бюджета бюджетам субъектов Российской Федерации, утвержденных постановлением Правительства Российской Федерации от 30 сентября 2014 г. N 999 "О формировании, предоставлении и распределении субсидий из федерального бюджета бюджетам субъектов Российской Федерации" (далее соответственно - Правила предоставления субсидий, соглашение о предоставлении субсидии).
6. Критерием отбора субъектов Российской Федерации для предоставления и распределения субсидий из федерального бюджета является решение федеральной конкурсной комиссии по организации и проведению конкурса (далее - федеральная комиссия) о подведении итогов конкурса, принятое в соответствии с
Правилами проведения Всероссийского конкурса или
Правилами проведения конкурса для субъектов Дальневосточного федерального округа, согласно которому муниципальное образование, расположенное на территории соответствующего субъекта Российской Федерации, определено победителем конкурса.
7. Адресное (пообъектное) распределение субсидий по объектам капитального строительства, в целях софинансирования строительства (реконструкции) которых предоставляется субсидия, определяется в соответствии с
пунктом 5 Правил предоставления субсидий (далее - адресное (пообъектное) распределение). Для включения объектов капитального строительства в адресное (пообъектное) распределение или внесения в адресное (пообъектное) распределение изменений высший исполнительный орган субъекта Российской Федерации направляет в Министерство строительства и жилищно-коммунального хозяйства Российской Федерации в отношении каждого такого объекта капитального строительства следующие документы и сведения:
наименование объекта капитального строительства;
мощность объекта капитального строительства, подлежащего вводу в эксплуатацию;
срок ввода объекта капитального строительства в эксплуатацию;
потребность в средствах федерального бюджета на финансовое обеспечение строительства объекта капитального строительства;
копия положительного заключения государственной экспертизы проектной документации, содержащего оценку достоверности определения сметной стоимости строительства объектов капитального строительства в случаях, установленных
частью 2 статьи 8.3 Градостроительного кодекса Российской Федерации, и положительного заключения государственной экспертизы результатов инженерных изысканий, выполненных для подготовки такой проектной документации (в случае если проведение такой экспертизы в соответствии с законодательством Российской Федерации является обязательным). В проектной документации по объектам капитального строительства, реализуемым на территориях Дальневосточного федерального округа и Арктической зоны Российской Федерации, необходимо предусматривать перечень мероприятий и затраты по привлечению студенческих строительных отрядов;
документы об утверждении проектной документации в соответствии с законодательством Российской Федерации (в случае если подготовка проектной документации является обязательной в соответствии с законодательством Российской Федерации);
сведения, необходимые для проведения проверки инвестиционного проекта на предмет эффективности использования средств федерального бюджета, направляемых на капитальные вложения, предусмотренные
Правилами проведения проверки инвестиционных проектов на предмет эффективности использования средств федерального бюджета, направляемых на капитальные вложения, утвержденными постановлением Правительства Российской Федерации от 15 марта 2023 г. N 399 "О случаях и порядке проведения проверки инвестиционных проектов на предмет эффективности использования средств федерального бюджета, направляемых на капитальные вложения, о внесении изменений в некоторые акты Правительства Российской Федерации, приостановлении действия постановления Правительства Российской Федерации от 12 августа 2008 г. N 590 и отдельных положений некоторых актов Правительства Российской Федерации, а также признании утратившими силу некоторых актов и отдельных положений некоторых актов Правительства Российской Федерации", - в случаях, определенных указанным постановлением;
паспорт инвестиционного проекта по
форме, установленной Министерством строительства и жилищно-коммунального хозяйства Российской Федерации, в случае строительства объекта капитального строительства в соответствии с инвестиционным проектом;
копия утвержденного задания на проектирование (в случае если на подготовку проектной документации предоставляются средства федерального бюджета);
копии правоустанавливающих документов на земельный участок.
По предложению высшего исполнительного органа субъекта Российской Федерации Министерством строительства и жилищно-коммунального хозяйства Российской Федерации в адресное (пообъектное) распределение субсидий из федерального бюджета по объектам капитального строительства могут быть внесены изменения.
8. Размер субсидии из федерального бюджета, предоставляемой в соответствующем финансовом году бюджету i-го субъекта Российской Федерации, за исключением субсидий из федерального бюджета, предоставляемых в 2024 - 2030 годах бюджетам субъектов Российской Федерации, входящих в состав Дальневосточного федерального округа, на реализацию проектов победителями конкурса определяется исходя из общего размера денежных премий, подлежащих предоставлению муниципальным образованиям, расположенным на территории i-го субъекта Российской Федерации, определенным победителями конкурса решением федеральной комиссии о подведении итогов конкурса, в соответствии с
пунктами 24 и
28 -
28(3) Правил проведения Всероссийского конкурса.
Субсидия из федерального бюджета предоставляется бюджету i-го субъекта Российской Федерации в размере, определенном в соответствии с
абзацем первым настоящего пункта, при этом уровень софинансирования расходного обязательства i-го субъекта Российской Федерации из федерального бюджета, в целях софинансирования которого предоставляется субсидия из федерального бюджета, устанавливается в размере предельного уровня софинансирования расходного обязательства i-го субъекта Российской Федерации из федерального бюджета, утверждаемого Правительством Российской Федерации в соответствии с
пунктом 13(1.1) Правил предоставления субсидий.
9. Размер субсидии из федерального бюджета, предоставляемой в 2024 - 2030 годах бюджету i-го субъекта Российской Федерации, входящего в состав Дальневосточного федерального округа, на реализацию проектов победителями конкурса определяется исходя из общего размера денежных премий, подлежащих предоставлению муниципальным образованиям, расположенным на территории i-го субъекта Российской Федерации, определенным победителями конкурса решением федеральной комиссии о подведении итогов конкурса, в соответствии с
пунктами 6 -
8 Правил проведения конкурса для субъектов Дальневосточного федерального округа.
Субсидия из федерального бюджета предоставляется бюджету i-го субъекта Российской Федерации, входящего в состав Дальневосточного федерального округа, в размере, определенном в соответствии с
абзацем первым настоящего пункта, при этом уровень софинансирования расходного обязательства i-го субъекта Российской Федерации, входящего в состав Дальневосточного федерального округа, из федерального бюджета, в целях софинансирования которого предоставляется субсидия из федерального бюджета, устанавливается в размере предельного уровня софинансирования расходного обязательства i-го субъекта Российской Федерации, входящего в состав Дальневосточного федерального округа, из федерального бюджета, утверждаемого Правительством Российской Федерации в соответствии с
пунктом 13(1.1) Правил предоставления субсидий.
10. В случае предоставления субсидии из федерального бюджета, источником финансового обеспечения которой являются бюджетные ассигнования резервного фонда Правительства Российской Федерации, положения
пунктов 8 и
9 настоящих Правил не применяются. Размер такой субсидии из федерального бюджета определяется в соответствии с актом Правительства Российской Федерации об использовании бюджетных ассигнований резервного фонда Правительства Российской Федерации.
11. Увеличение размера бюджетных ассигнований бюджета субъекта Российской Федерации на финансовое обеспечение расходных обязательств субъекта Российской Федерации, указанных в
пункте 1 настоящих Правил, не влечет обязательств Российской Федерации по увеличению размера предоставляемой субсидии из федерального бюджета.
12. Субъект Российской Федерации в течение одного месяца со дня окончания проведения конкурса в соответствии со сроками, указанными в
пункте 3 Правил проведения Всероссийского конкурса и
пункте 3 Правил проведения конкурса для субъектов Дальневосточного федерального округа, для подготовки соглашения о предоставлении субсидии направляет в Министерство строительства и жилищно-коммунального хозяйства Российской Федерации проект графика реализации проекта на территории муниципального образования - победителя конкурса (далее - график реализации проекта), содержащего в том числе информацию о работах по проектированию, строительству (ремонту, реконструкции) и о завершении реализации проекта не позднее 31 декабря года окончания реализации проектов соответствующего конкурса в соответствии со сроками, указанными в
пункте 3 Правил проведения Всероссийского конкурса и
пункте 3 Правил проведения конкурса для субъектов Дальневосточного федерального округа, включая сроки выполнения мероприятий по реализации проекта по каждому этапу работ.
13. Предоставление субсидии из федерального бюджета осуществляется на основании соглашения о предоставлении субсидии, подготавливаемого (формируемого) и заключаемого с использованием государственной интегрированной информационной системы управления общественными финансами "Электронный бюджет" в соответствии с
типовой формой, утвержденной Министерством финансов Российской Федерации, и содержащего в том числе следующие положения:
а) обязательство субъекта Российской Федерации по обеспечению завершения реализации проекта не позднее 31 декабря года, следующего за годом предоставления субсидии из федерального бюджета;
б) перечень муниципальных образований, расположенных на территории i-го субъекта Российской Федерации, определенных победителями конкурса решением федеральной комиссии о подведении итогов конкурса, с указанием размера предоставляемых средств из бюджета субъекта Российской Федерации и соответствующего размера субсидии из федерального бюджета каждому победителю конкурса;
в) обязательство субъекта Российской Федерации по обеспечению соответствия проектной документации, подготовленной в рамках реализации проекта, планировочным и архитектурным решениям проекта, представленным в составе заявки на участие в конкурсе (далее - конкурсная заявка) победителя конкурса;
г) условия, предусматривающие наделение межведомственной комиссии под руководством высшего должностного лица субъекта Российской Федерации, созданной в соответствии с
подпунктами "д" -
"д(2)" пункта 10 Правил предоставления и распределения субсидий из федерального бюджета бюджетам субъектов Российской Федерации на поддержку государственных программ субъектов Российской Федерации и муниципальных программ формирования современной городской среды, утвержденных постановлением Правительства Российской Федерации от 10 февраля 2017 г. N 169 "Об утверждении Правил предоставления и распределения субсидий из федерального бюджета бюджетам субъектов Российской Федерации на поддержку государственных программ субъектов Российской Федерации и муниципальных программ формирования современной городской среды", полномочиями по осуществлению контроля за реализацией проекта и соответствием проектной документации, подготовленной в рамках реализации проекта, планировочным и архитектурным решениям проекта, представленным в составе конкурсной заявки победителя конкурса;
д) обязательство субъекта Российской Федерации по обеспечению соблюдения прилагаемого к соглашению о предоставлении субсидии графика реализации проекта, а также графика выполнения мероприятий по проектированию и (или) строительству (реконструкции, в том числе с элементами реставрации, техническому перевооружению) объектов капитального строительства, в случае если строительство объектов капитального строительства предусмотрено проектом (далее - график реализации объектов капитального строительства);
е) обязательство субъекта Российской Федерации по предоставлению субсидии из бюджета субъекта Российской Федерации бюджету муниципального образования, определенного победителем конкурса решением федеральной комиссии о подведении итогов конкурса, в размере не менее определенного федеральной комиссией в соответствии с
пунктами 28 -
28(3) Правил проведения Всероссийского конкурса и
пунктами 6 -
8 Правил проведения конкурса для субъектов Дальневосточного федерального округа;
ж) обязательство субъекта Российской Федерации по обеспечению реализации проекта победителем конкурса и осуществлению контроля за его реализацией согласно перечню мероприятий по реализации проекта, являющемуся приложением к соглашению о предоставлении субсидии, на указываемой в соглашении о предоставлении субсидии площади общественной территории, на которой будет реализовываться проект;
з) обязательство субъекта Российской Федерации по представлению в Министерство строительства и жилищно-коммунального хозяйства Российской Федерации отчетности о выполнении графика реализации проекта по форме, установленной Министерством строительства и жилищно-коммунального хозяйства Российской Федерации, ежеквартально, не позднее 20-го числа месяца, следующего за отчетным кварталом;
и) обязательство субъекта Российской Федерации по предоставлению в Министерство строительства и жилищно-коммунального хозяйства Российской Федерации информации и документов, подтверждающих целевое использование субсидии из федерального бюджета, в том числе проектной и иной документации, подготавливаемой в рамках реализации проекта в соответствии с законодательством Российской Федерации;
к) условия, при которых могут быть внесены отдельные изменения в проект победителя конкурса;
л) обязательство субъекта Российской Федерации по финансовому обеспечению реализации проекта победителя конкурса в объеме, необходимом для реализации такого проекта, в том числе за счет внебюджетных источников в размере, указанном во включенном в конкурсную заявку технико-экономическом и финансовом обосновании проекта в соответствии с
подпунктом "ж" пункта 17 Правил проведения Всероссийского конкурса и
подпунктом "и" пункта 19 Правил проведения конкурса для субъектов Дальневосточного федерального округа;
л(1)) обязательство субъекта Российской Федерации по представлению в Министерство строительства и жилищно-коммунального хозяйства Российской Федерации информации о количестве созданных в результате реализации проекта рабочих мест, а также нестационарных торговых объектов, предприятий общественного питания и иных объектов, предназначенных для осуществления предпринимательской деятельности;
(пп. "л(1)" введен
Постановлением Правительства РФ от 24.03.2025 N 350)
м) ответственность субъекта Российской Федерации в случае нарушения обязательств по достижению результатов использования субсидии из федерального бюджета, указанных в
пункте 15 настоящих Правил, а также в случае нарушения более чем на 3 месяца сроков выполнения работ по реализации проекта, предусмотренных графиком реализации проекта;
н) обязательство субъекта Российской Федерации по обеспечению с начала выполнения работ по реализации проекта установки информационных конструкций (щитов, стендов), содержащих информацию о том, что указанные работы выполняются (выполнены) в рамках реализации федерального
проекта "Формирование комфортной городской среды";
о) иные положения
Правил предоставления субсидий, регулирующие порядок предоставления субсидий из федерального бюджета.
14. Высший исполнительный орган субъекта Российской Федерации в сроки и порядке, которые установлены соглашением о предоставлении субсидии, представляет в государственной интегрированной информационной системе управления общественными финансами "Электронный бюджет" отчетность об осуществлении расходов бюджета субъекта Российской Федерации, в целях софинансирования которых предоставляется субсидия из федерального бюджета, а также о достижении предусмотренных соглашением о предоставлении субсидии значений результатов использования субсидии из федерального бюджета, указанных в
пункте 15 настоящих Правил.
В случае предоставления субсидии из федерального бюджета в целях софинансирования капитальных вложений в объекты капитального строительства субъект Российской Федерации также представляет в государственной интегрированной информационной системе управления общественными финансами "Электронный бюджет" отчетность об исполнении графика реализации объектов капитального строительства.
15. Оценка эффективности использования субъектом Российской Федерации субсидии из федерального бюджета осуществляется Министерством строительства и жилищно-коммунального хозяйства Российской Федерации путем сравнения фактически достигнутых и плановых значений результата использования субсидии из федерального бюджета, которым является количество реализованных субъектом Российской Федерации проектов в срок, установленный графиком реализации проекта.
Дополнительным результатом, конкретизирующим результат использования субсидии из федерального бюджета, указанный в
абзаце первом настоящего пункта, в году предоставления субсидии из федерального бюджета является количество выполненных субъектом Российской Федерации мероприятий по реализации проекта, предусмотренных графиком реализации проекта, в срок, установленный указанным графиком.
16. Перечисление субсидии из федерального бюджета осуществляется в установленном порядке на единые счета бюджетов, открытые финансовым органам субъектов Российской Федерации в территориальных органах Федерального казначейства.
17. Основания и порядок применения мер финансовой ответственности к субъекту Российской Федерации при невыполнении им условий соглашения о предоставлении субсидии, в том числе обязательств по достижению результатов использования субсидии из федерального бюджета и соблюдению графика реализации объектов капитального строительства, установлены
пунктами 16 -
19 Правил предоставления субсидий, основания и порядок освобождения субъекта Российской Федерации от применения указанных мер финансовой ответственности установлены
пунктом 20 Правил предоставления субсидий.
18. В случае нарушения целей, установленных при предоставлении субсидии, применяются бюджетные меры принуждения, предусмотренные бюджетным законодательством Российской Федерации.
(п. 18 в ред.
Постановления Правительства РФ от 05.08.2024 N 1053)
19. Высший исполнительный орган субъекта Российской Федерации несет ответственность за полноту и достоверность сведений, содержащихся в отчетности о достижении значений результатов использования субсидии из федерального бюджета, а также в отчетности об осуществлении расходов бюджета субъекта Российской Федерации, в целях софинансирования которых предоставляется субсидия из федерального бюджета.
20. Контроль за соблюдением субъектами Российской Федерации условий предоставления субсидий из федерального бюджета осуществляется Министерством строительства и жилищно-коммунального хозяйства Российской Федерации и уполномоченными органами государственного финансового контроля.
Министерство строительства и жилищно-коммунального хозяйства Российской Федерации осуществляет контроль за осуществлением расходов бюджета субъекта Российской Федерации, в целях софинансирования которых предоставляется субсидия из федерального бюджета, достижением значений результатов использования субсидии из федерального бюджета, выполнением графика реализации проекта и графика реализации объектов капитального строительства (в случае предоставления субсидии из федерального бюджета в целях софинансирования капитальных вложений в объекты капитального строительства) путем проведения оценки отчетности, указанной в
подпункте "з" пункта 13 и
пункте 14 настоящих Правил:
предоставляемой по итогам последнего отчетного периода года, следующего за годом предоставления субсидии из федерального бюджета, - до 1 апреля года, следующего за годом предоставления субсидии из федерального бюджета;
предоставляемой по итогам последнего отчетного периода года, следующего за годом окончания реализации проектов соответствующего конкурса в соответствии со сроками, указанными в
пункте 3 Правил проведения Всероссийского конкурса и
пункте 3 Правил проведения конкурса для субъектов Дальневосточного федерального округа, - до 1 апреля года, следующего за годом окончания реализации проектов соответствующего конкурса.
21. В случае отказа субъекта Российской Федерации от заключения соглашения о предоставлении субсидии или заключения соглашения о предоставлении субсидии в меньшем размере, чем предусмотрено субъекту Российской Федерации в соответствии с
пунктами 8 и
9 настоящих Правил (заключения дополнительного соглашения к соглашению о предоставлении субсидии, предусматривающего уменьшение размера предоставляемой субсидии из федерального бюджета по отношению к размеру субсидии из федерального бюджета, рассчитанному в соответствии с
пунктами 8 и
9 настоящих Правил), невостребованный размер субсидии из федерального бюджета может быть перераспределен между другими субъектами Российской Федерации на цели реализации проектов, представленных участниками конкурса, по решению федеральной комиссии, принимаемому в соответствии с методикой оценки конкурсных заявок, определяющей в том числе процедуру проведения оценки конкурсных заявок, предусмотренной
пунктом 18 Правил проведения Всероссийского конкурса.
к государственной программе
Российской Федерации "Обеспечение
доступным и комфортным жильем
и коммунальными услугами граждан
Российской Федерации"
ПРЕДОСТАВЛЕНИЯ СУБСИДИЙ ИЗ ФЕДЕРАЛЬНОГО БЮДЖЕТА
БЮДЖЕТАМ СУБЪЕКТОВ РОССИЙСКОЙ ФЕДЕРАЦИИ, ВХОДЯЩИХ
В СОСТАВ ДАЛЬНЕВОСТОЧНОГО ФЕДЕРАЛЬНОГО ОКРУГА, В ЦЕЛЯХ
СОФИНАНСИРОВАНИЯ РАСХОДНЫХ ОБЯЗАТЕЛЬСТВ СУБЪЕКТОВ РОССИЙСКОЙ
ФЕДЕРАЦИИ, ВХОДЯЩИХ В СОСТАВ ДАЛЬНЕВОСТОЧНОГО ФЕДЕРАЛЬНОГО
ОКРУГА, СВЯЗАННЫХ С УВЕЛИЧЕНИЕМ РАЗМЕРА ГОСУДАРСТВЕННОЙ
ПОДДЕРЖКИ С 450 ТЫС. РУБЛЕЙ ДО 1 МЛН. РУБЛЕЙ СЕМЬЯМ, ИМЕЮЩИМ
ДЕТЕЙ, ПРОЖИВАЮЩИМ НА ТЕРРИТОРИЯХ СУБЪЕКТОВ РОССИЙСКОЙ
ФЕДЕРАЦИИ, ВХОДЯЩИХ В СОСТАВ ДАЛЬНЕВОСТОЧНОГО ФЕДЕРАЛЬНОГО
ОКРУГА, В ЧАСТИ ПОГАШЕНИЯ ОБЯЗАТЕЛЬСТВ ПО ИПОТЕЧНЫМ
ЖИЛИЩНЫМ КРЕДИТАМ (ЗАЙМАМ)
| | Список изменяющих документов | |
1. Настоящие Правила устанавливают цели, условия и порядок предоставления субсидий из федерального бюджета бюджетам субъектов Российской Федерации, входящих в состав Дальневосточного федерального округа, в которых величина суммарного коэффициента рождаемости третьего и последующих детей в 2023 году ниже среднего значения величины суммарного коэффициента рождаемости третьего и последующих детей в 2023 году по Дальневосточному федеральному округу, и бюджету Чукотского автономного округа (далее - субъекты Дальневосточного федерального округа) в целях софинансирования расходных обязательств субъектов Дальневосточного федерального округа, возникающих при увеличении размера государственной поддержки с 450 тыс. рублей до 1 млн. рублей семьям, имеющим детей, проживающим на территориях субъектов Дальневосточного федерального округа, в части погашения обязательств по ипотечным жилищным кредитам (займам) при рождении третьего ребенка или последующих детей с 1 января 2024 г. по 31 декабря 2026 г. (для Приморского края - с 1 января 2023 г. по 31 декабря 2026 г.) (далее соответственно - увеличенный размер государственной поддержки, субсидия) в рамках реализации федерального проекта "Содействие субъектам Российской Федерации в реализации полномочий по оказанию государственной поддержки гражданам в обеспечении жильем и оплате жилищно-коммунальных услуг".
2. Субсидия предоставляется в пределах лимитов бюджетных обязательств, доведенных до Министерства Российской Федерации по развитию Дальнего Востока и Арктики как получателя средств федерального бюджета на предоставление субсидии на цели, указанные в
пункте 1 настоящих Правил.
3. Критерием отбора субъектов Дальневосточного федерального округа (за исключением Чукотского автономного округа) для предоставления субсидий является величина суммарного коэффициента рождаемости третьего и последующих детей в 2023 году в субъекте Дальневосточного федерального округа, которая ниже среднего значения величины суммарного коэффициента рождаемости третьего и последующих детей в 2023 году по Дальневосточному федеральному округу.
4. Субсидия предоставляется при выполнении следующих условий:
а) наличие нормативного правового акта субъекта Дальневосточного федерального округа, утверждающего перечень мероприятий (результатов), при реализации которых возникают расходные обязательства субъекта Дальневосточного федерального округа, в целях софинансирования которых предоставляется субсидия;
б) наличие в бюджете субъекта Дальневосточного федерального округа бюджетных ассигнований на исполнение расходных обязательств субъекта Российской Федерации, в целях софинансирования которых предоставляется субсидия;
в) заключение между Министерством Российской Федерации по развитию Дальнего Востока и Арктики и высшим исполнительным органом субъекта Дальневосточного федерального округа соглашения о предоставлении из федерального бюджета бюджету субъекта Дальневосточного федерального округа субсидии (далее - соглашение) в соответствии с
пунктом 10 Правил формирования, предоставления и распределения субсидий из федерального бюджета бюджетам субъектов Российской Федерации, утвержденных постановлением Правительства Российской Федерации от 30 сентября 2014 г. N 999 "О формировании, предоставлении и распределении субсидий из федерального бюджета бюджетам субъектов Российской Федерации" (далее - Правила формирования, предоставления и распределения субсидий).
5. Субсидия предоставляется на основании соглашения, заключенного с использованием государственной интегрированной информационной системы управления общественными финансами "Электронный бюджет" в соответствии с
типовой формой, утвержденной Министерством финансов Российской Федерации.
6. Размер предоставляемой бюджету субъекта Дальневосточного федерального округа субсидии в 2024 - 2026 годах (Vсубсидии) определяется по формуле:
где:
Vоа - общий объем бюджетных ассигнований, предусмотренных в федеральном бюджете на предоставление субсидии на соответствующий финансовый год;
Nп.рождений - прогнозное значение количества рождений третьего ребенка или последующих детей в субъекте Дальневосточного федерального округа в соответствующем году (на основании прогнозных данных федерального автономного научного учреждения "Восточный центр государственного планирования");
0,15 - предполагаемый процент семей, имеющих право на увеличенный размер государственной поддержки (15 процентов);
Vср. - размер выплаты;
Y - предельный уровень софинансирования расходного обязательства субъекта Дальневосточного федерального округа из федерального бюджета на очередной финансовый год и плановый период, утверждаемый Правительством Российской Федерации в соответствии с
пунктом 13 Правил формирования, предоставления и распределения субсидий;
na - количество субъектов Дальневосточного федерального округа - получателей субсидии;
j - индекс суммирования.
7. Уполномоченные высшим исполнительным органом субъекта Российской Федерации исполнительные органы субъекта Дальневосточного федерального округа размещают в сроки, установленные соглашением, в государственной интегрированной информационной системе управления общественными финансами "Электронный бюджет" отчетность об осуществлении расходов бюджета субъекта Дальневосточного федерального округа, в целях софинансирования которых предоставляется субсидия, а также о достижении значений результатов использования субсидии.
8. Перечисление субсидий осуществляется в установленном порядке на единые счета бюджетов, открытые финансовым органам субъектов Дальневосточного федерального округа в территориальных органах Федерального казначейства.
9. Результатом использования субсидии является количество семей, проживающих на территории субъекта Дальневосточного федерального округа, которым при рождении третьего ребенка или последующих детей предоставлена государственная поддержка в соответствии с настоящими Правилами.
10. Оценка эффективности использования субсидии осуществляется Министерством Российской Федерации по развитию Дальнего Востока и Арктики на основании сравнения установленного соглашением и фактически достигнутого субъектом Дальневосточного федерального округа (по итогам отчетного года) значения результата использования субсидии, указанного в
пункте 9 настоящих Правил.
11. Порядок и условия возврата средств из бюджета субъекта Дальневосточного федерального округа в федеральный бюджет в случае нарушения субъектом Российской Федерации обязательств, предусмотренных соглашением, а также основания для освобождения субъекта Дальневосточного федерального округа от применения мер финансовой ответственности установлены
пунктами 16 -
18 и
20 Правил формирования, предоставления и распределения субсидий.
12. Контроль за соблюдением субъектами Дальневосточного федерального округа условий предоставления субсидий осуществляется Министерством Российской Федерации по развитию Дальнего Востока и Арктики и уполномоченными органами государственного финансового контроля.
13. В случае нарушения субъектом Дальневосточного федерального округа целей, установленных при предоставлении субсидии, к нему применяются бюджетные меры принуждения, предусмотренные бюджетным законодательством Российской Федерации.
14. Ответственность за достоверность представляемых в Министерство Российской Федерации по развитию Дальнего Востока и Арктики сведений и документов возлагается на высший исполнительный орган субъекта Дальневосточного федерального округа.
к государственной программе
Российской Федерации "Обеспечение
доступным и комфортным жильем
и коммунальными услугами граждан
Российской Федерации"
ПРАВИЛА
ПРЕДОСТАВЛЕНИЯ СУБСИДИИ ИЗ ФЕДЕРАЛЬНОГО БЮДЖЕТА БЮДЖЕТУ
РЕСПУБЛИКИ ТЫВА В ЦЕЛЯХ СОФИНАНСИРОВАНИЯ РАСХОДНЫХ
ОБЯЗАТЕЛЬСТВ РЕСПУБЛИКИ ТЫВА ПО РЕАЛИЗАЦИИ ЛЬГОТНОЙ
ИПОТЕЧНОЙ ПРОГРАММЫ НА ТЕРРИТОРИИ РЕСПУБЛИКИ ТЫВА
| | Список изменяющих документов | |
1. Настоящие Правила устанавливают цели, условия и порядок предоставления субсидии из федерального бюджета бюджету Республики Тыва в целях софинансирования расходных обязательств Республики Тыва, возникающих при возмещении кредитным организациям недополученных доходов по жилищным (ипотечным) кредитам (займам), предоставляемым гражданам на приобретение жилья на условиях льготного ипотечного кредитования, в соответствии с льготной ипотечной программой на территории Республики Тыва (далее - субсидия).
Условия льготной ипотечной программы на территории Республики Тыва и порядок ее реализации утверждаются нормативным правовым актом Республики Тыва.
2. Субсидия предоставляется в пределах лимитов бюджетных обязательств, доведенных до Министерства строительства и жилищно-коммунального хозяйства Российской Федерации как получателя средств федерального бюджета на предоставление субсидии на цели, указанные в
пункте 1 настоящих Правил.
3. Субсидия предоставляется при выполнении следующих условий:
а) наличие нормативного правового акта Республики Тыва, утверждающего перечень мероприятий (результатов), при реализации которых возникают расходные обязательства Республики Тыва, в целях софинансирования которых предоставляются субсидии;
б) наличие в бюджете Республики Тыва бюджетных ассигнований на исполнение расходного обязательства Республики Тыва, софинансирование которого осуществляется из федерального бюджета, в объеме, необходимом для его исполнения;
в) заключение между Министерством строительства и жилищно-коммунального хозяйства Российской Федерации и высшим исполнительным органом Республики Тыва соглашения о предоставлении субсидии из федерального бюджета бюджету субъекта Российской Федерации в соответствии с
пунктом 10 Правил формирования, предоставления и распределения субсидий из федерального бюджета бюджетам субъектов Российской Федерации, утвержденных постановлением Правительства Российской Федерации от 30 сентября 2014 г. N 999 "О формировании, предоставлении и распределении субсидий из федерального бюджета бюджетам субъектов Российской Федерации" (далее - соглашение).
4. Субсидия предоставляется бюджету Республики Тыва на основании соглашения.
5. Высший исполнительный орган Республики Тыва представляет до 15 января года, следующего за годом предоставления субсидии, в Министерство строительства и жилищно-коммунального хозяйства Российской Федерации:
а) отчет о расходах, в целях софинансирования которых предоставляется субсидия;
б) отчет о достижении значения результата использования субсидии, установленного соглашением в соответствии с
пунктом 7 настоящих Правил, и обязательствах, принятых в целях его достижения.
6. Перечисление субсидии осуществляется на единый счет бюджета, открытый Министерству финансов Республики Тыва в территориальном органе Федерального казначейства.
7. Результатом использования субсидии является количество жилищных (ипотечных) кредитов (займов), предоставляемых гражданам на приобретение жилья на условиях льготного ипотечного кредитования, по которым будет осуществлено возмещение кредитным организациям недополученных доходов по указанным жилищным (ипотечным) кредитам (займам) в соответствии с льготной ипотечной программой на территории Республики Тыва.
8. Оценка эффективности использования субсидии осуществляется Министерством строительства и жилищно-коммунального хозяйства Российской Федерации исходя из установленного соглашением планового значения результата использования субсидии и фактически достигнутого значения результата использования субсидии.
9. Порядок и условия возврата средств из бюджета Республики Тыва в федеральный бюджет в случае нарушения субъектом Российской Федерации обязательств, предусмотренных соглашением, а также основания для освобождения субъекта Российской Федерации от применения мер финансовой ответственности установлены
пунктами 16 -
18 и
20 Правил формирования, предоставления и распределения субсидий из федерального бюджета бюджетам субъектов Российской Федерации, утвержденных постановлением Правительства Российской Федерации от 30 сентября 2014 г. N 999 "О формировании, предоставлении и распределении субсидий из федерального бюджета бюджетам субъектов Российской Федерации".
10. Контроль за соблюдением Республикой Тыва условий предоставления субсидии осуществляется Министерством строительства и жилищно-коммунального хозяйства Российской Федерации и уполномоченными органами государственного финансового контроля.
11. В случае нарушения Республикой Тыва целей, установленных при предоставлении субсидии, применяются бюджетные меры принуждения, предусмотренные бюджетным законодательством Российской Федерации.
к государственной программе
Российской Федерации "Обеспечение
доступным и комфортным жильем
и коммунальными услугами граждан
Российской Федерации"
ПРАВИЛА
ПРЕДОСТАВЛЕНИЯ И РАСПРЕДЕЛЕНИЯ СУБСИДИЙ
ИЗ ФЕДЕРАЛЬНОГО БЮДЖЕТА БЮДЖЕТАМ СУБЪЕКТОВ РОССИЙСКОЙ
ФЕДЕРАЦИИ НА ЗАВЕРШЕНИЕ СТРОИТЕЛЬСТВА (РЕКОНСТРУКЦИИ)
НЕЗАВЕРШЕННЫХ ОБЪЕКТОВ КАПИТАЛЬНОГО СТРОИТЕЛЬСТВА,
ВКЛЮЧЕННЫХ В ФЕДЕРАЛЬНЫЙ РЕЕСТР НЕЗАВЕРШЕННЫХ
ОБЪЕКТОВ КАПИТАЛЬНОГО СТРОИТЕЛЬСТВА
| | Список изменяющих документов | |
1. Настоящие Правила устанавливают условия и порядок предоставления субсидий из федерального бюджета бюджетам субъектов Российской Федерации в целях софинансирования расходных обязательств субъектов Российской Федерации, возникающих при реализации мероприятий по завершению строительства (реконструкции) незавершенных объектов капитального строительства и ввода их в эксплуатацию, которые включены в федеральный реестр незавершенных объектов капитального строительства в порядке, определенном
Положением о порядке формирования и ведения федерального реестра незавершенных объектов капитального строительства, составе включаемых в него сведений и порядке предоставления таких сведений, утвержденным постановлением Правительства Российской Федерации от 18 июля 2022 г. N 1295 "Об утверждении Положения о порядке формирования и ведения федерального реестра незавершенных объектов капитального строительства, составе включаемых в него сведений и порядке предоставления таких сведений", и (или) при предоставлении субсидий местным бюджетам из бюджетов субъектов Российской Федерации на указанные цели в рамках мероприятия "Сокращение количества незавершенных объектов капитального строительства, включенных в федеральный реестр незавершенных объектов капитального строительства" федерального проекта "Содействие развитию инфраструктуры субъектов Российской Федерации (муниципальных образований)" (далее соответственно - субсидия, незавершенные объекты капитального строительства, федеральный реестр).
2. Субсидии предоставляются в пределах лимитов бюджетных обязательств, доведенных до Министерства строительства и жилищно-коммунального хозяйства Российской Федерации как получателя средств федерального бюджета, на цели, указанные в
пункте 1 настоящих Правил.
3. Субсидии предоставляются при соблюдении следующих условий:
а) наличие правового акта субъекта Российской Федерации, утверждающего перечень мероприятий (результатов), при реализации которых возникают расходные обязательства субъекта Российской Федерации, в целях софинансирования которых предоставляется субсидия;
б) наличие в бюджете субъекта Российской Федерации бюджетных ассигнований на исполнение расходного обязательства субъекта Российской Федерации, софинансирование которого осуществляется из федерального бюджета, в объеме, необходимом для его исполнения;
в) заключение соглашения о предоставлении субсидии из федерального бюджета бюджету субъекта Российской Федерации, заключаемого между Министерством строительства и жилищно-коммунального хозяйства Российской Федерации и высшим исполнительным органом субъекта Российской Федерации в соответствии с
пунктом 10 Правил формирования, предоставления и распределения субсидий из федерального бюджета бюджетам субъектов Российской Федерации, утвержденных постановлением Правительства Российской Федерации от 30 сентября 2014 г. N 999 "О формировании, предоставлении и распределении субсидий из федерального бюджета бюджетам субъектов Российской Федерации" (далее соответственно - Правила формирования, предоставления и распределения субсидий, соглашение).
4. Критерием отбора субъектов Российской Федерации для предоставления субсидии является наличие незавершенного объекта капитального строительства в федеральном реестре, признанного таковым по основаниям, установленным
статьей 55.34 Градостроительного кодекса Российской Федерации, и в отношении которого принято управленческое решение в соответствии с
абзацем вторым подпункта "а" пункта 1 постановления Правительства Российской Федерации от 26 июля 2022 г. N 1333 "О последствиях включения объекта незавершенного строительства, строительство, реконструкция которого осуществлялись полностью или частично за счет средств бюджетов бюджетной системы Российской Федерации и не завершены, в федеральный реестр незавершенных объектов капитального строительства, в региональный реестр незавершенных объектов капитального строительства".
5. Отбор субъектов Российской Федерации для предоставления субсидий осуществляется на основании заявок высших исполнительных органов субъектов Российской Федерации (уполномоченных ими должностных лиц) на предоставление субсидий (далее - заявка).
Форма заявки утверждается Министерством строительства и жилищно-коммунального хозяйства Российской Федерации.
Заявка содержит следующую информацию:
наименование незавершенного объекта капитального строительства;
технологические параметры незавершенного объекта капитального строительства;
сроки ввода в эксплуатацию незавершенного объекта капитального строительства;
общий размер потребности в бюджетных ассигнованиях, необходимый в целях исполнения расходных обязательств субъекта Российской Федерации, и его распределение по годам.
Организацию приема и рассмотрения заявок обеспечивает Министерство строительства и жилищно-коммунального хозяйства Российской Федерации с привлечением в установленном им порядке подведомственной организации.
Включение в заявку незавершенных объектов капитального строительства согласовывается с федеральным органом исполнительной власти, осуществляющим функции по выработке и реализации государственной политики и нормативно-правовому регулированию в соответствующей сфере деятельности.
6. Адресное (пообъектное) распределение субсидий по незавершенным объектам капитального строительства, в целях софинансирования мероприятий по завершению строительства которых предоставляются субсидии в текущем году, утверждается (определяется) в соответствии с
пунктом 5 Правил формирования, предоставления и распределения субсидий.
7. При планировании направления субсидии на цели, предусмотренные
пунктом 1 настоящих Правил, субъектом Российской Федерации одновременно с заявкой в отношении каждого незавершенного объекта капитального строительства предоставляются следующие документы и сведения:
а) паспорт инвестиционного проекта по форме, установленной Министерством строительства и жилищно-коммунального хозяйства Российской Федерации;
б) копия положительного заключения государственной экспертизы проектной документации, содержащего оценку достоверности определения сметной стоимости строительства незавершенных объектов капитального строительства, в случаях, установленных
частью 2 статьи 8.3 Градостроительного кодекса Российской Федерации, и копия положительного заключения государственной экспертизы результатов инженерных изысканий, выполненных для подготовки такой проектной документации, если проведение инженерных изысканий является обязательным в соответствии с Градостроительным
кодексом Российской Федерации (в случае если проведение такой экспертизы в соответствии с законодательством Российской Федерации является обязательным), выданных не ранее чем за 3 года до года представления заявки;
в) документы об утверждении проектной документации на завершение строительства (реконструкции) незавершенного объекта капитального строительства в соответствии с законодательством Российской Федерации;
г) выписка из Единого государственного реестра недвижимости, подтверждающая право собственности субъекта Российской Федерации на незавершенный объект капитального строительства в соответствии с Федеральным
законом "О государственной регистрации недвижимости".
8. Предоставление субсидии бюджету субъекта Российской Федерации осуществляется на основании соглашения, подготавливаемого (формируемого) и заключаемого в государственной интегрированной информационной системе управления общественными финансами "Электронный бюджет" в соответствии с
типовой формой соглашения, утвержденной Министерством финансов Российской Федерации.
В соглашении могут быть установлены различные уровни софинансирования расходного обязательства субъекта Российской Федерации из федерального бюджета по отдельным мероприятиям (объектам капитального строительства) в случае предоставления субсидий в целях софинансирования расходного обязательства субъекта Российской Федерации, предусматривающего реализацию более одного мероприятия (капитальные вложения в несколько объектов капитального строительства).
9. Субсидии распределяются между субъектами Российской Федерации на основании заявок в следующем порядке:
а) бюджетные ассигнования в размере до 30 процентов общего объема бюджетных ассигнований, предусмотренных на соответствующий финансовый год, распределяются между незавершенными объектами капитального строительства в соответствии с решениями президиума (штаба) Правительственной комиссии по региональному развитию в Российской Федерации;
б) не распределенные в соответствии с
подпунктом "а" настоящего пункта бюджетные ассигнования распределяются между незавершенными объектами капитального строительства на основании коэффициента финансового обеспечения, определяемого по каждому незавершенному объекту капитального строительства в соответствии с
пунктом 11 настоящих Правил.
10. Размер субсидии из федерального бюджета бюджетам субъектов Российской Федерации (Si) определяется по формуле:
где:
Sобщ - общий объем бюджетных ассигнований федерального бюджета на текущий финансовый год, предусмотренных Министерству строительства и жилищно-коммунального хозяйства Российской Федерации, для предоставления субсидий из федерального бюджета бюджетам субъектов Российской Федерации, распределяемых на соответствующий год;
Pi - общая потребность субъекта Российской Федерации в бюджетных ассигнованиях, необходимых для финансового обеспечения завершения строительством незавершенных объектов капитального строительства в соответствующих финансовых годах в соответствии с коэффициентом финансового обеспечения (Ki);
Y
i - предельный уровень софинансирования расходного обязательства субъекта Российской Федерации из федерального бюджета, утверждаемый Правительством Российской Федерации в соответствии с
пунктом 13 Правил формирования, предоставления и распределения субсидий, процентов;
n - число субъектов Российской Федерации, между бюджетами которых распределяются субсидии.
11. Коэффициент финансового обеспечения (K
i) в отношении каждого незавершенного объекта капитального строительства, включенного в заявку, определяется по формуле:
где:
Ci - планируемый субъектом Российской Федерации общий объем бюджетных ассигнований на финансовое обеспечение незавершенных объектов капитального строительства в соответствующих финансовых годах;
Ti - общая сметная стоимость, предусмотренная для i-го незавершенного объекта капитального строительства в соответствии с заключением государственной экспертизы проектной документации, содержащим оценку достоверности определения сметной стоимости (при наличии), или предполагаемая (предельная) стоимость.
12. Субсидии распределяются субъектам Российской Федерации в соответствующем финансовом году согласно заявкам и по каждому незавершенному объекту капитального строительства в порядке убывания коэффициента финансового обеспечения.
Субсидии, предоставляемые субъектам Российской Федерации, рассчитываются как сумма субсидий, распределенных в соответствии с
абзацем первым настоящего пункта, в порядке, предусмотренном
пунктом 9 настоящих Правил, с учетом коэффициента финансового обеспечения.
В случае если размер субсидии, рассчитанный в отношении незавершенного объекта капитального строительства, оказывается больше остатка планируемого объема бюджетных ассигнований федерального бюджета, образовавшегося после распределения субсидий между незавершенными объектами капитального строительства, имеющими больший коэффициент финансового обеспечения, на реализацию таких незавершенных объектов капитального строительства предоставляется субсидия в размере остатка бюджетных ассигнований.
13. В ходе исполнения федерального бюджета в распределение субсидий между субъектами Российской Федерации на текущий финансовый год могут быть внесены изменения, при которых положения
пункта 9 и
11 настоящих Правил не применяются.
14. Предложения по распределению субсидий между субъектами Российской Федерации рассматриваются президиумом (штабом) Правительственной комиссии по региональному развитию в Российской Федерации и утверждаются в порядке, установленном бюджетным законодательством Российской Федерации.
15. Результатом использования субсидии является завершение строительства (реконструкции) незавершенных объектов капитального строительства, включенных в федеральный реестр, и их ввод в эксплуатацию.
16. Оценка эффективности использования субсидии осуществляется Министерством строительства и жилищно-коммунального хозяйства Российской Федерации путем сравнения фактически достигнутых и плановых значений результата использования субсидии, предусмотренного соглашением.
17. Перечисление субсидий осуществляется в установленном порядке на единые счета бюджетов, открытые финансовым органам субъектов Российской Федерации в территориальных органах Федерального казначейства.
18. Порядок и условия возврата средств из бюджета субъекта Российской Федерации в федеральный бюджет в случае нарушения субъектом Российской Федерации обязательств, предусмотренных соглашением, а также основания для освобождения субъекта Российской Федерации от применения мер финансовой ответственности установлены
пунктами 16 -
20 Правил формирования, предоставления и распределения субсидий.
19. Высший исполнительный орган субъекта Российской Федерации представляет в Министерство строительства и жилищно-коммунального хозяйства Российской Федерации в порядке и сроки, которые установлены соглашением, посредством государственной интегрированной информационной системы управления общественными финансами "Электронный бюджет" отчетность об осуществлении расходов бюджета субъекта Российской Федерации, в целях софинансирования которых предоставляется субсидия, а также о достижении значений результата использования субсидии.
20. Ответственность в соответствии с законодательством Российской Федерации за достоверность представляемых в Министерство строительства и жилищно-коммунального хозяйства Российской Федерации сведений, содержащихся в заявке и документах, указанных в
пунктах 5 и
7 настоящих Правил, а также отчетности, указанной в
пункте 19 настоящих Правил, несет высший исполнительный орган субъекта Российской Федерации.
21. В случае нарушения целей, установленных при предоставлении субсидии, применяются бюджетные меры принуждения, предусмотренные бюджетным законодательством Российской Федерации.
22. Контроль за соблюдением субъектами Российской Федерации условий предоставления субсидий осуществляется Министерством строительства и жилищно-коммунального хозяйства Российской Федерации и уполномоченными органами государственного финансового контроля.
к государственной программе
Российской Федерации "Обеспечение
доступным и комфортным жильем
и коммунальными услугами граждан
Российской Федерации"
ПРАВИЛА
ПРЕДОСТАВЛЕНИЯ И РАСПРЕДЕЛЕНИЯ СУБСИДИЙ ИЗ ФЕДЕРАЛЬНОГО
БЮДЖЕТА БЮДЖЕТАМ СУБЪЕКТОВ РОССИЙСКОЙ ФЕДЕРАЦИИ
НА СОФИНАНСИРОВАНИЕ РАСХОДНЫХ ОБЯЗАТЕЛЬСТВ СУБЪЕКТОВ
РОССИЙСКОЙ ФЕДЕРАЦИИ, ВОЗНИКАЮЩИХ ПРИ РЕАЛИЗАЦИИ
ПРОЕКТОВ ПО КОМПЛЕКСНОМУ РАЗВИТИЮ ТЕРРИТОРИЙ
| | Список изменяющих документов (введены Постановлением Правительства РФ от 30.11.2024 N 1685; в ред. Постановления Правительства РФ от 07.11.2025 N 1761) | |
1. Настоящие Правила устанавливают цель, порядок и условия предоставления субсидий из федерального бюджета бюджетам субъектов Российской Федерации на софинансирование расходных обязательств субъектов Российской Федерации, возникающих при реализации проектов по комплексному развитию территорий, расположенных в границах населенных пунктов и предусматривающих строительство жилья, которые включены в государственные программы субъектов Российской Федерации по развитию жилищного строительства (далее соответственно - субсидии, проект комплексного развития территории).
2. Субсидии предоставляются бюджетам субъектов Российской Федерации, в отношении которых разрабатываются индивидуальные программы социально-экономического развития, и бюджетам субъектов Российской Федерации, у которых уровень расчетной бюджетной обеспеченности, определяемый в соответствии со
статьей 131 Бюджетного кодекса Российской Федерации, составляет менее 0,65 (до выравнивания бюджетной обеспеченности субъектов Российской Федерации) в год определения субъекта Российской Федерации и проектов комплексного развития территорий по итогам отбора в соответствии с
пунктом 4 настоящих Правил.
Уровень расчетной бюджетной обеспеченности бюджетов субъектов Российской Федерации (до выравнивания бюджетной обеспеченности субъектов Российской Федерации) при предоставлении субсидии в последующие годы принимается на уровне, определенном при прохождении отбора субъекта Российской Федерации и проекта комплексного развития территории.
Субсидии предоставляются Министерством строительства и жилищно-коммунального хозяйства Российской Федерации в пределах лимитов бюджетных обязательств, доведенных до Министерства как получателя средств федерального бюджета для предоставления субсидии на цели, предусмотренные
пунктом 8 настоящих Правил.
(п. 2 в ред. Постановления Правительства РФ от 07.11.2025 N 1761)
3. Субсидии из федерального бюджета предоставляются при соблюдении субъектом Российской Федерации условий, предусмотренных
абзацами вторым -
четвертым пункта 8 Правил формирования, предоставления и распределения субсидий из федерального бюджета бюджетам субъектов Российской Федерации, утвержденных постановлением Правительства Российской Федерации от 30 сентября 2014 г. N 999 "О формировании, предоставлении и распределении субсидий из федерального бюджета бюджетам субъектов Российской Федерации" (далее - Правила предоставления субсидий).
(п. 3 в ред. Постановления Правительства РФ от 07.11.2025 N 1761)
4. Критерием отбора субъектов Российской Федерации для предоставления субсидий является реализация на территории субъекта Российской Федерации проекта комплексного развития территории (проектов комплексного развития территорий), предусматривающего строительство жилья, который включен в государственную программу субъекта Российской Федерации по развитию жилищного строительства.
5. Предоставление субсидии осуществляется на основании соглашения о предоставлении субсидии из федерального бюджета бюджету субъекта Российской Федерации, заключаемого между Министерством строительства и жилищно-коммунального хозяйства Российской Федерации и высшим исполнительным органом субъекта Российской Федерации (далее - соглашение), подготавливаемого (формируемого) и заключаемого в государственной интегрированной информационной системе управления общественными финансами "Электронный бюджет" в соответствии с
типовой формой соглашения, утвержденной Министерством финансов Российской Федерации.
(в ред. Постановления Правительства РФ от 07.11.2025 N 1761)
6. Высший исполнительный орган субъекта Российской Федерации представляет в Министерство строительства и жилищно-коммунального хозяйства Российской Федерации заявку на предоставление субсидии по
форме и в
порядке, которые утверждаются Министерством (далее - заявка).
Организацию приема и рассмотрения заявок обеспечивает Министерство строительства и жилищно-коммунального хозяйства Российской Федерации с привлечением в установленном порядке подведомственной организации.
7. При планировании направления субсидии на цели, предусмотренные
подпунктами "а" -
"в" пункта 8 настоящих Правил, субсидии предоставляются на реализацию проектов по комплексному развитию территорий, соответствующих следующим критериям:
(в ред. Постановления Правительства РФ от 07.11.2025 N 1761)
а) наличие решения о комплексном развитии территории, принятого в соответствии с Градостроительным
кодексом Российской Федерации, за исключением случаев, когда принятие такого решения не предусмотрено Градостроительным
кодексом Российской Федерации;
(пп. "а" в ред. Постановления Правительства РФ от 07.11.2025 N 1761)
б) наличие договора о комплексном развитии территории и (или) указанного в
части 5 статьи 71 Градостроительного кодекса Российской Федерации соглашения, которыми предусмотрено обязательство субъекта Российской Федерации и (или) муниципального образования по реализации мероприятий, соответствующих целям, предусмотренным
пунктом 8 настоящих Правил, за исключением случаев, когда заключение таких договора и (или) соглашения не было предусмотрено Градостроительным
кодексом Российской Федерации;
(в ред. Постановления Правительства РФ от 07.11.2025 N 1761)
в) наличие документов, подтверждающих планируемое строительство жилья в объеме, заявленном субъектом Российской Федерации в рамках проекта комплексного развития территории в очередном финансовом году (разрешений на строительство многоквартирных домов и (или) иных документов).
7(1). При планировании направления субсидии на цель, предусмотренную
подпунктом "д" пункта 8 настоящих Правил, субсидии предоставляются на реализацию проектов по комплексному развитию территорий, соответствующих следующему критерию, - наличие решения о комплексном развитии территории, принятого в соответствии с Градостроительным
кодексом Российской Федерации.
(п. 7(1) введен Постановлением Правительства РФ от 07.11.2025 N 1761)
8. Субсидии могут быть направлены на следующие цели:
а) строительство и (или) реконструкция объектов социальной инфраструктуры (дошкольных учреждений, образовательных учреждений и учреждений здравоохранения) в целях реализации проектов комплексного развития территорий;
б) строительство и (или) реконструкция объектов транспортной инфраструктуры в целях реализации проектов комплексного развития территорий;
в) строительство и (или) реконструкция объектов водоснабжения, водоотведения и теплоснабжения в целях реализации проектов комплексного развития территорий;
г) подключение (технологическое присоединение) объектов капитального строительства к сетям теплоснабжения, водоснабжения и водоотведения в целях реализации проектов комплексного развития территорий;
д) строительство и (или) реконструкция объектов транспортной инфраструктуры, объектов водоснабжения, водоотведения и теплоснабжения в целях реализации проектов комплексного развития территорий, по которым на дату подачи заявки принято решение о комплексном развитии территории, но не заключены соответствующие договоры в соответствии с
пунктом 6 части 6,
пунктами 4 и
6 части 7,
пунктом 3 части 8 статьи 66 Градостроительного кодекса Российской Федерации.
(пп. "д" введен Постановлением Правительства РФ от 07.11.2025 N 1761)
9. При планировании направления субсидии на цели, предусмотренные
подпунктами "а" -
"в" пункта 8 настоящих Правил, субъектами Российской Федерации в отношении каждого объекта капитального строительства представляются в Министерство строительства и жилищно-коммунального хозяйства Российской Федерации следующие сведения и документы:
а) наименование объекта капитального строительства, его технологические параметры и сроки ввода в эксплуатацию;
б) размер потребности субъекта Российской Федерации, в том числе размер потребности в средствах федерального бюджета, в финансовом обеспечении строительства и (или) реконструкции;
в) копия положительного заключения государственной экспертизы проектной документации и (или) результатов инженерных изысканий, содержащего оценку достоверности определения сметной стоимости строительства объекта капитального строительства;
г) утратил силу. - Постановление Правительства РФ от 07.11.2025 N 1761;
д) сведения, необходимые для проведения проверки инвестиционного проекта на предмет эффективности использования средств федерального бюджета, направляемых на капитальные вложения, предусмотренные
Правилами проведения проверки инвестиционных проектов на предмет эффективности использования средств федерального бюджета, направляемых на капитальные вложения, утвержденными постановлением Правительства Российской Федерации от 15 марта 2023 г. N 399 "О случаях и порядке проведения проверки инвестиционных проектов на предмет эффективности использования средств федерального бюджета, направляемых на капитальные вложения, о внесении изменений в некоторые акты Правительства Российской Федерации, приостановлении действия постановления Правительства Российской Федерации от 12 августа 2008 г. N 590 и отдельных положений некоторых актов Правительства Российской Федерации, а также признании утратившими силу некоторых актов и отдельных положений некоторых актов Правительства Российской Федерации", - в случаях, определенных указанным постановлением;
е) копия решения о комплексном развитии территории, в границах которой планируется строительство объектов, указанных в
пункте 8 настоящих Правил, копия договора о комплексном развитии указанной территории и (или) копия указанного в
части 5 статьи 71 Градостроительного кодекса Российской Федерации соглашения, заключенных в целях реализации указанного решения;
ж) копии документов, подтверждающих планируемое строительство жилья в очередном финансовом году в объеме, заявленном субъектом Российской Федерации в рамках проекта по комплексному развитию территории (разрешений на строительство многоквартирных домов и (или) иных документов).
9(1). При планировании направления субсидии на цель, предусмотренную
подпунктом "д" пункта 8 настоящих Правил, субъектами Российской Федерации в отношении каждого объекта капитального строительства представляются в Министерство строительства и жилищно-коммунального хозяйства Российской Федерации следующие сведения и документы:
а) наименование объекта капитального строительства, его технологические параметры и сроки ввода в эксплуатацию;
б) размер потребности субъекта Российской Федерации, в том числе размер потребности в средствах федерального бюджета, в финансовом обеспечении строительства и (или) реконструкции;
в) копия положительного заключения государственной экспертизы проектной документации и (или) результатов инженерных изысканий, содержащего оценку достоверности определения сметной стоимости строительства объекта капитального строительства;
г) сведения, необходимые для проведения проверки инвестиционного проекта на предмет эффективности использования средств федерального бюджета, направляемых на капитальные вложения, предусмотренные
Правилами проведения проверки инвестиционных проектов на предмет эффективности использования средств федерального бюджета, направляемых на капитальные вложения, утвержденными постановлением Правительства Российской Федерации от 15 марта 2023 г. N 399 "О случаях и порядке проведения проверки инвестиционных проектов на предмет эффективности использования средств федерального бюджета, направляемых на капитальные вложения, о внесении изменений в некоторые акты Правительства Российской Федерации, приостановлении действия постановления Правительства Российской Федерации от 12 августа 2008 г. N 590 и отдельных положений некоторых актов Правительства Российской Федерации, а также признании утратившими силу некоторых актов и отдельных положений некоторых актов Правительства Российской Федерации", - в случаях, определенных указанным постановлением;
д) копия решения о комплексном развитии территории, принятого в соответствии с Градостроительным
кодексом Российской Федерации;
е) план мероприятий ("дорожная карта") по реализации решения о комплексном развитии территорий.
(п. 9(1) введен Постановлением Правительства РФ от 07.11.2025 N 1761)
10. При планировании направления субсидии на цель, предусмотренную
подпунктом "г" пункта 8 настоящих Правил, субъектами Российской Федерации представляются в Министерство строительства и жилищно-коммунального хозяйства Российской Федерации следующие сведения и документы:
а) расчет размера средств на оплату договора о подключении (технологическом присоединении) объекта капитального строительства к сетям теплоснабжения, водоснабжения и водоотведения;
б) копия договора о подключении (технологическом присоединении) объекта капитального строительства к сетям теплоснабжения, водоснабжения и водоотведения, в том числе график платежей по такому договору;
в) акт сверки взаиморасчетов, подписанный сторонами договора о подключении (технологическом присоединении) объекта капитального строительства к сетям теплоснабжения, водоснабжения и водоотведения.
11. Направление субсидии на оплату задолженности по договору о подключении (технологическом присоединении) объекта капитального строительства к сетям теплоснабжения, водоснабжения и водоотведения не осуществляется.
12. При планировании направления субсидий в 2025 году на цели, предусмотренные
пунктом 8 настоящих Правил, субъекты Российской Федерации представляют сведения и документы, предусмотренные
пунктами 9 и
10 настоящих Правил, не позднее 1 февраля 2025 г.
При планировании направления субсидий в 2026 году и последующих годах на цели, предусмотренные
пунктом 8 настоящих Правил, субъекты Российской Федерации представляют сведения и документы, предусмотренные
пунктами 9 -
10 настоящих Правил, не позднее 1 июля года, предшествующего году предоставления субсидии.
(в ред. Постановления Правительства РФ от 07.11.2025 N 1761)
13. Предоставление субсидии на цели, предусмотренные
пунктом 8 настоящих Правил, осуществляется после представления в Министерство строительства и жилищно-коммунального хозяйства Российской Федерации сведений и документов, предусмотренных
пунктами 9 -
10 настоящих Правил.
(в ред. Постановления Правительства РФ от 07.11.2025 N 1761)
Адресное (пообъектное) распределение субсидий по объектам капитального строительства, софинансирование строительства и (или) реконструкции которых осуществляется за счет субсидии, определяется в соответствии с
пунктом 5 Правил предоставления субсидий.
В случае необходимости внесения изменений в проектную документацию объекта капитального строительства, включенного в указанное в
абзаце втором настоящего пункта адресное (пообъектное) распределение субсидий, техническое задание на подготовку изменений в проектную документацию согласовывается с Министерством строительства и жилищно-коммунального хозяйства Российской Федерации. После получения положительного заключения государственной экспертизы проектной документации в отношении изменений, внесенных в проектную документацию, в Министерство строительства и жилищно-коммунального хозяйства Российской Федерации повторно представляются сведения и документы, предусмотренные
пунктами 9 -
10 настоящих Правил, по такому объекту капитального строительства.
(в ред. Постановления Правительства РФ от 07.11.2025 N 1761)
14. Размер субсидии, распределяемой бюджету субъекта Российской Федерации в соответствующем году (Сi), определяется по формуле:
где:
QРАСП - общий размер субсидии, подлежащей распределению между субъектами Российской Федерации в соответствующем году, тыс. рублей;
МКДпланi - плановый объем ввода жилья в многоквартирных домах в i-м субъекте Российской Федерации в соответствующем году, тыс. кв. метров;
dкртi - целевое значение объема ввода жилья в многоквартирных домах в рамках реализации проектов комплексного развития территорий в i-м субъекте Российской Федерации в соответствующем году, процентов;
ПУСi - предельный уровень софинансирования i-го субъекта Российской Федерации в соответствующем году, процентов.
Показатель dкртi для Донецкой Народной Республики, Луганской Народной Республики, Запорожской области и Херсонской области принимается равным 5 процентам, для остальных субъектов Российской Федерации показатель dкртi принимается равным 10 процентам.
15. Субсидии, предусмотренные бюджетам субъектов Российской Федерации на 2025 год, подлежат перераспределению при отсутствии на 1 февраля 2025 г. сведений и (или) документов, предусмотренных
пунктами 9 и
10 настоящих Правил.
Субсидии, предусмотренные бюджетам субъектов Российской Федерации на очередной финансовый год, подлежат перераспределению в следующих случаях:
при нарушении субъектом Российской Федерации обязательств, предусмотренных соглашением в соответствии с
подпунктом "б(1)" пункта 10 Правил предоставления субсидий, в отчетном финансовом году;
при отсутствии на 1 июля года, предшествующего году предоставления субсидии, сведений и (или) документов, предусмотренных
пунктами 9 -
10 настоящих Правил.
(в ред. Постановления Правительства РФ от 07.11.2025 N 1761)
16. Предусмотренное
пунктом 15 настоящих Правил перераспределение субсидий осуществляется между субъектами Российской Федерации, указанными в
пункте 2 настоящих Правил, с учетом необходимости увеличения для субъекта Российской Федерации, бюджету которого перераспределяется субсидия, плановых значений результата использования субсидии, указанного в
абзаце втором пункта 18 настоящих Правил.
В случае если субъект Российской Федерации не достигнет планового показателя объема ввода жилья в субъекте Российской Федерации, установленного
паспортом федерального проекта "Жилье", входящего в состав национального проекта "Инфраструктура для жизни", размер субсидии, предоставляемой бюджету субъекта Российской Федерации в очередном финансовом году, может быть сокращен по решению президиума (штаба) Правительственной комиссии по региональному развитию в Российской Федерации.
Предложения по перераспределению субсидий направляются Министерством строительства и жилищно-коммунального хозяйства Российской Федерации на рассмотрение президиума (штаба) Правительственной комиссии по региональному развитию в Российской Федерации и утверждаются в порядке, установленном бюджетным законодательством Российской Федерации.
(п. 16 в ред. Постановления Правительства РФ от 07.11.2025 N 1761)
17. Допускается установление различных уровней софинансирования расходного обязательства субъекта Российской Федерации за счет субсидии по отдельным объектам и мероприятию, на строительство и (или) реконструкцию и реализацию которых соответственно могут быть направлены субсидии в соответствии с
пунктом 8 настоящих Правил.
18. Эффективность использования субсидии оценивается Министерством строительства и жилищно-коммунального хозяйства Российской Федерации путем сравнения фактически достигнутых и плановых значений следующих результатов использования субсидии, устанавливаемых соглашением:
"Объем ввода жилья по проектам комплексного развития территорий субъекта Российской Федерации" (за исключением цели, предусмотренной
подпунктом "д" пункта 8 настоящих Правил);
(в ред. Постановления Правительства РФ от 07.11.2025 N 1761)
"Завершено строительство и (или) реконструкция объектов социальной инфраструктуры (дошкольных учреждений, образовательных учреждений и учреждений здравоохранения), объектов транспортной инфраструктуры, объектов водоснабжения, водоотведения и теплоснабжения в целях реализации проектов комплексного развития территорий, осуществлено подключение (технологическое присоединение) объектов капитального строительства к сетям теплоснабжения, водоснабжения и водоотведения в целях реализации проектов комплексного развития территорий".
19. Порядок и условия возврата средств из бюджета субъекта Российской Федерации в федеральный бюджет в случае нарушения обязательств и условий, предусмотренных соглашением в соответствии с
подпунктами "б(1)" и
"в" пункта 10 Правил предоставления субсидий, а также основание для освобождения субъекта Российской Федерации от применения мер финансовой ответственности предусмотрены
пунктами 16 -
19 и
20 Правил предоставления субсидий.
20. Перечисление субсидий осуществляется в установленном порядке на единые счета бюджетов, открытые финансовым органам субъектов Российской Федерации в территориальных органах Федерального казначейства.
21. Уполномоченные высшим исполнительным органом субъекта Российской Федерации исполнительные органы субъекта Российской Федерации представляют в порядке и сроки, которые установлены соглашением, в государственной интегрированной информационной системе управления общественными финансами "Электронный бюджет" отчетность об осуществлении расходов бюджета субъекта Российской Федерации, в целях софинансирования которых предоставляется субсидия, а также о достижении значений результатов использования субсидии.
22. В случае нарушения целей, установленных при предоставлении субсидии, применяются бюджетные меры принуждения, предусмотренные бюджетным законодательством Российской Федерации.
23. Контроль за соблюдением субъектами Российской Федерации условий предоставления субсидий осуществляется Министерством строительства и жилищно-коммунального хозяйства Российской Федерации и уполномоченными органами государственного финансового контроля.
к государственной программе
Российской Федерации "Обеспечение
доступным и комфортным жильем
и коммунальными услугами граждан
Российской Федерации"
ПРАВИЛА
ПРЕДОСТАВЛЕНИЯ И РАСПРЕДЕЛЕНИЯ СУБСИДИЙ
ИЗ ФЕДЕРАЛЬНОГО БЮДЖЕТА БЮДЖЕТАМ СУБЪЕКТОВ РОССИЙСКОЙ
ФЕДЕРАЦИИ И БЮДЖЕТУ Г. БАЙКОНУРА НА СОФИНАНСИРОВАНИЕ
РЕАЛИЗАЦИИ МЕРОПРИЯТИЙ ПО МОДЕРНИЗАЦИИ
КОММУНАЛЬНОЙ ИНФРАСТРУКТУРЫ
| | Список изменяющих документов | |
1. Настоящие Правила устанавливают цели, условия и порядок предоставления и распределения субсидий из федерального бюджета бюджетам субъектов Российской Федерации и бюджету г. Байконура в целях софинансирования расходных обязательств субъектов Российской Федерации и г. Байконура, возникающих при реализации в рамках государственной
программы Российской Федерации "Обеспечение доступным и комфортным жильем и коммунальными услугами граждан Российской Федерации" мероприятий, предусмотренных сформированными в автоматизированной информационной системе публично-правовой компании "Фонд развития территорий" (далее - Фонд) комплексными планами модернизации систем коммунальной инфраструктуры субъектов Российской Федерации и г. Байконура, которые включены в государственные программы субъектов Российской Федерации и г. Байконура и предусматривают строительство, реконструкцию (модернизацию), капитальный ремонт объектов коммунальной инфраструктуры на территориях субъектов Российской Федерации и г. Байконура, и (или) при предоставлении субсидий местным бюджетам из бюджетов субъектов Российской Федерации на реализацию указанных мероприятий (далее соответственно - комплексные планы, субсидии).
Комплексные планы разрабатываются с учетом методических рекомендаций, утверждаемых Министерством строительства и жилищно-коммунального хозяйства Российской Федерации, и согласовываются с Фондом.
Под объектами коммунальной инфраструктуры на территориях субъектов Российской Федерации и г. Байконура понимаются объекты капитального строительства, в том числе линейные объекты, находящиеся в государственной собственности субъекта Российской Федерации или муниципальной собственности, а также находящиеся в соответствии с международными договорами и международными соглашениями во владении и пользовании администрации г. Байконура, предназначенные для оказания населению услуг в сферах водоснабжения, водоотведения и теплоснабжения, а также для передачи тепловой энергии, теплоносителя от источников тепловой энергии, включая источники тепловой энергии, функционирующие в режиме комбинированной выработки электрической и тепловой энергии, до теплопотребляющих установок (далее - объекты коммунальной инфраструктуры).
2. Субсидии предоставляются в пределах лимитов бюджетных обязательств, доведенных до Министерства строительства и жилищно-коммунального хозяйства Российской Федерации как получателя средств федерального бюджета на цели, указанные в
пункте 8 настоящих Правил.
3. Критерием отбора субъектов Российской Федерации и г. Байконура для предоставления субсидии является наличие объектов коммунальной инфраструктуры в комплексном плане на соответствующий год, реализуемом на территории субъекта Российской Федерации и территории г. Байконура.
4. Субсидия предоставляется на основании соглашения о предоставлении субсидии между Министерством строительства и жилищно-коммунального хозяйства Российской Федерации и высшим исполнительным органом субъекта Российской Федерации или главой администрации г. Байконура в соответствии с
пунктом 10 Правил формирования, предоставления и распределения субсидий из федерального бюджета бюджетам субъектов Российской Федерации, утвержденных постановлением Правительства Российской Федерации от 30 сентября 2014 г. N 999 "О формировании, предоставлении и распределении субсидий из федерального бюджета бюджетам субъектов Российской Федерации" (далее соответственно - соглашение, Правила предоставления субсидий), подготавливаемого (формируемого) и заключаемого с использованием государственной интегрированной информационной системы управления общественными финансами "Электронный бюджет" в соответствии с
типовой формой, утвержденной Министерством финансов Российской Федерации.
5. Субсидия предоставляется при соблюдении следующих условий:
а) наличие нормативных правовых актов субъекта Российской Федерации и г. Байконура, утверждающих государственные программы субъекта Российской Федерации и г. Байконура, предусматривающие мероприятия, указанные в
пункте 1 настоящих Правил, при осуществлении которых возникают расходные обязательства субъекта Российской Федерации и г. Байконура, в целях софинансирования которых предоставляется субсидия;
б) наличие в бюджете субъекта Российской Федерации и бюджете г. Байконура бюджетных ассигнований на исполнение расходного обязательства субъекта Российской Федерации и расходного обязательства г. Байконура по финансовому обеспечению мероприятий, указанных в
пункте 1 настоящих Правил, софинансирование которого осуществляется из федерального бюджета в объеме, необходимом для его исполнения, включающем размер планируемой к предоставлению субсидии;
в) заключение соглашения между Министерством строительства и жилищно-коммунального хозяйства Российской Федерации и высшим исполнительным органом субъекта Российской Федерации или главой администрации г. Байконура.
6. Мероприятия, указанные в
пункте 1 настоящих Правил и подлежащие реализации в опорных населенных пунктах, на базе которых обеспечивается ускоренное развитие инфраструктуры, обеспечивающей реализацию гарантий в сфере образования, доступность медицинской помощи, услуг в сфере культуры и реализацию иных потребностей населения территории одного или нескольких муниципальных образований, финансируются за счет средств субсидии в приоритетном порядке.
Мониторинг реализации мероприятий, указанных в
пункте 1 настоящих Правил, осуществляется Фондом в соответствии с порядком, установленным Фондом по согласованию с Министерством строительства и жилищно-коммунального хозяйства Российской Федерации.
7. Соглашение между Министерством строительства и жилищно-коммунального хозяйства Российской Федерации и высшим исполнительным органом субъекта Российской Федерации, за исключением соглашений, заключаемых с высшими исполнительными органами Донецкой Народной Республики, Луганской Народной Республики, Запорожской области и Херсонской области, включает помимо предусмотренных
пунктом 10 Правил предоставлении субсидий условий следующие обязательства субъекта Российской Федерации:
а) заключение между Министерством строительства и жилищно-коммунального хозяйства Российской Федерации и высшим исполнительным органом субъекта Российской Федерации до 1 апреля 2025 г. меморандума о модернизации систем коммунальной инфраструктуры на территории субъекта Российской Федерации по форме, определяемой Министерством строительства и жилищно-коммунального хозяйства Российской Федерации (далее - меморандум), содержащего положения:
о ежегодном сокращении доли задолженности потребителей коммунальных услуг (коммунальных ресурсов) перед ресурсоснабжающими организациями, не погашенной в установленные в соответствии с законодательством Российской Федерации сроки, в общем объеме дебиторской задолженности потребителей коммунальных услуг (коммунальных ресурсов) перед ресурсоснабжающими организациями не менее чем на 2 процента по сравнению с предыдущим значением доли указанной задолженности в общем объеме указанной дебиторской задолженности по данным годовой бухгалтерской отчетности ресурсоснабжающих организаций за год, предшествующий году предоставления субсидии;
об утверждении до 1 января 2026 г. инвестиционных программ ресурсоснабжающих организаций всеми ресурсоснабжающими организациями, реализующими мероприятия комплексного плана;
о достижении соотношения фактического объема реализации инвестиционных программ ресурсоснабжающих организаций по отношению к запланированному объему такой реализации совокупно в сферах водоснабжения, водоотведения и теплоснабжения на территории субъекта Российской Федерации - не менее 80 процентов по итогам 2027 года и не менее 100 процентов по итогам 2029 года;
о достижении фактического значения индекса изменения размера вносимой гражданами платы за коммунальные услуги в среднем по субъекту Российской Федерации не менее 100 процентов значения указанного
индекса, утвержденного Правительством Российской Федерации на год, в котором предоставляется субсидия, при этом фактическое значение указанного индекса определяется ежегодно по состоянию на I квартал года, в котором предоставлена субсидия;
о ежегодном снижении в субъекте Российской Федерации не менее чем на 3 процента среднего времени, затраченного на восстановление работоспособности сетей водоснабжения, водоотведения и теплоснабжения при аварийно-восстановительных ремонтах таких сетей, по отношению к году, предшествующему году предоставления субсидии, в случае если в предыдущем году среднее время, затраченное на восстановление указанной работоспособности, в субъекте Российской Федерации было выше среднего времени, затраченного на восстановление указанной работоспособности, по Российской Федерации;
о замене не менее 2,5 процента общего объема сетей водоснабжения, водоотведения и теплоснабжения, расположенных на территории соответствующего субъекта Российской Федерации, начиная с 2030 года и далее ежегодно;
об утверждении до 1 января 2026 г. уполномоченным органом субъекта Российской Федерации единых на территории субъекта Российской Федерации нормативов потребления коммунальных услуг и нормативов потребления коммунальных ресурсов, потребляемых при использовании и содержании общего имущества в многоквартирных домах, в отношении всех или отдельных муниципальных образований, расположенных на территории субъекта Российской Федерации, либо программы энергосбережения и повышения энергетической эффективности, направленной на энергосбережение и повышение энергетической эффективности использования энергетических ресурсов в отдельных категориях многоквартирных домов, предусматривающей в том числе установку приборов учета энергетических ресурсов, которой в числе прочего предусмотрены сроки поэтапного перехода к установлению единых на территории субъекта Российской Федерации указанных нормативов;
о привлечении к 2030 году дополнительных внебюджетных источников финансирования на реализацию комплексных планов субъектами Российской Федерации в объеме и сроки, которые установлены меморандумом;
о создании к 1 января 2027 г. в субъекте Российской Федерации единого расчетного центра для расчетов за жилищно-коммунальные услуги.
Мониторинг заключения и выполнения условий меморандумов осуществляется Фондом в соответствии с порядком, установленным Фондом по согласованию с Министерством строительства и жилищно-коммунального хозяйства Российской Федерации;
б) привлечение внебюджетных источников финансирования в размере не менее 20 процентов совокупного размера субсидии, определяемого в соответствии с
пунктом 15 настоящих Правил, и минимального размера финансового участия субъекта Российской Федерации в реализации мероприятий, указанных в
пункте 1 настоящих Правил, определяемого в соответствии с
пунктом 20 настоящих Правил, за исключением субсидии, предоставляемой на цели, указанные в
подпункте "в" пункта 8 настоящих Правил.
8. Субсидии предоставляются на следующие цели:
а) строительство, реконструкция (модернизация), капитальный ремонт объектов коммунальной инфраструктуры и (или) предоставление субсидий из бюджетов субъектов Российской Федерации местным бюджетам на софинансирование строительства, реконструкции (модернизации), капитального ремонта объектов коммунальной инфраструктуры;
б) финансирование на этапе создания, реконструкции (модернизации) объектов концессионных соглашений, заключаемых в отношении объектов коммунальной инфраструктуры, части расходов на создание, реконструкцию (модернизацию) объектов таких концессионных соглашений (капитальные гранты) и (или) предоставление субсидий из бюджетов субъектов Российской Федерации местным бюджетам на финансирование на этапе создания, реконструкции (модернизации) объектов концессионных соглашений, заключаемых в отношении объектов коммунальной инфраструктуры, части расходов на создание, реконструкцию (модернизацию) объектов таких концессионных соглашений;
в) осуществление мероприятий, указанных в
подпунктах "а" и
"б" настоящего пункта, а также проведение инженерных изысканий, подготовка (корректировка) проектной документации на строительство, реконструкцию (модернизацию), капитальный ремонт объектов коммунальной инфраструктуры при наличии соответствующих поручений Президента Российской Федерации и Председателя Правительства Российской Федерации.
9. Высший исполнительный орган субъекта Российской Федерации и глава администрации г. Байконура представляют в Министерство строительства и жилищно-коммунального хозяйства Российской Федерации заявку на участие в распределении субсидий по
форме и в
порядке, которые утверждаются Министерством.
Организацию приема и рассмотрения заявок об участии в распределении субсидий обеспечивает Министерство строительства и жилищно-коммунального хозяйства Российской Федерации с привлечением в установленном порядке подведомственной организации.
10. Высший исполнительный орган субъекта Российской Федерации и глава администрации г. Байконура в соответствии с законодательством Российской Федерации несут ответственность за соблюдение настоящих Правил и достоверность сведений, представляемых и (или) содержащихся в заявке, указанной в
пункте 9 настоящих Правил, а также в сведениях и документах, представляемых в Министерство строительства и жилищно-коммунального хозяйства Российской Федерации в соответствии с
пунктами 11 -
13 настоящих Правил.
11. Для получения субсидий на цели, указанные в
подпункте "а" пункта 8 настоящих Правил, субъекты Российской Федерации и глава администрации г. Байконура представляют одновременно с заявкой, указанной в
пункте 9 настоящих Правил, следующие сведения и документы в отношении каждого объекта коммунальной инфраструктуры:
а) паспорт инвестиционного проекта по форме, установленной Министерством строительства и жилищно-коммунального хозяйства Российской Федерации;
б) копии положительного заключения государственной экспертизы проектной документации, в том числе о достоверности определения сметной стоимости строительства, реконструкции (модернизации), капитального ремонта объекта коммунальной инфраструктуры в случаях, установленных
частью 2 статьи 8.3 Градостроительного кодекса Российской Федерации, и положительного заключения государственной экспертизы результатов инженерных изысканий, выполненных для подготовки такой проектной документации (если проведение такой экспертизы в соответствии с законодательством Российской Федерации является обязательным). В проектной документации объектов коммунальной инфраструктуры, реализуемых на территориях Дальневосточного федерального округа и Арктической зоны Российской Федерации, необходимо предусматривать перечень мероприятий и затраты по привлечению студенческих строительных отрядов;
в) документы об утверждении проектной документации в соответствии с законодательством Российской Федерации (если в соответствии с законодательством Российской Федерации подготовка проектной документации является обязательной);
г) сведения, необходимые для проведения проверки инвестиционного проекта на предмет эффективности использования средств федерального бюджета, направляемых на капитальные вложения, предусмотренные
Правилами проведения проверки инвестиционных проектов на предмет эффективности использования средств федерального бюджета, направляемых на капитальные вложения, утвержденными постановлением Правительства Российской Федерации от 15 марта 2023 г. N 399 "О случаях и порядке проведения проверки инвестиционных проектов на предмет эффективности использования средств федерального бюджета, направляемых на капитальные вложения, о внесении изменений в некоторые акты Правительства Российской Федерации, приостановлении действия постановления Правительства Российской Федерации от 12 августа 2008 г. N 590 и отдельных положений некоторых актов Правительства Российской Федерации, а также признании утратившими силу некоторых актов и отдельных положений некоторых актов Правительства Российской Федерации", - в случаях, определенных указанным
постановлением;
д) копии правоустанавливающих документов на земельный участок.
12. Для получения субсидий на цели, указанные в
подпункте "б" пункта 8 настоящих Правил, субъекты Российской Федерации и глава администрации г. Байконура представляют одновременно с заявкой, указанной в
пункте 9 настоящих Правил, копию заключенного концессионного соглашения.
13. Для получения субсидий на цели, указанные в
подпункте "в" пункта 8 настоящих Правил, субъекты Российской Федерации и глава администрации г. Байконура представляют в отношении каждого объекта коммунальной инфраструктуры одновременно с заявкой, указанной в
пункте 9 настоящих Правил, следующие сведения и документы:
а) копия утвержденного задания на проектирование;
б) сроки разработки соответствующей проектной документации;
в) копии правоустанавливающих документов на земельный участок.
14. Адресное (пообъектное) распределение субсидий по объектам капитального строительства определяется в соответствии с
пунктом 6 Правил предоставления субсидий.
15. Совокупный размер субсидии, предоставляемой бюджету i-го субъекта Российской Федерации и бюджету г. Байконура (С
i), определяется по формуле:
где:
С
пр - размер субсидии, предоставляемой бюджету i-го субъекта Российской Федерации и бюджету г. Байконура на цели, указанные в
подпункте "в" пункта 8 настоящих Правил, который определяется на основании решений президиума (штаба) Правительственной комиссии по региональному развитию в Российской Федерации с учетом предельного уровня софинансирования расходного обязательства субъекта Российской Федерации и г. Байконура из федерального бюджета, утверждаемого Правительством Российской Федерации в соответствии с
пунктом 13(1.1) Правил предоставления субсидий, и минимального размера финансового участия субъекта Российской Федерации в реализации мероприятий, указанных в
пункте 1 настоящих Правил, в целях софинансирования которых предоставляется субсидия, определяемого в соответствии с
пунктом 20 настоящих Правил;
Сминi - сумма минимального распределения для i-го субъекта Российской Федерации и г. Байконура, принимаемая в размере 100000 тыс. рублей;
Аобщ - объем бюджетных ассигнований федерального бюджета на текущий финансовый год, предусмотренных Министерству строительства и жилищно-коммунального хозяйства Российской Федерации, распределяемых на соответствующий год;
С
мин - минимальный объем бюджетных ассигнований федерального бюджета, предоставляемый бюджету i-го субъекта Российской Федерации и бюджету г. Байконура, который определяется по формуле, предусмотренной
пунктом 16 настоящих Правил;
К
с - удельный коэффициент, который определяется по формуле, предусмотренной
пунктом 17 настоящих Правил.
Совокупный размер субсидии, предоставляемой бюджету i-го субъекта Российской Федерации, подлежит сокращению на очередной финансовый год начиная с 2027 года в случае неисполнения в году, предшествовавшем году, в котором распределяется субсидия на очередной финансовый год, субъектом Российской Федерации обязательств, предусмотренных меморандумом, не менее чем на 1 процент за каждое неисполненное обязательство.
16. Минимальный объем бюджетных ассигнований федерального бюджета, предоставляемый бюджету i-го субъекта Российской Федерации и бюджету г. Байконура (С
мин), определяется по формуле:
17. Удельный коэффициент (К
с) определяется по формуле:
где К
i - коэффициент, учитывающий протяженность сетей водоснабжения, водоотведения и теплоснабжения в субъекте Российской Федерации и г. Байконуре, численность населения субъекта Российской Федерации и г. Байконура и предельный уровень софинансирования расходного обязательства i-го субъекта Российской Федерации и г. Байконура из федерального бюджета, который определяется по формуле, предусмотренной
пунктом 18 настоящих Правил.
18. Коэффициент, учитывающий протяженность сетей водоснабжения, водоотведения и теплоснабжения в субъекте Российской Федерации и г. Байконуре, численность населения субъекта Российской Федерации и г. Байконура и предельный уровень софинансирования расходного обязательства i-го субъекта Российской Федерации и г. Байконура из федерального бюджета (К
i), определяется по формуле:
где:
Чi - численность населения, проживающего на территории i-го субъекта Российской Федерации и территории г. Байконура, в соответствии с данными Федеральной службы государственной статистики на 1 января 2024 г., человек;
Пi - протяженность сетей водоснабжения, водоотведения и теплоснабжения на территории i-го субъекта Российской Федерации и территории г. Байконура в соответствии с данными Федеральной службы государственной статистики на 1 января 2024 г., тыс. км, а в отношении Донецкой Народной Республики, Луганской Народной Республики, Запорожской области и Херсонской области - в соответствии с данными Министерства строительства и жилищно-коммунального хозяйства Российской Федерации;
У
i - предельный уровень софинансирования расходного обязательства i-го субъекта Российской Федерации и г. Байконура из федерального бюджета, утверждаемый Правительством Российской Федерации в соответствии с
пунктом 13(1.1) Правил предоставления субсидий;
n - общее количество субъектов Российской Федерации и г. Байконур, для которых определяется размер субсидии.
19. Для служебного пользования.
20. Минимальный размер финансового участия субъекта Российской Федерации (за исключением Донецкой Народной Республики, Луганской Народной Республики, Запорожской области и Херсонской области, а также субъектов Российской Федерации, в отношении которых разрабатываются (утверждены) индивидуальные программы социально-экономического развития) в реализации мероприятий, указанных в
пункте 1 настоящих Правил, в целях софинансирования которых предоставляется субсидия (С
2кбсi), определяется по формуле:

21. Средства субсидий, не востребованные субъектами Российской Федерации и г. Байконуром в связи с отсутствием заявок, указанных в
пункте 9 настоящих Правил, невозможностью освоения в текущем финансовом году бюджетных средств, источником обеспечения которых являются субсидии, и по иным причинам, подлежат перераспределению между субъектами Российской Федерации и г. Байконуром на реализацию мероприятий, указанных в
пункте 1 настоящих Правил, на основании решений президиума (штаба) Правительственной комиссии по региональному развитию в Российской Федерации в порядке, предусмотренном бюджетным законодательством Российской Федерации.
22. Высший исполнительный орган субъекта Российской Федерации и глава администрации г. Байконура при направлении заявки, указанной в
пункте 9 настоящих Правил, в отношении мероприятий, указанных в
пункте 1 настоящих Правил, за исключением мероприятий при наличии соответствующих поручений Президента Российской Федерации и Председателя Правительства Российской Федерации, учитывают следующие требования к составу таких мероприятий:
а) доля финансирования реализации указанных мероприятий в отношении линейных объектов должна составлять не менее 80 процентов общего объема бюджетных ассигнований федерального бюджета, предусмотренных на очередной финансовый год бюджету субъекта Российской Федерации и бюджету г. Байконура;
б) доля финансирования реализации указанных мероприятий в отношении вновь начинаемых строительством объектов коммунальной инфраструктуры должна составлять не более 50 процентов общего объема бюджетных ассигнований федерального бюджета, предусмотренных на очередной финансовый год бюджету субъекта Российской Федерации и бюджету г. Байконура.
23. Перечисление субсидий осуществляется в установленном порядке на единые счета бюджетов, открытые финансовым органам субъектов Российской Федерации в территориальных органах Федерального казначейства.
Перечисление субсидий бюджету г. Байконура осуществляется в установленном порядке на счет, открытый финансовому органу администрации г. Байконура.
24. Уполномоченные высшим исполнительным органом субъекта Российской Федерации исполнительные органы субъекта Российской Федерации и администрация г. Байконура размещают в сроки, установленные соглашением, в государственной интегрированной информационной системе управления общественными финансами "Электронный бюджет" отчетность об осуществлении расходов, в целях софинансирования которых предоставляется субсидия, а также о достижении значений результата использования субсидии.
25. Оценка эффективности использования субсидии осуществляется Министерством строительства и жилищно-коммунального хозяйства Российской Федерации путем сравнения фактически достигнутых и плановых значений результата использования субсидии "На территориях субъектов Российской Федерации и г. Байконура завершено строительство, реконструкция (модернизация), капитальный ремонт объектов тепло-, водоснабжения и водоотведения, предусмотренных региональными комплексными планами, нарастающим итогом", предусмотренных соглашением.
26. Основания и порядок применения мер финансовой ответственности к субъекту Российской Федерации и г. Байконуру при невыполнении условий соглашения, в том числе порядок и условия возврата средств из бюджета субъекта Российской Федерации и г. Байконура в федеральный бюджет, установлены
пунктами 16 -
19 Правил предоставления субсидий. Основания и порядок освобождения субъекта Российской Федерации и г. Байконура от применения указанных мер финансовой ответственности установлены
пунктом 20 Правил предоставления субсидий.
27. В случае нарушения целей, установленных при предоставлении субсидии, применяются бюджетные меры принуждения, предусмотренные бюджетным законодательством Российской Федерации.
28. Контроль за соблюдением субъектами Российской Федерации и г. Байконуром условий предоставления субсидий осуществляется Министерством строительства и жилищно-коммунального хозяйства Российской Федерации и уполномоченными органами государственного финансового контроля.
к государственной программе
Российской Федерации "Обеспечение
доступным и комфортным жильем
и коммунальными услугами граждан
Российской Федерации"
ПРЕДОСТАВЛЕНИЯ И РАСПРЕДЕЛЕНИЯ СУБСИДИЙ ИЗ ФЕДЕРАЛЬНОГО
БЮДЖЕТА БЮДЖЕТАМ СУБЪЕКТОВ РОССИЙСКОЙ ФЕДЕРАЦИИ В ЦЕЛЯХ
СОФИНАНСИРОВАНИЯ РАСХОДНЫХ ОБЯЗАТЕЛЬСТВ СУБЪЕКТОВ РОССИЙСКОЙ
ФЕДЕРАЦИИ, ВОЗНИКАЮЩИХ ПРИ РЕАЛИЗАЦИИ РЕГИОНАЛЬНЫХ ПРОЕКТОВ,
ПРЕДУСМАТРИВАЮЩИХ РЕАЛИЗАЦИЮ МЕРОПРИЯТИЙ ПО РЕКОНСТРУКЦИИ
И СТРОИТЕЛЬСТВУ ОЧИСТНЫХ СООРУЖЕНИЙ ДЛЯ ОЧИСТКИ ЗАГРЯЗНЕННЫХ
СТОЧНЫХ ВОД, ПОСТУПАЮЩИХ В ОСНОВНЫЕ ВОДНЫЕ ОБЪЕКТЫ,
ДЛЯ ДОСТИЖЕНИЯ ЦЕЛЕЙ, ПОКАЗАТЕЛЕЙ И РЕЗУЛЬТАТОВ ФЕДЕРАЛЬНОГО
ПРОЕКТА "ВОДА РОССИИ", ВХОДЯЩЕГО В СОСТАВ НАЦИОНАЛЬНОГО
ПРОЕКТА "ЭКОЛОГИЧЕСКОЕ БЛАГОПОЛУЧИЕ"
| | Список изменяющих документов | |
1. Настоящие Правила устанавливают условия и порядок предоставления и распределения субсидий из федерального бюджета бюджетам субъектов Российской Федерации в целях софинансирования расходных обязательств субъектов Российской Федерации, возникающих при реализации региональных проектов, предусматривающих реализацию мероприятий по реконструкции и строительству очистных сооружений для очистки загрязненных сточных вод, поступающих в основные водные объекты, для достижения целей, показателей и результатов федерального проекта "Вода России", входящего в состав национального проекта "Экологическое благополучие" (далее соответственно - субсидии, федеральный проект).
Субсидии предоставляются в целях софинансирования расходных обязательств субъектов Российской Федерации по следующим направлениям:
реконструкция и (или) строительство очистных сооружений и линейных объектов на территориях:
Ивановской области (строительство централизованной системы водоотведения г. Кинешма);
Нижегородской области (реконструкция Нижегородской станции аэрации);
реконструкция и (или) строительство находящихся в собственности субъектов Российской Федерации очистных сооружений, расположенных в опорных населенных пунктах, включенных в единый перечень опорных населенных пунктов, необходимых для очистки загрязненных сточных вод, поступающих в основные водные объекты.
2. В настоящих Правилах под природоохранными проектами понимаются региональные проекты, предусматривающие реализацию мероприятий по реконструкции и строительству очистных сооружений для очистки загрязненных сточных вод, поступающих в основные водные объекты (далее - природоохранные проекты).
Под основными водными объектами в настоящих Правилах понимаются водные объекты, формирующие речные и морские бассейны Российской Федерации, информация о которых включена в государственный водный реестр в соответствии со
статьей 31 Водного кодекса Российской Федерации.
3. Субсидии предоставляются при соблюдении субъектом Российской Федерации условий, предусмотренных
пунктом 8 Правил формирования, предоставления и распределения субсидий из федерального бюджета бюджетам субъектов Российской Федерации, утвержденных постановлением Правительства Российской Федерации от 30 сентября 2014 г. N 999 "О формировании, предоставлении и распределении субсидий из федерального бюджета бюджетам субъектов Российской Федерации" (далее - Правила предоставления субсидий).
4. Субсидии предоставляются субъектам Российской Федерации на реализацию природоохранных проектов по направлениям, предусмотренным
пунктом 1 настоящих Правил, при этом по направлению, предусмотренному
абзацем шестым пункта 1 настоящих Правил, субсидии предоставляются субъектам Российской Федерации, природоохранные проекты которых прошли отбор.
5. Отбор природоохранных проектов осуществляется на основании заявок, в которых должна содержаться информация, позволяющая провести оценку соответствия природоохранного проекта
критериям отбора природоохранных проектов (далее - критерии отбора) согласно приложению N 1.
6. Субсидии предоставляются субъектам Российской Федерации на основании
заявок по форме согласно приложению N 2 (далее - заявка), к которой прилагаются документы по
перечню согласно приложению N 3, подтверждающие сведения, указанные в
заявке.
7.
Заявки представляются в Министерство природных ресурсов и экологии Российской Федерации с сопроводительным письмом, подписанным высшим должностным лицом субъекта Российской Федерации (руководителем высшего исполнительного органа субъекта Российской Федерации), при этом они должны быть прошиты, пронумерованы и иметь опись прилагаемых документов, или в виде электронного документа с реквизитами, подписанного усиленной квалифицированной электронной подписью в соответствии с требованиями Федерального
закона "Об электронной подписи".
8. Отбор природоохранных проектов и определение приоритетности реализации природоохранных проектов осуществляются межведомственной комиссией, создаваемой Министерством природных ресурсов и экологии Российской Федерации (далее - комиссия). Положение о комиссии и ее состав утверждаются Министерством природных ресурсов и экологии Российской Федерации.
Комиссия определяет приоритетность реализации природоохранных проектов,
порядок ранжирования которых предусмотрен приложением N 4.
Комиссия имеет право запрашивать у федеральных органов исполнительной власти, исполнительных органов субъектов Российской Федерации и организаций информацию, подтверждающую сведения, указанные в
заявке.
Результаты отбора и решения комиссии оформляются протоколом заседания комиссии.
9. Субсидия предоставляется на основании соглашения, подготавливаемого (формируемого) и заключаемого с использованием государственной интегрированной информационной системы управления общественными финансами "Электронный бюджет" между высшим исполнительным органом субъекта Российской Федерации и Министерством природных ресурсов и экологии Российской Федерации в соответствии с
типовой формой соглашения, утвержденной Министерством финансов Российской Федерации (далее - соглашение). В целях повышения эффективности использования субсидии в соглашении предусматриваются в том числе обязательства субъекта Российской Федерации по обеспечению:
а) видеоконтроля путем оснащения территорий, на которых реализуются природоохранные проекты, не менее чем 2 онлайн-камерами видеонаблюдения с 24-часовой трансляцией в информационно-телекоммуникационной сети "Интернет" с техническими требованиями, позволяющими осуществлять наблюдение за реализацией природоохранного проекта в текущем режиме;
б) размещения на территории, на которой реализуется природоохранный проект, информационного стенда (баннера) или плаката, позволяющего широкому кругу лиц однозначно соотнести проводимые работы с мероприятиями федерального проекта;
в) информирования Федеральной службы по надзору в сфере природопользования о завершении работ по реконструкции (модернизации) и строительству очистных сооружений в целях подтверждения соответствия качества очистки загрязненных сточных вод, сбрасываемых очистными сооружениями, нормативам допустимых сбросов;
г) ежеквартального информирования Министерства природных ресурсов и экологии Российской Федерации о ходе работ по реализации региональных проектов по реконструкции и (или) строительству очистных сооружений, в том числе малых очистных сооружений (за исключением природоохранных проектов);
д) размещения в информационной системе управления проектами государственного заказчика в сфере строительства информации о ходе работ по реализации природоохранного проекта.
10. Объем бюджетных ассигнований бюджета субъекта Российской Федерации на финансовое обеспечение расходного обязательства субъекта Российской Федерации, софинансируемого из федерального бюджета, утверждается законом соответствующего субъекта Российской Федерации о бюджете субъекта Российской Федерации (определяется сводной бюджетной росписью бюджета субъекта Российской Федерации) исходя из необходимости достижения установленных соглашением значений результата использования субсидии.
11. Субсидии предоставляются в пределах лимитов бюджетных обязательств, доведенных до Министерства природных ресурсов и экологии Российской Федерации как получателя средств федерального бюджета на предоставление субсидии в соответствии с
пунктом 1 настоящих Правил.
12. Распределение субсидий осуществляется между субъектами Российской Федерации, представившими
заявки, с учетом приоритетности реализации природоохранных проектов,
порядок ранжирования которых предусмотрен приложением N 4 к настоящим Правилам.
13. Возможность финансирования природоохранных проектов в соответствующем финансовом году определяется последовательно. В первую очередь рассматриваются природоохранные проекты по направлению, предусмотренному
абзацем третьим пункта 1 настоящих Правил, затем природоохранные проекты по направлению, предусмотренному
абзацем шестым пункта 1 настоящих Правил, имеющие максимальную оценку по результатам ранжирования природоохранных проектов, при выполнении следующего условия, определяемого в соответствии с формулой:
где:
ФБi - размер средств федерального бюджета, планируемых к привлечению для реализации отобранного i-го природоохранного проекта, тыс. рублей;
V - размер бюджетных ассигнований, предусмотренных в федеральном бюджете на предоставление субсидий в соответствующем финансовом году, тыс. рублей;
ФБ
sum - размер средств федерального бюджета, планируемых к привлечению для реализации природоохранных проектов по направлению, предусмотренному
абзацем третьим пункта 1 настоящих Правил, отобранных природоохранных проектов, имеющих больший приоритет, возможность финансирования которых подтверждена в соответствии с настоящим пунктом, тыс. рублей.
14. Расчет размера средств федерального бюджета, планируемых к привлечению для реализации природоохранного проекта (ФБ
i), осуществляется по формуле:
ФБi = ССРпсд - ФКБС - ФВБ,
где:
ССРпсд - сметная стоимость природоохранного проекта с учетом индексов дефляторов за период реализации проекта, тыс. рублей;
ФКБС - размер средств бюджета субъекта Российской Федерации, планируемых к привлечению для реализации природоохранного проекта, тыс. рублей;
ФВБ - размер средств внебюджетных источников, планируемых к привлечению для реализации природоохранного проекта, тыс. рублей.
15. Размер средств бюджета субъекта Российской Федерации, планируемых к привлечению для реализации природоохранного проекта (Ф
КБС), должен соответствовать следующему условию, определяемому в соответствии с формулой:
где:
Y
i - уровень софинансирования реализации природоохранных проектов из федерального бюджета в i-м субъекте Российской Федерации, определенный с учетом предельного уровня софинансирования расходного обязательства субъектов Российской Федерации в i-м субъекте Российской Федерации, установленный Правительством Российской Федерации на соответствующий финансовый год в соответствии с
пунктом 13(1.1) Правил предоставления субсидий;
b
i - поправочный
коэффициент финансирования расходного обязательства i-го субъекта Российской Федерации, установленный в соответствии с приложением N 5.
Параметр Yi/bi подлежит округлению до второго знака после запятой в соответствии с действующими правилами округления.
16. Размер субсидии, предоставляемой бюджету субъекта Российской Федерации, определяется как сумма средств федерального бюджета, размер которых определен в соответствии с
пунктом 14 настоящих Правил (с учетом предельного уровня софинансирования расходного обязательства субъекта Российской Федерации, установленного Правительством Российской Федерации на соответствующий финансовый год в соответствии с
пунктом 13(1.1) Правил предоставления субсидий), планируемых к привлечению для реализации природоохранных проектов в субъекте Российской Федерации, возможность финансирования которых подтверждена в соответствующем финансовом году.
17. Соглашением может быть установлен различный уровень софинансирования расходного обязательства субъекта Российской Федерации из федерального бюджета по отдельным мероприятиям по реконструкции и (или) строительству очистных сооружений в случае, если субсидия предоставляется в целях софинансирования расходного обязательства субъекта Российской Федерации, предусматривающего реализацию более одного мероприятия по реконструкции и (или) строительству очистных сооружений, но не превышающего предельный уровень софинансирования расходного обязательства субъекта Российской Федерации, установленный Правительством Российской Федерации на соответствующий финансовый год в соответствии с
пунктом 13(1.1) Правил предоставления субсидий.
18. Размер субсидии, предоставляемой бюджету субъекта Российской Федерации на реализацию природоохранного проекта, не подлежит увеличению в случае увеличения сметной стоимости природоохранного проекта.
19. Оценка эффективности использования субсидии осуществляется Министерством природных ресурсов и экологии Российской Федерации путем сравнения установленного соглашением планового значения результата использования субсидии и фактически достигнутого значения результата использования субсидии. Результатом использования субсидии является количество реконструированных и построенных очистных сооружений (линейных объектов) для очистки (транспортировки) загрязненных сточных вод, поступающих в основные водные объекты, при условии наличия подтверждения соответствия качества очистки сточных вод, сбрасываемых очистными сооружениями, нормативам допустимых сбросов Федеральной службой по надзору в сфере природопользования.
20. В отношении консолидированных субсидий результаты использования субсидий предусматриваются по каждому из мероприятий по реконструкции (модернизации) и строительству очистных сооружений и (или) объектов капитального строительства (объектов недвижимого имущества).
21. Перечисление субсидии осуществляется в установленном порядке на единые счета бюджетов, открытые финансовым органам субъектов Российской Федерации в территориальных органах Федерального казначейства.
22. Ответственность за достоверность представляемых в Министерство природных ресурсов и экологии Российской Федерации сведений и документов в рамках настоящих Правил возлагается на высший исполнительный орган субъекта Российской Федерации.
23. Основания и порядок применения мер финансовой ответственности к субъекту Российской Федерации при невыполнении им условий соглашения, в том числе обязательств субъекта Российской Федерации по достижению результата использования субсидии и по обеспечению соблюдения сроков достижения контрольных точек строительства (в отношении субсидий, предоставляемых на софинансирование строительства (реконструкции, модернизации) объектов капитального строительства), предусмотрены
пунктами 16 -
20 Правил предоставления субсидий.
24. В случае несоблюдения целей, установленных при предоставлении субсидий, применяются бюджетные меры принуждения, предусмотренные бюджетным законодательством Российской Федерации.
25. Контроль за соблюдением субъектом Российской Федерации условий предоставления субсидии осуществляется Министерством природных ресурсов и экологии Российской Федерации и уполномоченными органами государственного финансового контроля.
26. Уполномоченные высшим исполнительным органом субъекта Российской Федерации исполнительные органы субъекта Российской Федерации размещают в сроки, установленные соглашением, в государственной интегрированной информационной системе управления общественными финансами "Электронный бюджет" отчетность об осуществлении расходов бюджета субъекта Российской Федерации, в целях софинансирования которых предоставляется субсидия, а также информацию о фактическом достижении контрольных точек строительства (в отношении субсидий, предоставляемых на софинансирование строительства (реконструкции, модернизации) объектов капитального строительства) в срок не позднее плановой и (или) фактической дат достижения каждой контрольной точки.
к Правилам предоставления
и распределения субсидий из федерального
бюджета бюджетам субъектов Российской
Федерации в целях софинансирования
расходных обязательств субъектов
Российской Федерации, возникающих
при реализации региональных проектов,
предусматривающих реализацию мероприятий
по реконструкции и строительству очистных
сооружений для очистки загрязненных
сточных вод, поступающих в основные
водные объекты, для достижения целей,
показателей и результатов федерального
проекта "Вода России", входящего
в состав национального проекта
"Экологическое благополучие"
ОТБОРА РЕГИОНАЛЬНЫХ ПРОЕКТОВ, ПРЕДУСМАТРИВАЮЩИХ РЕАЛИЗАЦИЮ
МЕРОПРИЯТИЙ ПО РЕКОНСТРУКЦИИ И СТРОИТЕЛЬСТВУ ОЧИСТНЫХ
СООРУЖЕНИЙ ДЛЯ ОЧИСТКИ ЗАГРЯЗНЕННЫХ СТОЧНЫХ ВОД,
ПОСТУПАЮЩИХ В ОСНОВНЫЕ ВОДНЫЕ ОБЪЕКТЫ
1. Очистное сооружение, необходимое для очистки загрязненных сточных вод, поступающих в основные водные объекты, введено в эксплуатацию, в том числе после проведения работ по реконструкции (модернизации), капитальному ремонту и строительству, не позднее 31 декабря 2014 г. или является вновь строящимся.
2. Очистное сооружение, необходимое для очистки загрязненных сточных вод, поступающих в основные водные объекты, относится к объектам, оказывающим значительное негативное воздействие на окружающую среду, к областям применения наилучших доступных технологий, к объектам I категории (в соответствии с
постановлением Правительства Российской Федерации от 31 декабря 2020 г. N 2398 "Об утверждении критериев отнесения объектов, оказывающих негативное воздействие на окружающую среду, к объектам I, II, III и IV категорий").
3. На очистное сооружение, необходимое для очистки загрязненных сточных вод, поступающих в основные водные объекты, получено комплексное экологическое разрешение, или подана заявка на получение комплексного экологического разрешения на это очистное сооружение в соответствии с
частью 6 статьи 11 Федерального закона от 21 июля 2014 г. N 219-ФЗ "О внесении изменений в Федеральный закон "Об охране окружающей среды" и отдельные законодательные акты Российской Федерации".
4. Очистное сооружение, необходимое для очистки загрязненных сточных вод, поступающих в основные водные объекты, относится к централизованным системам водоотведения поселений, муниципальных округов или городских округов в соответствии с
пунктом 4 Правил отнесения централизованных систем водоотведения (канализации) к централизованным системам водоотведения поселений, муниципальных округов, городских округов, утвержденных постановлением Правительства Российской Федерации от 31 мая 2019 г. N 691 "Об утверждении Правил отнесения централизованных систем водоотведения (канализации) к централизованным системам водоотведения поселений, муниципальных округов, городских округов и о внесении изменений в постановление Правительства Российской Федерации от 5 сентября 2013 г. N 782".
5. Наличие мероприятий по реконструкции и (или) строительству очистных сооружений, в том числе малых очистных сооружений, на территории субъекта Российской Федерации (за исключением природоохранного проекта), реализуемых за счет средств консолидированного бюджета субъекта Российской Федерации, муниципальных бюджетов и внебюджетных средств.
6. Завершение работ по реконструкции и (или) строительству очистных сооружений (линейных объектов) для очистки (транспортировки) загрязненных сточных вод, поступающих в основные водные объекты, с подтверждением Федеральной службой по надзору в сфере природопользования соответствия качества очистки сточных вод, сбрасываемых очистными сооружениями, нормативам допустимых сбросов не позднее 1 декабря 2030 г.
к Правилам предоставления
и распределения субсидий из федерального
бюджета бюджетам субъектов Российской
Федерации в целях софинансирования
расходных обязательств субъектов
Российской Федерации, возникающих
при реализации региональных проектов,
предусматривающих реализацию мероприятий
по реконструкции и строительству очистных
сооружений для очистки загрязненных
сточных вод, поступающих в основные
водные объекты, для достижения целей,
показателей и результатов федерального
проекта "Вода России", входящего
в состав национального проекта
"Экологическое благополучие"
(форма)
________________________________________________________ (наименование субъекта Российской Федерации) на предоставление субсидии из федерального бюджета бюджетам субъектов Российской Федерации в целях софинансирования расходных обязательств субъектов Российской Федерации, возникающих при реализации региональных проектов, предусматривающих реализацию мероприятий по реконструкции и строительству очистных сооружений для очистки загрязненных сточных вод, поступающих в основные водные объекты, для достижения целей, показателей и результатов федерального проекта "Вода России", входящего в состав национального проекта "Экологическое благополучие" |
в ____ году и плановом периоде ____ и ____ годов из федерального бюджета бюджету _____________________________________ (наименование субъекта Российской Федерации) |
в размере: |
| тыс. рублей в | | году (очередной финансовый год) |
| тыс. рублей в | | году (плановый период) |
| тыс. рублей в | | году (плановый период) |
в целях софинансирования расходных обязательств субъектов Российской Федерации, возникающих при реализации региональных проектов, предусматривающих реализацию мероприятий по реконструкции и строительству очистных сооружений для очистки загрязненных сточных вод, поступающих в основные водные объекты, для достижения целей, показателей и результатов федерального проекта "Вода России", входящего в состав национального проекта "Экологическое благополучие" (далее - природоохранные проекты). |
В случае отбора | |
| (наименование субъекта Российской Федерации) |
в число субъектов Российской Федерации для предоставления субсидии |
|
(наименование субъекта Российской Федерации) |
берет на себя обязательства по обеспечению достижения следующих результатов использования субсидии и показателей федерального проекта "Вода России", входящего в состав национального проекта "Экологическое благополучие": |
Наименование природоохранного проекта | Объем загрязненных сточных вод, сброшенных в водные объекты, млн. куб. м в год | Год достижения результатов использования субсидии |
| | |
| | |
| | |
Средства консолидированного бюджета | |
| (наименование субъекта Российской Федерации) |
на реализацию природоохранного проекта: |
| 2026 год | 2027 год | 2028 год |
Средства консолидированного бюджета, тыс. рублей | | | |
Средства бюджета субъекта Российской Федерации (без учета субсидии из федерального бюджета), тыс. рублей <*> | | | |
Средства бюджета муниципального образования субъекта Российской Федерации (без учета субсидии из федерального бюджета и бюджета субъекта Российской Федерации), тыс. рублей | | | |
Внебюджетные средства, тыс. рублей | | | |
Итого | | | |
Сведения о выполнении | |
| (наименование субъекта Российской Федерации) |
условий предоставления субсидии, установленных пунктом 3 Правил предоставления и распределения субсидий из федерального бюджета бюджетам субъектов Российской Федерации в целях софинансирования расходных обязательств субъектов Российской Федерации, возникающих при реализации региональных проектов, предусматривающих реализацию мероприятий по реконструкции и строительству очистных сооружений для очистки загрязненных сточных вод, поступающих в основные водные объекты, для достижения целей, показателей и результатов федерального проекта "Вода России", входящего в состав национального проекта "Экологическое благополучие", предусмотренных приложением N 28 к государственной программе Российской Федерации "Обеспечение доступным и комфортным жильем и коммунальными услугами граждан Российской Федерации", утвержденной постановлением Правительства Российской Федерации от 30 декабря 2017 г. N 1710 "Об утверждении государственной программы Российской Федерации "Обеспечение доступным и комфортным жильем и коммунальными услугами граждан Российской Федерации": |
1. | Реквизиты правового акта субъекта Российской Федерации, утверждающего перечень мероприятий, которые направлены на реконструкцию и строительство объектов канализационного хозяйства, обеспечивающих снижение объема загрязненных сточных вод, поступающих в основные водные объекты, в целях софинансирования которых предоставляется субсидия | |
2. | Реквизиты гарантийного письма, подписанного высшим должностным лицом субъекта Российской Федерации, о наличии в бюджете субъекта Российской Федерации бюджетных ассигнований на исполнение расходного обязательства субъекта Российской Федерации, софинансирование которого осуществляется из федерального бюджета в объеме, необходимом для его исполнения, включающем размер планируемой к предоставлению из федерального бюджета субсидии, если иное не установлено актами Президента Российской Федерации или Правительства Российской Федерации, на ____ год и плановый период ____ и ____ годов, или реквизиты закона о бюджете субъекта Российской Федерации на очередной финансовый год и на плановый период, подтверждающего наличие бюджетных ассигнований на финансовое обеспечение расходного обязательства | |
3. | Реквизиты нормативного правового акта субъекта Российской Федерации об утверждении порядка определения объемов бюджетных ассигнований на исполнение расходного обязательства субъекта Российской Федерации, софинансирование которого осуществляется из федерального бюджета, в объеме, необходимом для его исполнения | |
4. | Реквизиты нормативного правового акта субъекта Российской Федерации об утверждении региональной программы по реконструкции и строительству очистных сооружений, в том числе малых очистных сооружений (за исключением природоохранных проектов), реализуемой за счет средств консолидированного бюджета субъекта Российской Федерации, муниципальных бюджетов и внебюджетных средств | |
Сведения о достоверности определения сметной стоимости реализации природоохранного проекта |
| : |
(наименование природоохранного проекта) |
1. | Реквизиты приказа Федеральной службы по надзору в сфере природопользования об утверждении положительного заключения государственной экологической экспертизы в случаях, предусмотренных Федеральным законом "Об экологической экспертизе", на проект работ по реализации природоохранного проекта | |
2. | Реквизиты заключения государственной экспертизы проектной документации объектов капитального строительства | |
Приложения: | 1. | Расчет и обоснование суммы субсидии из федерального бюджета бюджету субъекта Российской Федерации. |
| 2. | Информационная карта природоохранного проекта согласно приложению. |
Руководитель высшего исполнительного органа субъекта Российской Федерации |
МП | |
| (подпись) | | (ф.и.о.) |
--------------------------------
<*> Размер средств бюджета субъекта Российской Федерации должен соответствовать условию, предусмотренному
пунктом 15 Правил предоставления и распределения субсидий из федерального бюджета бюджетам субъектов Российской Федерации в целях софинансирования расходных обязательств субъектов Российской Федерации, возникающих при реализации региональных проектов, предусматривающих реализацию мероприятий по реконструкции и строительству очистных сооружений для очистки загрязненных сточных вод, поступающих в основные водные объекты, для достижения целей, показателей и результатов федерального проекта "Вода России", входящего в состав национального проекта "Экологическое благополучие", предусмотренных приложением N 28 к государственной программе Российской Федерации "Обеспечение доступным и комфортным жильем и коммунальными услугами граждан Российской Федерации", утвержденной постановлением Правительства Российской Федерации от 30 декабря 2017 г. N 1710 "Об утверждении государственной программы Российской Федерации "Обеспечение доступным и комфортным жильем и коммунальными услугами граждан Российской Федерации".
к заявке на предоставление субсидии
из федерального бюджета бюджетам
субъектов Российской Федерации в целях
софинансирования расходных обязательств
субъектов Российской Федерации,
возникающих при реализации региональных
проектов, предусматривающих реализацию
мероприятий по реконструкции
и строительству очистных сооружений
для очистки загрязненных сточных вод,
поступающих в основные водные объекты,
для достижения целей, показателей
и результатов федерального проекта
"Вода России", входящего в состав
национального проекта
"Экологическое благополучие"
ИНФОРМАЦИОННАЯ КАРТА
природоохранного проекта
Наименование и характеристики природоохранного проекта | Единица измерения (формат) | |
|
1. | Полное наименование природоохранного проекта | | |
2. | Наименование муниципального образования, на территории которого планируется реализация природоохранного проекта | | |
3. | Реквизиты приказа Федеральной службы по надзору в сфере природопользования об утверждении положительного заключения государственной экологической экспертизы (в случаях, предусмотренных Федеральным законом "Об экологической экспертизе") на проект работ по реализации природоохранного проекта | дд.мм.гггг. N | |
4. | Реестровый номер из государственного реестра объектов, оказывающих негативное воздействие на окружающую среду | | |
5. | Реквизиты заключения государственной экспертизы природоохранного проекта | дд.мм.гггг. N | |
6. | Виды планируемых работ | | |
7. | Планируемая (фактическая) дата начала реализации природоохранного проекта | дд.мм.гггг. | |
8. | Продолжительность реализации природоохранного проекта в соответствии с проектной документацией | месяцев | |
9. | Продолжительность реализации природоохранного проекта в рамках федерального проекта "Вода России", входящего в состав национального проекта "Экологическое благополучие" | месяцев | |
10. | Планируемая дата завершения реализации природоохранного проекта | дд.мм.гггг. | |
|
11. | Стоимость мероприятий по реализации природоохранного проекта в ценах соответствующих лет с учетом налога на добавленную стоимость (без учета стоимости разработки проектной документации по природоохранному проекту), в том числе: | тыс. рублей | |
11.1 | 2025 год | тыс. рублей | |
11.2 | 2026 год | тыс. рублей | |
11.3 | 2027 год | тыс. рублей | |
11.4 | 2028 год | тыс. рублей | |
11.5 | 2029 год | тыс. рублей | |
11.6 | 2030 год | тыс. рублей | |
12. | Размер планируемой к предоставлению из федерального бюджета субсидии на реализацию природоохранного проекта, в том числе: | тыс. рублей | |
12.1 | 2025 год | тыс. рублей | |
12.2 | 2026 год | тыс. рублей | |
12.3 | 2027 год | тыс. рублей | |
12.4 | 2028 год | тыс. рублей | |
12.5 | 2029 год | тыс. рублей | |
12.6 | 2030 год | тыс. рублей | |
13. | Размер планируемых средств из бюджета субъекта Российской Федерации на реализацию природоохранного проекта, в том числе: | тыс. рублей | |
13.1 | 2025 год | тыс. рублей | |
13.2 | 2026 год | тыс. рублей | |
13.3 | 2027 год | тыс. рублей | |
13.4 | 2028 год | тыс. рублей | |
13.5 | 2029 год | тыс. рублей | |
13.6 | 2030 год | тыс. рублей | |
14. | Размер планируемых средств из местного бюджета на реализацию природоохранного проекта, в том числе: | тыс. рублей | |
14.1 | 2025 год | тыс. рублей | |
14.2 | 2026 год | тыс. рублей | |
14.3 | 2027 год | тыс. рублей | |
14.4 | 2028 год | тыс. рублей | |
14.5 | 2029 год | тыс. рублей | |
14.6 | 2030 год | тыс. рублей | |
15. | Размер внебюджетных средств, планируемых на реализацию природоохранного проекта, в том числе: | тыс. рублей | |
15.1 | 2025 год | тыс. рублей | |
15.2 | 2026 год | тыс. рублей | |
15.3 | 2027 год | тыс. рублей | |
15.4 | 2028 год | тыс. рублей | |
15.5 | 2029 год | тыс. рублей | |
15.6 | 2030 год | тыс. рублей | |
Сведения о характеристиках природоохранного проекта |
16. | Количество потребителей, обслуживаемых очистными сооружениями до реализации природоохранного проекта | тыс. человек | |
17. | Количество потребителей, обслуживаемых очистными сооружениями после реализации природоохранного проекта | тыс. человек | |
18. | Структура стока, принимаемого очистными сооружениями до реализации природоохранного проекта, по категориям потребителей (население и потребители, приравненные к населению, промышленные потребители) | процентов | |
19. | Структура стока, принимаемого очистными сооружениями после реализации природоохранного проекта, по категориям потребителей (население и потребители, приравненные к населению, промышленные потребители) | процентов | |
20. | Фактический объем загрязненного стока от населения и потребителей, приравненных к населению, в 2023 году | тыс. куб. м | |
21. | Очистное сооружение, необходимое для очистки загрязненных сточных вод, поступающих в основные водные объекты, введено в эксплуатацию, в том числе после проведения работ по реконструкции (модернизации) и строительству, не позднее 31 декабря 2014 г. | да (нет) | |
22. | Очистное сооружение, необходимое для очистки загрязненных сточных вод, поступающих в основные водные объекты, относится к объектам, оказывающим значительное негативное воздействие на окружающую среду, к областям применения наилучших доступных технологий, к объектам I категории или линейным объектам, необходимым для транспортировки загрязненных сточных вод | да (нет) | |
23. | На очистное сооружение, необходимое для очистки загрязненных сточных вод, поступающих в основные водные объекты, получено комплексное экологическое разрешение, или подана заявка на получение комплексного экологического разрешения на это очистное сооружение | реквизиты комплексного экологического разрешения или заявки на получение комплексного экологического разрешения | |
24. | Мощность очистных сооружений до начала работ по реконструкции | тыс. куб. м в сутки | |
Концентрация загрязняющих веществ в загрязненном стоке по веществам |
25. | Нефтепродукты (нефть) | мг/л | |
26. | Фенол, гидроксибензол | мг/л | |
27. | Сульфат-анион (сульфаты) | мг/л | |
28. | Хлорид-анион (хлориды) | мг/л | |
29. | Алюминий | мг/л | |
30. | Железо | мг/л | |
31. | Марганец | мг/л | |
32. | Медь | мг/л | |
33. | Цинк | мг/л | |
34. | Хром трехвалентный | мг/л | |
35. | Хром шестивалентный | мг/л | |
36. | Хлор свободный, растворенный и хлорорганические соединения 2 | мг/л | |
37. | Никель | мг/л | |
38. | Кадмий | мг/л | |
39. | Свинец | мг/л | |
40. | Сульфиды | мг/л | |
41. | Фторид-анион | мг/л | |
42. | Стронций | мг/л | |
43. | Ртуть и ее соединения | мг/л | |
44. | Магний | мг/л | |
45. | Натрий | мг/л | |
46. | Кальций | мг/л | |
47. | АСПАВ (анионные синтетические поверхностно-активные вещества) | мг/л | |
48. | НСПАВ (неионогенные синтетические поверхностно-активные вещества) | мг/л | |
49. | Формальдегид (метаналь, муравьиный альдегид) | мг/л | |
50. | Хлороформ (трихлорметан) | мг/л | |
51. | Олово и его соединения | мг/л | |
52. | Молибден | мг/л | |
53. | Кобальт | мг/л | |
54. | Цианид-анион | мг/л | |
55. | Мышьяк и его соединения | мг/л | |
56. | Бор | мг/л | |
57. | Роданид-ион | мг/л | |
Руководитель высшего исполнительного органа субъекта Российской Федерации |
МП | |
| (подпись) | | (ф.и.о.) |
Примечание. В
правом столбце информационной карты указываются запрашиваемые данные и сведения о наличии (отсутствии) запрашиваемой информации. По каждому отдельному природоохранному проекту заполняется отдельная информационная карта.
к Правилам предоставления
и распределения субсидий из федерального
бюджета бюджетам субъектов Российской
Федерации в целях софинансирования
расходных обязательств субъектов
Российской Федерации, возникающих
при реализации региональных проектов,
предусматривающих реализацию мероприятий
по реконструкции и строительству очистных
сооружений для очистки загрязненных
сточных вод, поступающих в основные
водные объекты, для достижения целей,
показателей и результатов федерального
проекта "Вода России", входящего
в состав национального проекта
"Экологическое благополучие"
ДОКУМЕНТОВ, ПРЕДСТАВЛЯЕМЫХ ДЛЯ ПРЕДОСТАВЛЕНИЯ
И РАСПРЕДЕЛЕНИЯ СУБСИДИЙ ИЗ ФЕДЕРАЛЬНОГО БЮДЖЕТА БЮДЖЕТАМ
СУБЪЕКТОВ РОССИЙСКОЙ ФЕДЕРАЦИИ В ЦЕЛЯХ СОФИНАНСИРОВАНИЯ
РАСХОДНЫХ ОБЯЗАТЕЛЬСТВ СУБЪЕКТОВ РОССИЙСКОЙ ФЕДЕРАЦИИ,
ВОЗНИКАЮЩИХ ПРИ РЕАЛИЗАЦИИ РЕГИОНАЛЬНЫХ ПРОЕКТОВ,
ПРЕДУСМАТРИВАЮЩИХ РЕАЛИЗАЦИЮ МЕРОПРИЯТИЙ ПО РЕКОНСТРУКЦИИ
И СТРОИТЕЛЬСТВУ ОЧИСТНЫХ СООРУЖЕНИЙ ДЛЯ ОЧИСТКИ
ЗАГРЯЗНЕННЫХ СТОЧНЫХ ВОД, ПОСТУПАЮЩИХ В ОСНОВНЫЕ
ВОДНЫЕ ОБЪЕКТЫ, ДЛЯ ДОСТИЖЕНИЯ ЦЕЛЕЙ, ПОКАЗАТЕЛЕЙ
И РЕЗУЛЬТАТОВ ФЕДЕРАЛЬНОГО ПРОЕКТА "ВОДА РОССИИ",
ВХОДЯЩЕГО В СОСТАВ НАЦИОНАЛЬНОГО ПРОЕКТА
"ЭКОЛОГИЧЕСКОЕ БЛАГОПОЛУЧИЕ"
1. Гарантийное письмо, подписанное высшим должностным лицом субъекта Российской Федерации, о наличии в бюджете субъекта Российской Федерации бюджетных ассигнований на исполнение расходного обязательства субъекта Российской Федерации, софинансирование которого осуществляется из федерального бюджета, в объеме, необходимом для его исполнения, включающем размер планируемой к предоставлению из федерального бюджета субсидии, если иное не установлено актами Президента Российской Федерации или Правительства Российской Федерации на очередной финансовый год и на плановый период, или выписка из закона о бюджете субъекта Российской Федерации на очередной финансовый год и на плановый период, подтверждающая наличие бюджетных ассигнований на финансовое обеспечение расходного обязательства субъекта Российской Федерации на выполнение природоохранного проекта.
2. Выписка из правового акта субъекта Российской Федерации, утверждающего перечень мероприятий природоохранного проекта, а также утвержденная региональная программа по реконструкции и (или) строительству очистных сооружений, в том числе малых очистных сооружений (за исключением природоохранного проекта), реализуемая за счет средств консолидированного бюджета субъекта Российской Федерации, муниципальных бюджетов и внебюджетных средств.
3. Заверенные исполнительным органом субъекта Российской Федерации, уполномоченным высшим исполнительным органом субъекта Российской Федерации, копии следующих документов:
а) приказ Федеральной службы по надзору в сфере природопользования об утверждении положительного заключения государственной экологической экспертизы на проект работ по реализации природоохранного проекта в случаях, предусмотренных Федеральным
законом "Об экологической экспертизе";
б) положительное заключение государственной экспертизы проектной документации, в том числе о достоверности определения сметной стоимости строительства (реконструкции, в том числе с элементами реставрации, технического перевооружения) объектов капитального строительства в случаях, установленных
частью 2 статьи 8.3 Градостроительного кодекса Российской Федерации, и положительное заключение государственной экспертизы результатов инженерных изысканий, выполненных для подготовки такой проектной документации (в случае если проведение такой экспертизы в соответствии с законодательством Российской Федерации является обязательным);
в) документы об утверждении проектной документации в соответствии с законодательством Российской Федерации (в случае если в соответствии с законодательством Российской Федерации подготовка проектной документации является обязательной);
г) сведения, необходимые для проведения проверки инвестиционного проекта на предмет эффективности использования средств федерального бюджета, направляемых на капитальные вложения, предусмотренные
Правилами проведения проверки инвестиционных проектов на предмет эффективности использования средств федерального бюджета, направляемых на капитальные вложения, утвержденными постановлением Правительства Российской Федерации от 15 марта 2023 г. N 399 "О случаях и порядке проведения проверки инвестиционных проектов на предмет эффективности использования средств федерального бюджета, направляемых на капитальные вложения, о внесении изменений в некоторые акты Правительства Российской Федерации, приостановлении действия постановления Правительства Российской Федерации от 12 августа 2008 г. N 590 и отдельных положений некоторых актов Правительства Российской Федерации, а также признании утратившими силу некоторых актов и отдельных положений некоторых актов Правительства Российской Федерации", - в случаях, определенных указанным
постановлением;
д) паспорт инвестиционного проекта по форме, установленной Министерством строительства и жилищно-коммунального хозяйства Российской Федерации;
е) копии правоустанавливающих документов на земельный участок;
ж) копия положительного сводного заключения о проведении публичного технологического аудита крупного инвестиционного проекта с государственным участием (если применимо);
з) копия комплексного экологического разрешения или копия заявки на комплексное экологическое разрешение, поданной в уполномоченный Правительством Российской Федерации федеральный орган исполнительной власти, с отметкой о получении таким федеральным органом исполнительной власти заявки на комплексное экологическое разрешение.
4. Рекомендации научно-технического совета Министерства природных ресурсов и экологии Российской Федерации федерального проекта "Вода России" для предоставления субсидии, предусмотренной
пунктом 1 настоящего документа.
5. Копия выписки из государственного реестра объектов, оказывающих негативное воздействие на окружающую среду, с нанесенным двухмерным штриховым кодом (QR-код), содержащим в кодированном виде адрес страницы в информационно-телекоммуникационной сети "Интернет" с размещенными на ней сведениями о соответствующем объекте негативного воздействия на окружающую среду.
к Правилам предоставления
и распределения субсидий из федерального
бюджета бюджетам субъектов Российской
Федерации в целях софинансирования
расходных обязательств субъектов
Российской Федерации, возникающих
при реализации региональных проектов,
предусматривающих реализацию мероприятий
по реконструкции и строительству очистных
сооружений для очистки загрязненных
сточных вод, поступающих в основные
водные объекты, для достижения целей,
показателей и результатов федерального
проекта "Вода России", входящего
в состав национального проекта
"Экологическое благополучие"
РАНЖИРОВАНИЯ РЕГИОНАЛЬНЫХ ПРОЕКТОВ, ПРЕДУСМАТРИВАЮЩИХ
РЕАЛИЗАЦИЮ МЕРОПРИЯТИЙ ПО РЕКОНСТРУКЦИИ И СТРОИТЕЛЬСТВУ
ОЧИСТНЫХ СООРУЖЕНИЙ ДЛЯ ОЧИСТКИ ЗАГРЯЗНЕННЫХ СТОЧНЫХ ВОД,
ПОСТУПАЮЩИХ В ОСНОВНЫЕ ВОДНЫЕ ОБЪЕКТЫ
1. Региональные проекты, предусматривающие реализацию мероприятий по реконструкции и строительству очистных сооружений для очистки загрязненных сточных вод, поступающих в основные водные объекты (далее - природоохранные проекты), подлежат ранжированию по итогам их оценки (S), которая рассчитывается с учетом критериев, коэффициентов их значимости (ki) и значений (Vi):
Критерии | Коэффициент значимости (ki) | Значение (Vi) |
1. | Эффективность природоохранного проекта | 0,7 | ЭП |
2. | Наличие поручения Президента Российской Федерации или Председателя Правительства Российской Федерации о финансировании регионального проекта | 0,1 | 20 |
3. | Реализация природоохранного проекта на территориях Луганской Народной Республики, Донецкой Народной Республики, Запорожской и Херсонской областей | 0,1 | 20 |
4. | Реализация природоохранного проекта: в рамках долгосрочных планов комплексного социально-экономического развития городов Дальнего Востока; на территории Арктической зоны Российской Федерации в соответствии с поручениями Правительства Российской Федерации, Правительственной комиссии по региональному развитию в Российской Федерации | 0,1 | 10 |
2. Расчет эффективности природоохранного проекта (ЭП) осуществляется по формуле:
где:
VCT - фактический объем загрязненных сточных вод в году, принятом как базовый год для расчета показателя "Снижение объема неочищенных сточных вод, сбрасываемых в основные водные объекты" федерального проекта "Вода России", подлежащий нормативной очистке при реализации i-го природоохранного проекта, куб. метров;
ФБi - размер средств федерального бюджета, планируемых к привлечению для реализации природоохранного проекта, тыс. рублей.
3. Расчет размера средств федерального бюджета, планируемых к привлечению для реализации природоохранного проекта (ФБi), осуществляется по формуле:
ФБi = ССРпсд - ФКБС - ФВБ,
где:
ССРпсд - сметная стоимость природоохранного проекта с учетом индексов дефляторов за период реализации проекта, тыс. рублей;
ФКБС - размер средств бюджета субъекта Российской Федерации, планируемых к привлечению для реализации природоохранного проекта, тыс. рублей;
ФВБ - размер средств внебюджетных источников, планируемых к привлечению для реализации природоохранного проекта, тыс. рублей.
4. Размер средств бюджета субъекта Российской Федерации, планируемых к привлечению для реализации природоохранного проекта (ФКБС), должен соответствовать следующему условию, определяемому в соответствии с формулой:
где:
Y
i - уровень софинансирования реализации природоохранных проектов из федерального бюджета в i-м субъекте Российской Федерации, определенный с учетом предельного уровня софинансирования расходного обязательства субъекта Российской Федерации в i-м субъекте Российской Федерации, установленный Правительством Российской Федерации на соответствующий финансовый год в соответствии с
пунктом 13(1.1) Правил формирования, предоставления и распределения субсидий из федерального бюджета бюджетам субъектов Российской Федерации, утвержденных постановлением Правительства Российской Федерации от 30 сентября 2014 г. N 999 "О формировании, предоставлении и распределении субсидий из федерального бюджета бюджетам субъектов Российской Федерации";
b
i - поправочный
коэффициент финансирования i-го субъекта Российской Федерации, установленный в соответствии с приложением N 5 к Правилам предоставления и распределения субсидий из федерального бюджета бюджетам субъектов Российской Федерации в целях софинансирования расходных обязательств субъектов Российской Федерации, возникающих при реализации региональных проектов, предусматривающих реализацию мероприятий по реконструкции и строительству очистных сооружений для очистки загрязненных сточных вод, поступающих в основные водные объекты, для достижения целей, показателей и результатов федерального проекта "Вода России", входящего в состав национального проекта "Экологическое благополучие", предусмотренным приложением N 28 к государственной программе Российской Федерации "Обеспечение доступным и комфортным жильем и коммунальными услугами граждан Российской Федерации", утвержденной постановлением Правительства Российской Федерации от 30 декабря 2017 г. N 1710 "Об утверждении государственной программы Российской Федерации "Обеспечение доступным и комфортным жильем и коммунальными услугами граждан Российской Федерации".
Параметр Yi/bi подлежит округлению до второго знака после запятой в соответствии с действующими правилами округления.
5. Итоговая оценка природоохранного проекта (S) рассчитывается по формуле:
6. По итогам оценки природоохранного проекта формируется ранжированный перечень природоохранных проектов в порядке убывания значений итоговой оценки (S), присвоенных каждому природоохранному проекту, - от максимального до минимального.
к Правилам предоставления
и распределения субсидий из федерального
бюджета бюджетам субъектов Российской
Федерации в целях софинансирования
расходных обязательств субъектов
Российской Федерации, возникающих
при реализации региональных проектов,
предусматривающих реализацию мероприятий
по реконструкции и строительству очистных
сооружений для очистки загрязненных
сточных вод, поступающих в основные
водные объекты, для достижения целей,
показателей и результатов федерального
проекта "Вода России", входящего
в состав национального проекта
"Экологическое благополучие"
ФИНАНСИРОВАНИЯ РАСХОДНОГО ОБЯЗАТЕЛЬСТВА СУБЪЕКТА
РОССИЙСКОЙ ФЕДЕРАЦИИ
Наименование субъекта Российской Федерации | Поправочный коэффициент |
2025 год | 2026 год | 2027 год |
Республика Адыгея | 1,65 | 1,65 | 1,65 |
Республика Алтай | 1,65 | 1,65 | 1,65 |
Республика Башкортостан | 1,63 | 1,63 | 1,63 |
Республика Бурятия | 1,98 | 1,98 | 1,98 |
Республика Дагестан | 1,65 | 1,65 | 1,65 |
Донецкая Народная Республика | 1 | 1 | 1 |
Республика Ингушетия | 1,65 | 1,65 | 1,65 |
Кабардино-Балкарская Республика | 1,65 | 1,65 | 1,65 |
Республика Калмыкия | 1,65 | 1,65 | 1,65 |
Карачаево-Черкесская Республика | 1,65 | 1,65 | 1,65 |
Республика Карелия | 1,65 | 1,63 | 1,63 |
Республика Коми | 1,58 | 1,58 | 1,57 |
Республика Крым | 1,65 | 1,65 | 1,65 |
Луганская Народная Республика | 1 | 1 | 1 |
Республика Марий Эл | 1,98 | 1,98 | 1,98 |
Республика Мордовия | 1,65 | 1,65 | 1,65 |
Республика Саха (Якутия) | 1,65 | 1,65 | 1,63 |
Республика Северная Осетия - Алания | 1,65 | 1,65 | 1,63 |
Республика Татарстан | 1,58 | 1,46 | 1,34 |
Республика Тыва | 1,65 | 1,65 | 1,65 |
Удмуртская Республика | 1,63 | 1,63 | 1,63 |
Республика Хакасия | 1,65 | 1,65 | 1,63 |
Чеченская Республика | 1,65 | 1,65 | 1,65 |
Чувашская Республика | 1,98 | 1,98 | 1,98 |
Алтайский край | 1,65 | 1,65 | 1,65 |
Забайкальский край | 1,98 | 1,98 | 1,98 |
Камчатский край | 1,65 | 1,65 | 1,65 |
Краснодарский край | 1,6 | 1,6 | 1,6 |
Красноярский край | 1,57 | 1,5 | 1,43 |
Пермский край | 1,6 | 1,6 | 1,6 |
Приморский край | 1,63 | 1,62 | 1,62 |
Ставропольский край | 1,65 | 1,65 | 1,65 |
Хабаровский край | 1,62 | 1,62 | 1,6 |
Амурская область | 1,62 | 1,6 | 1,6 |
Архангельская область | 1,63 | 1,63 | 1,62 |
Астраханская область | 1,94 | 1,94 | 1,94 |
Белгородская область | 1,57 | 1,47 | 1,37 |
Брянская область | 1,65 | 1,65 | 1,65 |
Владимирская область | 1,63 | 1,63 | 1,62 |
Волгоградская область | 1,96 | 1,96 | 1,96 |
Вологодская область | 1,88 | 1,78 | 1,68 |
Воронежская область | 1,63 | 1,62 | 1,62 |
Запорожская область | 1 | 1 | 1 |
Ивановская область | 1,98 | 1,98 | 1,96 |
Иркутская область | 1,68 | 1,56 | 1,53 |
Калининградская область | 1,62 | 1,62 | 1,6 |
Калужская область | 1,6 | 1,6 | 1,58 |
Кемеровская область - Кузбасс | 1,58 | 1,48 | 1,38 |
Кировская область | 1,65 | 1,65 | 1,63 |
Костромская область | 1,98 | 1,98 | 1,96 |
Курганская область | 1,65 | 1,65 | 1,65 |
Курская область | 1,63 | 1,62 | 1,62 |
Ленинградская область | 1,08 | 1,02 | 1 |
Липецкая область | 1,57 | 1,52 | 1,47 |
Магаданская область | 1,63 | 1,63 | 1,62 |
Московская область | 1,48 | 1,4 | 1,32 |
Мурманская область | 1,53 | 1,43 | 1,33 |
Нижегородская область | 1,92 | 1,88 | 1,86 |
Новгородская область | 1,62 | 1,6 | 1,6 |
Новосибирская область | 1,6 | 1,6 | 1,58 |
Омская область | 1,63 | 1,63 | 1,63 |
Оренбургская область | 1,62 | 1,62 | 1,62 |
Орловская область | 1,65 | 1,65 | 1,63 |
Пензенская область | 1,65 | 1,65 | 1,63 |
Псковская область | 1,65 | 1,65 | 1,63 |
Ростовская область | 1,63 | 1,63 | 1,62 |
Рязанская область | 1,62 | 1,62 | 1,62 |
Самарская область | 1,76 | 1,76 | 1,76 |
Саратовская область | 1,96 | 1,96 | 1,96 |
Сахалинская область | 1 | 1 | 1 |
Свердловская область | 1,52 | 1,43 | 1,33 |
Смоленская область | 1,62 | 1,62 | 1,6 |
Тамбовская область | 1,63 | 1,63 | 1,63 |
Тверская область | 1,94 | 1,94 | 1,94 |
Томская область | 1,63 | 1,63 | 1,63 |
Тульская область | 1,6 | 1,6 | 1,6 |
Тюменская область | 1 | 1 | 1 |
Ульяновская область | 1,94 | 1,94 | 1,94 |
Херсонская область | 1 | 1 | 1 |
Челябинская область | 1,6 | 1,58 | 1,57 |
Ярославская область | 1,92 | 1,92 | 1,9 |
Город Москва | 1 | 1 | 1 |
Город Санкт-Петербург | 1 | 1 | 1 |
Город Севастополь | 1,65 | 1,65 | 1,65 |
Еврейская автономная область | 1,65 | 1,65 | 1,65 |
Ненецкий автономный округ | 1,62 | 1,62 | 1,62 |
Ханты-Мансийский автономный округ - Югра | 1 | 1 | 1 |
Чукотский автономный округ | 1,65 | 1,65 | 1,65 |
Ямало-Ненецкий автономный округ | 1 | 1 | 1 |
постановлением Правительства
Российской Федерации
от 30 декабря 2017 г. N 1710
КОТОРЫЕ ВНОСЯТСЯ В АКТЫ ПРАВИТЕЛЬСТВА РОССИЙСКОЙ ФЕДЕРАЦИИ
| | Список изменяющих документов (в ред. Постановлений Правительства РФ от 20.11.2018 N 1392, | |
1. По тексту
пункта 2 методики распределения по субъектам Российской Федерации средств федерального бюджета на осуществление социальных выплат для приобретения жилья гражданам, выезжающим (выехавшим) из районов Крайнего Севера и приравненных к ним местностей, утвержденной постановлением Правительства Российской Федерации от 16 июля 2003 г. N 433 "Об утверждении методики распределения по субъектам Российской Федерации средств федерального бюджета на осуществление социальных выплат для приобретения жилья гражданам, выезжающим (выехавшим) из районов Крайнего Севера и приравненных к ним местностей" (Собрание законодательства Российской Федерации, 2003, N 29, ст. 3007; 2016, N 52, ст. 7635), слово "подпрограммы" заменить словами "основного мероприятия" и слова "федеральной целевой программы "Жилище" на 2015 - 2020 годы" заменить словами "государственной программы Российской Федерации "Обеспечение доступным и комфортным жильем и коммунальными услугами граждан Российской Федерации".
2. В
постановлении Правительства Российской Федерации от 21 марта 2006 г. N 153 "О некоторых вопросах реализации подпрограммы "Выполнение государственных обязательств по обеспечению жильем категорий граждан, установленных федеральным законодательством" федеральной целевой программы "Жилище" на 2015 - 2020 годы" (Собрание законодательства Российской Федерации, 2006, N 13, ст. 1405; 2007, N 43, ст. 5208; 2008, N 15, ст. 1564; 2009, N 20, ст. 2472; N 52, ст. 6570; 2011, N 30, ст. 4634; N 47, ст. 6646; 2012, N 43, ст. 5876; 2013, N 2, ст. 91; N 8, ст. 837; 2015, N 40, ст. 5556; 2016, N 28, ст. 4751; N 50, ст. 7090; 2017, N 2, ст. 368; N 32, ст. 5075):
"О НЕКОТОРЫХ ВОПРОСАХ
РЕАЛИЗАЦИИ ОСНОВНОГО МЕРОПРИЯТИЯ "ВЫПОЛНЕНИЕ
ГОСУДАРСТВЕННЫХ ОБЯЗАТЕЛЬСТВ ПО ОБЕСПЕЧЕНИЮ ЖИЛЬЕМ
КАТЕГОРИЙ ГРАЖДАН, УСТАНОВЛЕННЫХ ФЕДЕРАЛЬНЫМ
ЗАКОНОДАТЕЛЬСТВОМ" ГОСУДАРСТВЕННОЙ ПРОГРАММЫ
РОССИЙСКОЙ ФЕДЕРАЦИИ "ОБЕСПЕЧЕНИЕ ДОСТУПНЫМ
И КОМФОРТНЫМ ЖИЛЬЕМ И КОММУНАЛЬНЫМИ УСЛУГАМИ
ГРАЖДАН РОССИЙСКОЙ ФЕДЕРАЦИИ";
слово "подпрограмма" в соответствующем падеже заменить словами "основное мероприятие" в соответствующем падеже;
слова "федеральной целевой программы "Жилище" на 2015 - 2020 годы" заменить словами "государственной программы Российской Федерации "Обеспечение доступным и комфортным жильем и коммунальными услугами граждан Российской Федерации";
в) в
пункте 1 слова "утвержденной постановлением Правительства Российской Федерации от 17 декабря 2010 г. N 1050" заменить словами "утвержденной постановлением Правительства Российской Федерации от 30 декабря 2017 г. N 1710";
г)
пункт 3 дополнить подпунктом "ж" следующего содержания:
"ж) Министерство строительства и жилищно-коммунального хозяйства Российской Федерации вправе издавать в порядке, установленном пунктом 41(5) Правил, утвержденных настоящим постановлением, приказы о выдаче бланков сертификатов в пределах определенного в соответствии с пунктом 41(2) Правил, утвержденных настоящим постановлением, остатка средств социальных выплат для приобретения жилых помещений, перечисленных в рамках реализации федеральной целевой
программы "Жилище" на 2015 - 2020 годы в порядке, установленном пунктом 40(1) Правил, утвержденных настоящим постановлением, с лицевого счета получателя бюджетных средств на балансовый счет, открытый территориальному органу Федерального казначейства для учета средств, поступающих во временное распоряжение казенных учреждений. При этом остаток средств социальных выплат для приобретения жилых помещений, который не обеспечен заявками, предусмотренными пунктом 41(3) Правил, утвержденных настоящим постановлением, распределяется Министерством строительства и жилищно-коммунального хозяйства Российской Федерации между гражданами, указанными в подпунктах "а", "б", "е", "ж" и "к" пункта 5 Правил, утвержденных настоящим постановлением.";
д) в
Правилах выпуска и реализации государственных жилищных сертификатов в рамках реализации подпрограммы "Выполнение государственных обязательств по обеспечению жильем категорий граждан, установленных федеральным законодательством" федеральной целевой программы "Жилище" на 2015 - 2020 годы, утвержденных указанным постановлением:
"ПРАВИЛА
ВЫПУСКА И РЕАЛИЗАЦИИ ГОСУДАРСТВЕННЫХ ЖИЛИЩНЫХ
СЕРТИФИКАТОВ В РАМКАХ РЕАЛИЗАЦИИ ОСНОВНОГО МЕРОПРИЯТИЯ
"ВЫПОЛНЕНИЕ ГОСУДАРСТВЕННЫХ ОБЯЗАТЕЛЬСТВ ПО ОБЕСПЕЧЕНИЮ
ЖИЛЬЕМ КАТЕГОРИЙ ГРАЖДАН, УСТАНОВЛЕННЫХ ФЕДЕРАЛЬНЫМ
ЗАКОНОДАТЕЛЬСТВОМ" ГОСУДАРСТВЕННОЙ ПРОГРАММЫ РОССИЙСКОЙ
ФЕДЕРАЦИИ "ОБЕСПЕЧЕНИЕ ДОСТУПНЫМ И КОМФОРТНЫМ ЖИЛЬЕМ
И КОММУНАЛЬНЫМИ УСЛУГАМИ ГРАЖДАН РОССИЙСКОЙ ФЕДЕРАЦИИ";
слово "подпрограмма" в соответствующем падеже заменить словами "основное мероприятие" в соответствующем падеже;
слова "федеральной целевой программы "Жилище" на 2015 - 2020 годы" заменить словами "государственной программы Российской Федерации "Обеспечение доступным и комфортным жильем и коммунальными услугами граждан Российской Федерации".
3. В
постановлении Правительства Российской Федерации от 17 декабря 2010 г. N 1050 "О федеральной целевой программе "Жилище" на 2015 - 2020 годы" (Собрание законодательства Российской Федерации, 2011, N 5, ст. 739; N 29, ст. 4496; N 38, ст. 5391; N 42, ст. 5923; 2012, N 3, ст. 419; N 31, ст. 4372; N 49, ст. 6855; 2013, N 2, ст. 91; N 20, ст. 2485; N 42, ст. 5379; 2014, N 18, ст. 2200; N 43, ст. 5911; 2015, N 36, ст. 5030; 2016, N 23, ст. 3316; N 24, ст. 3525; 2017, N 2, ст. 390; N 8, ст. 1245; N 22, ст. 3164):
"О РЕАЛИЗАЦИИ
ОТДЕЛЬНЫХ МЕРОПРИЯТИЙ ГОСУДАРСТВЕННОЙ ПРОГРАММЫ РОССИЙСКОЙ
ФЕДЕРАЦИИ "ОБЕСПЕЧЕНИЕ ДОСТУПНЫМ И КОМФОРТНЫМ ЖИЛЬЕМ
И КОММУНАЛЬНЫМИ УСЛУГАМИ ГРАЖДАН РОССИЙСКОЙ ФЕДЕРАЦИИ";
б)
пункт 1 изложить в следующей редакции:
"1. Утвердить прилагаемые особенности реализации отдельных мероприятий государственной программы Российской Федерации "Обеспечение доступным и комфортным жильем и коммунальными услугами граждан Российской Федерации.";
в) в федеральной целевой
программе "Жилище" на 2015 - 2020 годы, утвержденной указанным постановлением:
"ОСОБЕННОСТИ
РЕАЛИЗАЦИИ ОТДЕЛЬНЫХ МЕРОПРИЯТИЙ ГОСУДАРСТВЕННОЙ ПРОГРАММЫ
РОССИЙСКОЙ ФЕДЕРАЦИИ "ОБЕСПЕЧЕНИЕ ДОСТУПНЫМ И КОМФОРТНЫМ
ЖИЛЬЕМ И КОММУНАЛЬНЫМИ УСЛУГАМИ ГРАЖДАН
РОССИЙСКОЙ ФЕДЕРАЦИИ";
паспорт федеральной целевой программы "Жилище" на 2015 - 2020 годы признать утратившим силу;
"I. Общие положения";
в
абзаце пятом слово "будет" заменить словом "была", цифры "2020" заменить цифрами "2017";
в
абзаце шестом слово "реализуемая" заменить словами "реализация которой осуществлялась", слово "направленная" заменить словами "которая была направлена";
в
абзаце восьмом слова "будут завершены" заменить словами "были завершены", слова "Будут достроены" заменить словами "Были достроены", слово "предусмотрено" заменить словом "осуществлялось";
слова "будет осуществляться" заменить словами "осуществлялась в 2015 - 2017 годах", слово "станет" заменить словом "стала";
слова "(далее - Программа)" исключить;
в
абзаце двадцать втором слова "Программа включает" заменить словами "Федеральная целевая программа "Жилище" включала";
"С 1 января 2018 г. мероприятия федеральной целевой программы "Жилище" интегрируются в состав государственной программы Российской Федерации "Обеспечение доступным и комфортным жильем и коммунальными услугами граждан Российской Федерации" (далее - Программа) в соответствии с
постановлением Правительства Российской Федерации от 12 октября 2017 г. N 1243 "О реализации мероприятий федеральных целевых программ, интегрируемых в отдельные государственные программы Российской Федерации", и их реализация будет осуществляться с учетом настоящих особенностей.";
абзацы девятнадцатый - сороковой утратили силу. -
Постановление Правительства РФ от 30.01.2019 N 62;
"III. "Особенности механизма реализации Программы и управления Программой";
слова "порядком разработки и реализации федеральных целевых программ и межгосударственных целевых программ, в осуществлении которых участвует Российская Федерация, утвержденным постановлением Правительства Российской Федерации от 26 июня 1995 г. N 594 "О реализации Федерального закона "О поставках продукции для федеральных государственных нужд" заменить словами "
Правилами разработки, реализации и оценки эффективности отдельных государственных программ Российской Федерации, утвержденными постановлением Правительства Российской Федерации от 12 октября 2017 г. N 1242 "О разработке, реализации и об оценке эффективности отдельных государственных программ Российской Федерации";
слово "подпрограмм" заменить словами "основных мероприятий, приоритетных проектов и ведомственных целевых программ";
абзац утратил силу. -
Постановление Правительства РФ от 20.11.2018 N 1392;
слова "подпрограмм" заменить словами "основных мероприятий и ведомственных целевых программ";
слова "управление реализацией Программы" заменить словами "обеспечение деятельности (оказание услуг) и государственных функций по текущему управлению реализацией Программы";
в
абзаце двадцать первом слово "подпрограмм" заменить словами "основных мероприятий и ведомственных целевых программ";
г) - д) утратили силу. -
Постановление Правительства РФ от 30.01.2019 N 62;
е)
подпрограмму "Стимулирование программ развития жилищного строительства субъектов Российской Федерации" федеральной целевой программы "Жилище" на 2015 - 2020 годы признать утратившей силу;
ж) утратил силу. -
Постановление Правительства РФ от 30.01.2019 N 62;
з)
подпрограмму "Модернизация объектов коммунальной инфраструктуры" федеральной целевой программы "Жилище" на 2015 - 2020 годы признать утратившей силу.
4. В
подпункте "а" пункта 2 постановления Правительства Российской Федерации от 21 апреля 2011 г. N 303 "О некоторых вопросах, связанных с предоставлением субвенций субъектам Российской Федерации на осуществление полномочий Российской Федерации по обеспечению жилыми помещениями граждан, уволенных с военной службы (службы), и приравненных к ним лиц, переданных для осуществления органам государственной власти субъектов Российской Федерации" (Собрание законодательства Российской Федерации, 2011, N 17, ст. 2434; 2016, N 39, ст. 5654) слово "подпрограммы" заменить словами "основного мероприятия", слова "федеральной целевой программы "Жилище" на 2015 - 2020 годы" заменить словами "государственной программы Российской Федерации "Обеспечение доступным и комфортным жильем и коммунальными услугами граждан Российской Федерации".
5. Утратил силу. -
Постановление Правительства РФ от 18.03.2021 N 411.
6. В
Правилах предоставления субвенций из федерального бюджета бюджетам субъектов Российской Федерации на осуществление органами государственной власти субъектов Российской Федерации переданных им полномочий Российской Федерации по обеспечению жилыми помещениями граждан, уволенных с военной службы (службы), и приравненных к ним лиц, утвержденных постановлением Правительства Российской Федерации от 21 марта 2016 г. N 216 "Об утверждении Правил предоставления субвенций из федерального бюджета бюджетам субъектов Российской Федерации на осуществление органами государственной власти субъектов Российской Федерации переданных им полномочий Российской Федерации по обеспечению жилыми помещениями граждан, уволенных с военной службы (службы), и приравненных к ним лиц" (Собрание законодательства Российской Федерации, 2016, N 13, ст. 1834):
а) в
пункте 1 слова "федеральной целевой программы "Жилище" на 2015 - 2020 годы" заменить словами "государственной программы Российской Федерации "Обеспечение доступным и комфортным жильем и коммунальными услугами граждан Российской Федерации";
б) в
пункте 2 слово "подпрограммы" заменить словами "основного мероприятия", слова "федеральной целевой программы "Жилище" на 2015 - 2020 годы" заменить словами "государственной программы Российской Федерации "Обеспечение доступным и комфортным жильем и коммунальными услугами граждан Российской Федерации".
к постановлению Правительства
Российской Федерации
от 30 декабря 2017 г. N 1710
УТРАТИВШИХ СИЛУ АКТОВ ПРАВИТЕЛЬСТВА РОССИЙСКОЙ ФЕДЕРАЦИИ
1.
Постановление Правительства Российской Федерации от 31 марта 2014 г. N 255 "Об утверждении Правил предоставления субсидий из федерального бюджета, главным распорядителем в отношении которых является Министерство строительства и жилищно-коммунального хозяйства Российской Федерации, бюджетам субъектов Российской Федерации на софинансирование объектов капитального строительства государственной собственности субъектов Российской Федерации, не включенных в федеральные целевые программы, бюджетные инвестиции в которые осуществляются из бюджетов субъектов Российской Федерации, и (или) на предоставление соответствующих субсидий из бюджетов субъектов Российской Федерации на софинансирование объектов капитального строительства муниципальной собственности, не включенных в федеральные целевые программы, бюджетные инвестиции в которые осуществляются из местных бюджетов, и признании утратившим силу постановления Правительства Российской Федерации от 12 августа 2013 г. N 686" (Собрание законодательства Российской Федерации, 2014, N 14, ст. 1645).
2.
Постановление Правительства Российской Федерации от 15 апреля 2014 г. N 323 "Об утверждении государственной программы Российской Федерации "Обеспечение доступным и комфортным жильем и коммунальными услугами граждан Российской Федерации" (Собрание законодательства Российской Федерации, 2014, N 18, ст. 2169).
3. Для служебного пользования.
4.
Постановление Правительства Российской Федерации от 4 февраля 2015 г. N 101 "О внесении изменений в Правила предоставления субсидий из федерального бюджета, главным распорядителем в отношении которых является Министерство строительства и жилищно-коммунального хозяйства Российской Федерации, бюджетам субъектов Российской Федерации на софинансирование объектов капитального строительства государственной собственности субъектов Российской Федерации, не включенных в федеральные целевые программы, бюджетные инвестиции в которые осуществляются из бюджетов субъектов Российской Федерации, и (или) на предоставление соответствующих субсидий из бюджетов субъектов Российской Федерации на софинансирование объектов капитального строительства муниципальной собственности, не включенных в федеральные целевые программы, бюджетные инвестиции в которые осуществляются из местных бюджетов" (Собрание законодательства Российской Федерации, 2015, N 6, ст. 978).
5. Для служебного пользования.
6.
Пункт 193 изменений, которые вносятся в акты Правительства Российской Федерации в связи с упразднением Федеральной службы финансово-бюджетного надзора, утвержденных постановлением Правительства Российской Федерации от 25 мая 2016 г. N 464 "О внесении изменений в некоторые акты Правительства Российской Федерации в связи с упразднением Федеральной службы финансово-бюджетного надзора" (Собрание законодательства Российской Федерации, 2016, N 24, ст. 3525).
7.
Постановление Правительства Российской Федерации от 28 января 2017 г. N 92 "О предоставлении и распределении субсидий из федерального бюджета бюджетам субъектов Российской Федерации на софинансирование расходных обязательств субъектов Российской Федерации на компенсацию отдельным категориям граждан оплаты взноса на капитальный ремонт общего имущества в многоквартирном доме и признании утратившим силу постановления Правительства Российской Федерации от 6 сентября 2016 г. N 889" (Собрание законодательства Российской Федерации, 2017, N 6, ст. 939).
8.
Постановление Правительства Российской Федерации от 31 марта 2017 г. N 393 "О внесении изменений в государственную программу Российской Федерации "Обеспечение доступным и комфортным жильем и коммунальными услугами граждан Российской Федерации" (Собрание законодательства Российской Федерации, 2017, N 15, ст. 2224).
9.
Пункт 2 изменений, которые вносятся в акты Правительства Российской Федерации, утвержденных постановлением Правительства Российской Федерации от 20 мая 2017 г. N 609 "О внесении изменений в некоторые акты Правительства Российской Федерации" (Собрание законодательства Российской Федерации, 2017, N 22, ст. 3164).
10. Для служебного пользования.
11.
Пункт 2 изменений, которые вносятся в акты Правительства Российской Федерации, утвержденных постановлением Правительства Российской Федерации от 26 июня 2017 г. N 746 "О внесении изменений и признании утратившими силу некоторых актов Правительства Российской Федерации" (Собрание законодательства Российской Федерации, 2017, N 27, ст. 4047).
12.
Постановление Правительства Российской Федерации от 17 августа 2017 г. N 977 "О внесении изменений в государственную программу Российской Федерации "Обеспечение доступным и комфортным жильем и коммунальными услугами граждан Российской Федерации" (Собрание законодательства Российской Федерации, 2017, N 35, ст. 5351).
13. Для служебного пользования.