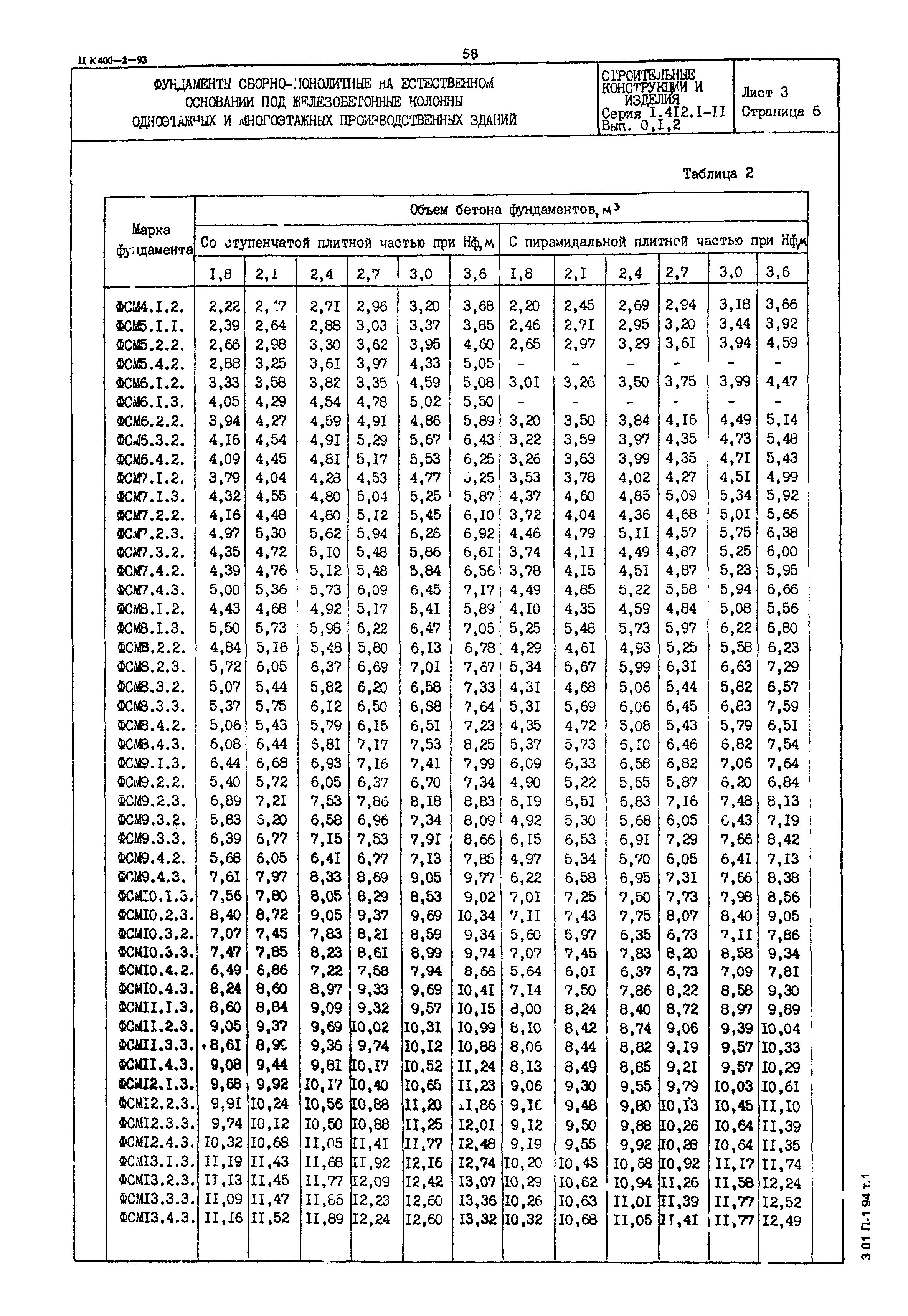
Скачать Серия 1.412.1-11 Фундаменты сборно-монолитные на естественном основании под железобетонные колонны одноэтажных и многоэтажных производственных зданийДата актуализации: 01.01.2021 Серия 1.412.1-11
Фундаменты сборно-монолитные на естественном основании под железобетонные колонны одноэтажных и многоэтажных производственных зданий| Обозначение: | Серия 1.412.1-11 | | Обозначение англ: | Series 1.412.1-11 | | Статус: | не определен законодательством | | Название рус.: | Фундаменты сборно-монолитные на естественном основании под железобетонные колонны одноэтажных и многоэтажных производственных зданий | | Дата добавления в базу: | 01.09.2013 | | Дата актуализации: | 01.01.2021 | | Дата введения: | 01.06.1993 | | Дата окончания срока действия: | 30.06.2003 |
       
|