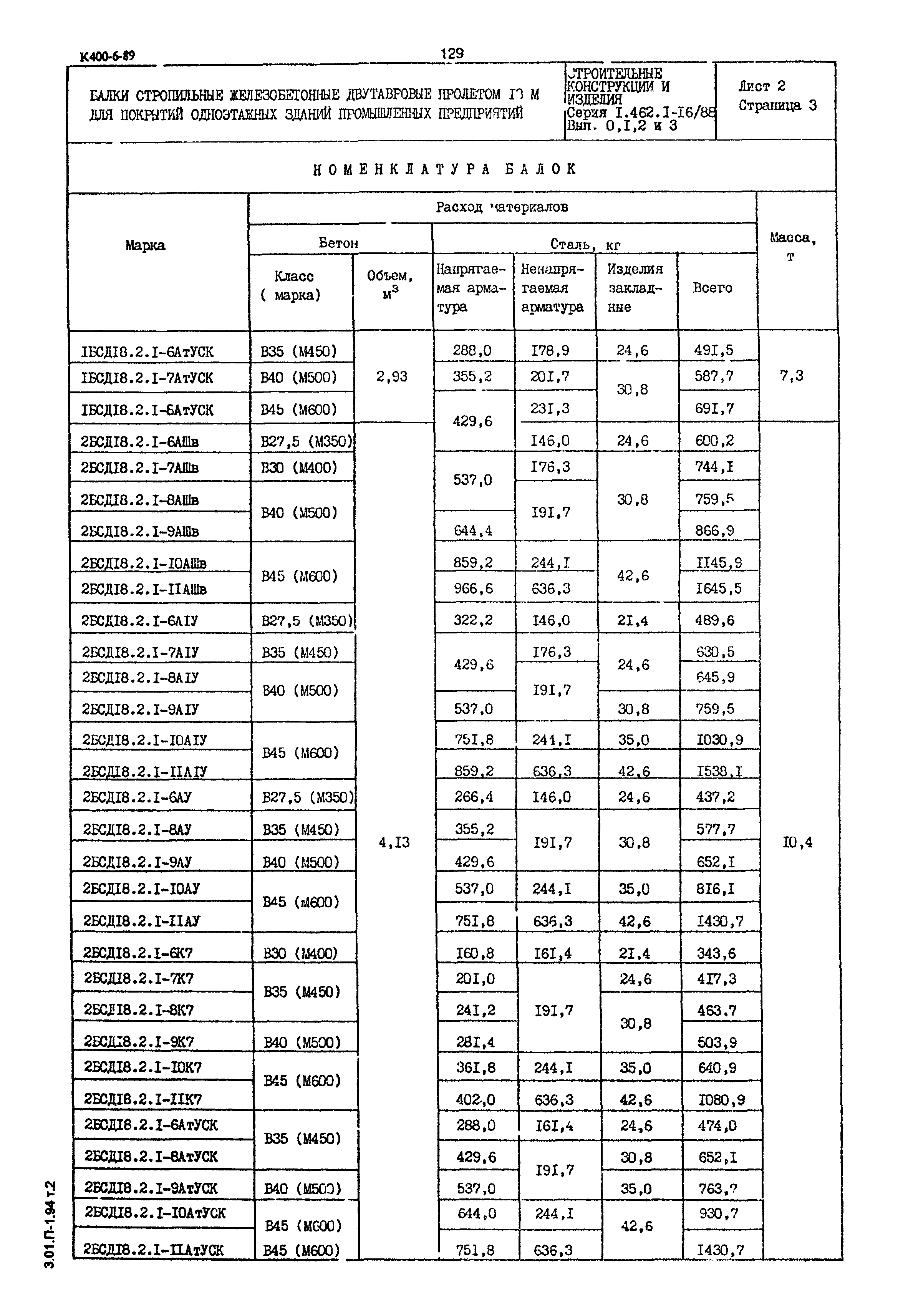
Скачать Серия 1.462.1-16/88 Балки стропильные железобетонные двутавровые пролетом 18 м для покрытий одноэтажных зданий промышленных предприятийДата актуализации: 01.01.2021 Серия 1.462.1-16/88
Балки стропильные железобетонные двутавровые пролетом 18 м для покрытий одноэтажных зданий промышленных предприятий| Обозначение: | Серия 1.462.1-16/88 | | Обозначение англ: | Series 1.462.1-16/88 | | Статус: | не определен законодательством | | Название рус.: | Балки стропильные железобетонные двутавровые пролетом 18 м для покрытий одноэтажных зданий промышленных предприятий | | Дата добавления в базу: | 01.09.2013 | | Дата актуализации: | 01.01.2021 | | Дата введения: | 01.07.1989 | | Дата окончания срока действия: | 30.06.2003 |
    
|