Скачать Серия 1.424.1-9 Выпуск 0. Часть 1. Материалы для проектированияДата актуализации: 01.01.2021
|
| Обозначение: | Серия 1.424.1-9 |
| Обозначение англ: | Series 1.424.1-9 |
| Статус: | не определен законодательством |
| Название рус.: | Выпуск 0. Часть 1. Материалы для проектирования |
| Дата добавления в базу: | 01.09.2013 |
| Дата актуализации: | 01.01.2021 |
| Дата введения: | 01.06.1989 |
| Дата окончания срока действия: | 30.06.2003 |
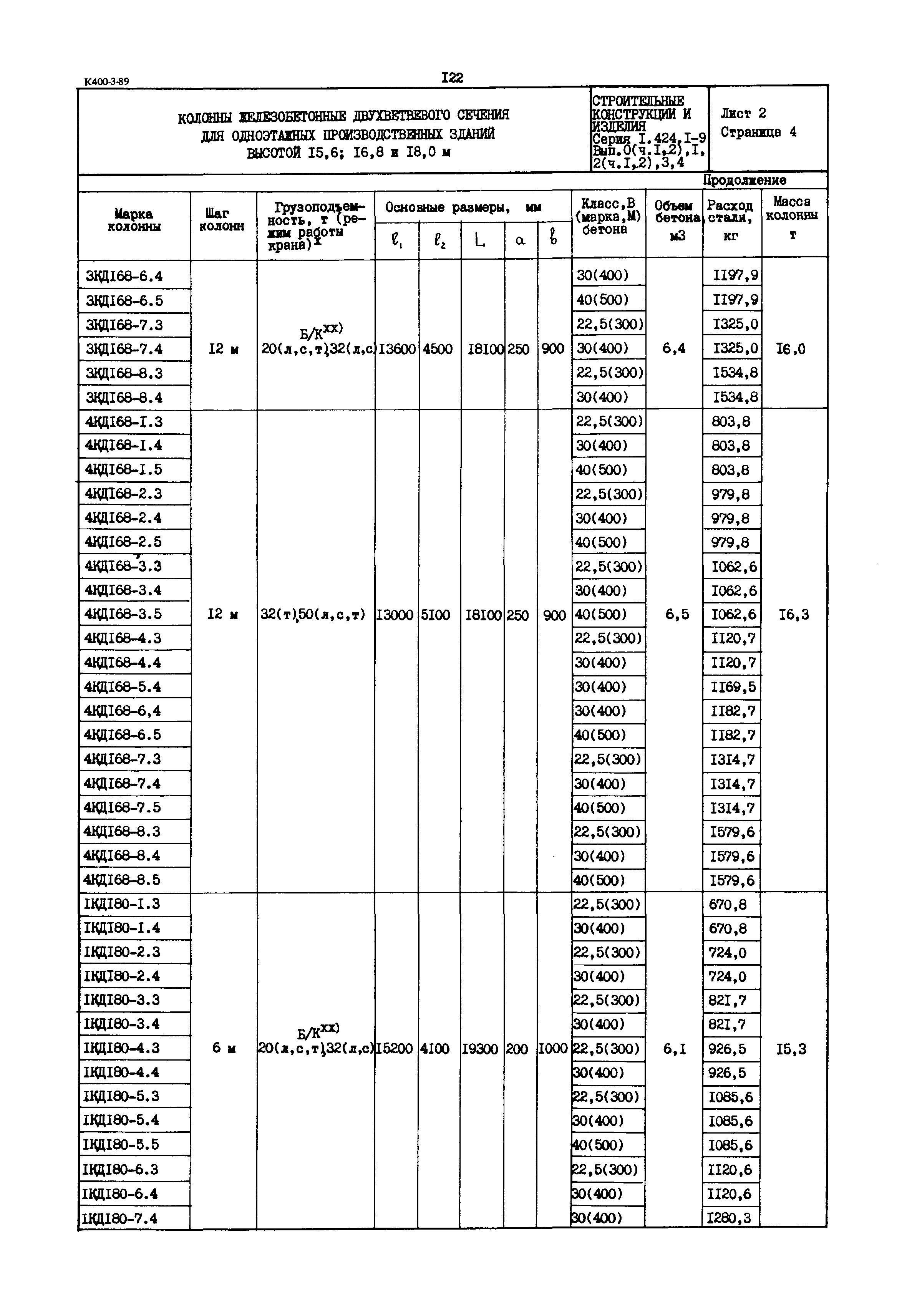
| Оглавление: | 1.424.1-9.0-ПЗ Пояснительная записка 1.424.1-9.0-1СМ Габаритные схемы зданий 1.424.1-9.0-2НИ Номенклатура колонн 1.424.1-9.0-3СМ Схемы размещения вертикальных связей в продольных рядах колонн для зданий с мостовыми опорными кранами 1.424.1-9.0-4СМ Схемы размещения вертикальных связей в продольных рядах колонн для зданий с мостовыми подвесными кранами и без мостовых кранов 1.424.1-9.0-5СМ Примеры узлов крепления вертикальных связей к колоннам 1.424.1-9.0-6СМ Примеры узлов крепления стропильных и подстропильных конструкций 1.424.1-9.0-7СМ Схемы установки закладных изделий в колоннах для крепления стропильных и подстропильных конструкций 1.424.1-9.0-8СМ Примеры узлов крепления подкрановых балок к колоннам 1.424.1-9.0-9СМ Схемы установки закладных изделий для крепления подкрановых балок 1.424.1-9.0-10СМ Схемы установки закладных изделий для крепления связей 1.424.1-9.0-11СМ Схемы установки закладных изделий для крепления стоек торцевого фахверка 1.424.1-9.0-12СМ Примеры установки закладных изделий для крепления стеновых панелей 1.424.1-9.0-13СМ Примеры использования колонн в качестве заземляющих устройств |











