Скачать Серия 1.424.3-7 Выпуск 5. Колонны для зданий высотой от 10,8 до 18 м с мостовыми электрическими кранами общего назначения грузоподъемностью до 50 т с применением профилей по сокращенному сортаменту металлопроката (дополнение к выпуску 1). Чертежи КМДата актуализации: 01.01.2021
|
| Обозначение: | Серия 1.424.3-7 |
| Обозначение англ: | Series 1.424.3-7 |
| Статус: | не определен законодательством |
| Название рус.: | Выпуск 5. Колонны для зданий высотой от 10,8 до 18 м с мостовыми электрическими кранами общего назначения грузоподъемностью до 50 т с применением профилей по сокращенному сортаменту металлопроката (дополнение к выпуску 1). Чертежи КМ |
| Дата добавления в базу: | 01.09.2013 |
| Дата актуализации: | 01.01.2021 |
| Дата введения: | 15.06.1987 |
| Дата окончания срока действия: | 30.06.2003 |
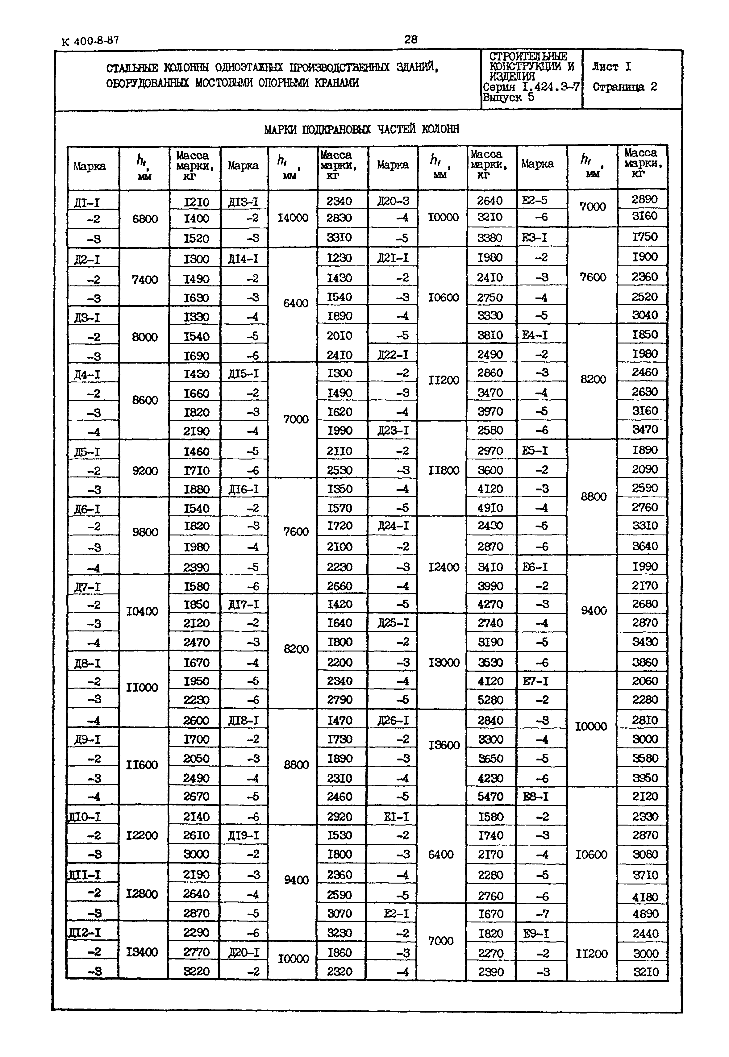
| Оглавление: | 1.424.3-7.5-00ПЗКМ Пояснительная записка 1.424.3-7.5-01КМ Таблица для выбора марок подкрановых частей колонн крайнего ряда с шагом 6 м при отсутствии проходов вдоль крановых путей 1.424.3-7.5-02КМ Таблица для выбора марок подкрановых частей колонн крайнего ряда с шагом 12 м при отсутствии проходов вдоль крановых путей 1.424.3-7.5-03КМ Таблица для выбора марок подкрановых частей колонн среднего ряда при отсутствии проходов вдоль крановых путей 1.424.3-7.5-04КМ Таблица для выбора марок подкрановых частей колонн крайнего ряда с шагом 6 м при наличии проходов вдоль крановых путей 1.424.3-7.5-05КМ Таблица для выбора марок подкрановых частей колонн крайнего ряда с шагом 12 м при наличии проходов вдоль крановых путей 1.424.3-7.5-06КМ Таблица для выбора марок подкрановых частей колонн среднего ряда при наличии проходов вдоль крановых путей 1.424.3-7.5-07КМ Таблица для выбора марок подкрановых частей колонн 1.424.3-7.5-08КМ Моменты инерции сечений колонн в плоскости поперечной рамы здания 1.424.3-7.5-09КМ Оголовки колонн узлы 1,2,3 и 28 1.424.3-7.5-10КМ Сортамент анкерных плиток баз колонн (для климатических районов II4, II5 и др.) 1.424.3-7.5-11КМ Сортамент анкерных плиток баз колонн (для климатических районов I1; I2; II2 и II3) 1.424.3-7.5-12КМ Базы колонн у поперечного температурного или антисейсмического шва и у торца здания 1.424.3-7.5-13КМ Размеры деталей, сварных швов и массы подкрановых частей колонн крайнего ряда 1.424.3-7.5-14КМ Размеры деталей и массы подкрановых частей колонн среднего ряда 1.424.3-7.5-15КМ Размеры деталей, сварных швов и массы подкрановых частей колонн марок Д1-; Д2-; Д3- и Д4- 1.424.3-7.5-16КМ Размеры деталей, сварных швов и массы подкрановых частей колонн марок Д5-; Д6-; Д7- 1.424.3-7.5-17КМ Размеры деталей, сварных швов и массы подкрановых частей колонн марок Д8-; Д9- и Д10- 1.424.3-7.5-18КМ Размеры деталей, сварных швов и массы подкрановых частей колонн марок Д11-; Д12- и Д13- 1.424.3-7.5-19КМ Размеры деталей, сварных швов и массы подкрановых частей колонн марок Д14- и Д15- 1.424.3-7.5-20КМ Размеры деталей, сварных швов и массы подкрановых частей колонн марок Д16- и Д17- 1.424.3-7.5-21КМ Размеры деталей, сварных швов и массы подкрановых частей колонн марок Д18- и Д19- 1.424.3-7.5-22КМ Размеры деталей, сварных швов и массы подкрановых частей колонн марок Д20-; Д21- и Д22- 1.424.3-7.5-23КМ Размеры деталей, сварных швов и массы подкрановых частей колонн марок Д23- и Д24- 1.424.3-7.5-24КМ Размеры деталей, сварных швов и массы подкрановых частей колонн марок Д25- и Д26- 1.424.3-7.5-25КМ Размеры деталей, сварных швов и массы подкрановых частей колонн марок Е1- и Е2- 1.424.3-7.5-26КМ Размеры деталей, сварных швов и массы подкрановых частей колонн марок Е3- и Е4- 1.424.3-7.5-27КМ Размеры деталей, сварных швов и массы подкрановых частей колонн марок Е5- и Е6- 1.424.3-7.5-28КМ Размеры деталей, сварных швов и массы подкрановых частей колонн марок Е7- и Е8- 1.424.3-7.5-29КМ Размеры деталей, сварных швов и массы подкрановых частей колонн марок Е9- и Е10- 1.424.3-7.5-30КМ Размеры деталей, сварных швов и массы подкрановых частей колонн марок Е11-; Е12- и Е13- 1.424.3-7.5-31КМ Размеры деталей, сварных швов и массы подкрановых частей колонн марок И1-; И2-; И3- и И4- 1.424.3-7.5-32КМ Размеры деталей, сварных швов и массы подкрановых частей колонн марок И5-; И6- и И7- 1.424.3-7.5-33КМ Размеры деталей, сварных швов и массы подкрановых частей колонн марок И8-; И9- и И10- 1.424.3-7.5-34КМ Размеры деталей, сварных швов и массы подкрановых частей колонн марок И11-; И12- и И13- 1.424.3-7.5-35КМ Размеры деталей, сварных швов и массы подкрановых частей колонн марок И14-; И15- и И16- 1.424.3-7.5-36КМ Размеры деталей, сварных швов и массы подкрановых частей колонн марок И17- и И18- 1.424.3-7.5-37КМ Размеры деталей, сварных швов и массы подкрановых частей колонн марок И19- и И20- 1.424.3-7.5-38КМ Размеры деталей, сварных швов и массы подкрановых частей колонн марок И21-; И22- и И23- 1.424.3-7.5-39КМ Размеры деталей, сварных швов и массы подкрановых частей колонн марок И24-; И25- и И26- 1.424.3-7.5-40КМ Размеры деталей, сварных швов и массы подкрановых частей колонн марок К1- и К2- 1.424.3-7.5-41КМ Размеры деталей, сварных швов и массы подкрановых частей колонн марок К3- и К4- 1.424.3-7.5-42КМ Размеры деталей, сварных швов и массы подкрановых частей колонн марок К5- и К6- 1.424.3-7.5-43КМ Размеры деталей, сварных швов и массы подкрановых частей колонн марок К7- и К8- 1.424.3-7.5-44КМ Размеры деталей, сварных швов и массы подкрановых частей колонн марок К9-; К10- и К11- 1.424.3-7.5-45КМ Размеры деталей, сварных швов и массы подкрановых частей колонн марок К12- и К13- 1.424.3-7.5-46КМ Сортамент подкрановых связей 1.424.3-7.5-47КМ Сортамент подкрановых связей по крайнему ряду колонн с шагом 12 м 1.424.3-7.5-48КМ Сортамент подкрановых связей по крайнему ряду колонн с шагом 6 м 1.424.3-7.5-49КМ Сортамент подкрановых связей по среднему ряду колонн 1.424.3-7.5-50КМ Спецификация стали для подкрановых частей колонн марок от А1- до А6- и Б1- 1.424.3-7.5-51КМ Спецификация стали для подкрановых частей колонн марок Б2-; Б3-; В1-; В2- и В3- 1.424.3-7.5-52КМ Спецификация стали для подкрановых частей колонн марок от Д1- до Д7- 1.424.3-7.5-53КМ Спецификация стали для подкрановых частей колонн марок от Д8- до Д13- 1.424.3-7.5-54КМ Спецификация стали для подкрановых частей колонн марок от Д14- до Д17- 1.424.3-7.5-55КМ Спецификация стали для подкрановых частей колонн марок от Д18- до Д21- 1.424.3-7.5-56КМ Спецификация стали для подкрановых частей колонн марок от Д22- до Д26- 1.424.3-7.5-57КМ Спецификация стали для подкрановых частей колонн марок от Е1- до Е4- 1.424.3-7.5-58КМ Спецификация стали для подкрановых частей колонн марок от Е5- до Е8- 1.424.3-7.5-59КМ Спецификация стали для подкрановых частей колонн марок от Е9- до Е13- 1.424.3-7.5-60КМ Спецификация стали для подкрановых частей колонн марок от И1- до И7- 1.424.3-7.5-61КМ Спецификация стали для подкрановых частей колонн марок от И8- до И13- 1.424.3-7.5-62КМ Спецификация стали для подкрановых частей колонн марок от И14- до И17- 1.424.3-7.5-63КМ Спецификация стали для подкрановых частей колонн марок от И18- до И21- 1.424.3-7.5-64КМ Спецификация стали для подкрановых частей колонн марок от И22- до И26- 1.424.3-7.5-65КМ Спецификация стали для подкрановых частей колонн марок от К1- до К4- 1.424.3-7.5-66КМ Спецификация стали для подкрановых частей колонн марок от К5- до К8- 1.424.3-7.5-67КМ Спецификация стали для подкрановых частей колонн марок от К9- до К13- 1.424.3-7.5-68КМ Спецификация стали для связей марок от С1 до С49 1.424.3-7.5-71КМ Спецификация стали для связей марок от С50 до С66 1.424.3-7.5-70КМ Спецификация стали для связей марок от С67 до С87 и С89 |



