Скачать Серия 1.411.1-2/91 Выпуск 1. Материалы для проектированияДата актуализации: 01.01.2021
|
| Обозначение: | Серия 1.411.1-2/91 |
| Обозначение англ: | Series 1.411.1-2/91 |
| Статус: | не определен законодательством |
| Название рус.: | Выпуск 1. Материалы для проектирования |
| Дата добавления в базу: | 01.09.2013 |
| Дата актуализации: | 01.01.2021 |
| Дата введения: | 01.10.1991 |
| Дата окончания срока действия: | 30.06.2003 |
| Область применения: | Серия 1.411.1-2/91 содержит проектную документацию на свайные фундаменты под железобетонные колонны каркасов многоэтажных производственных зданий |
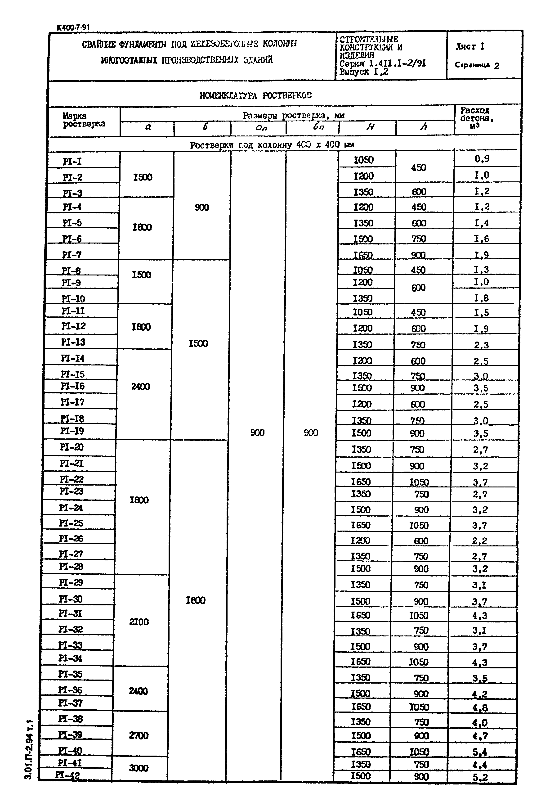
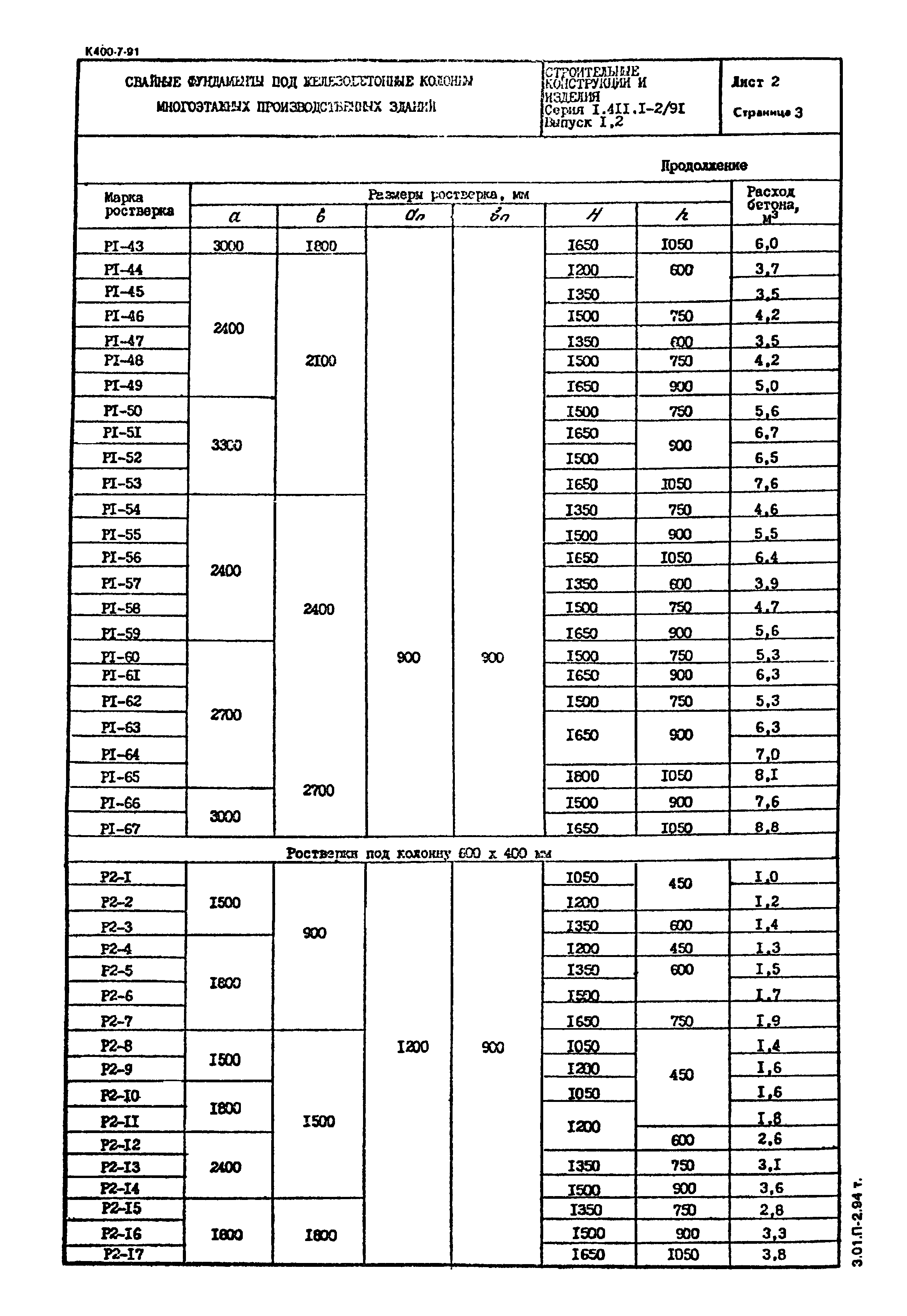
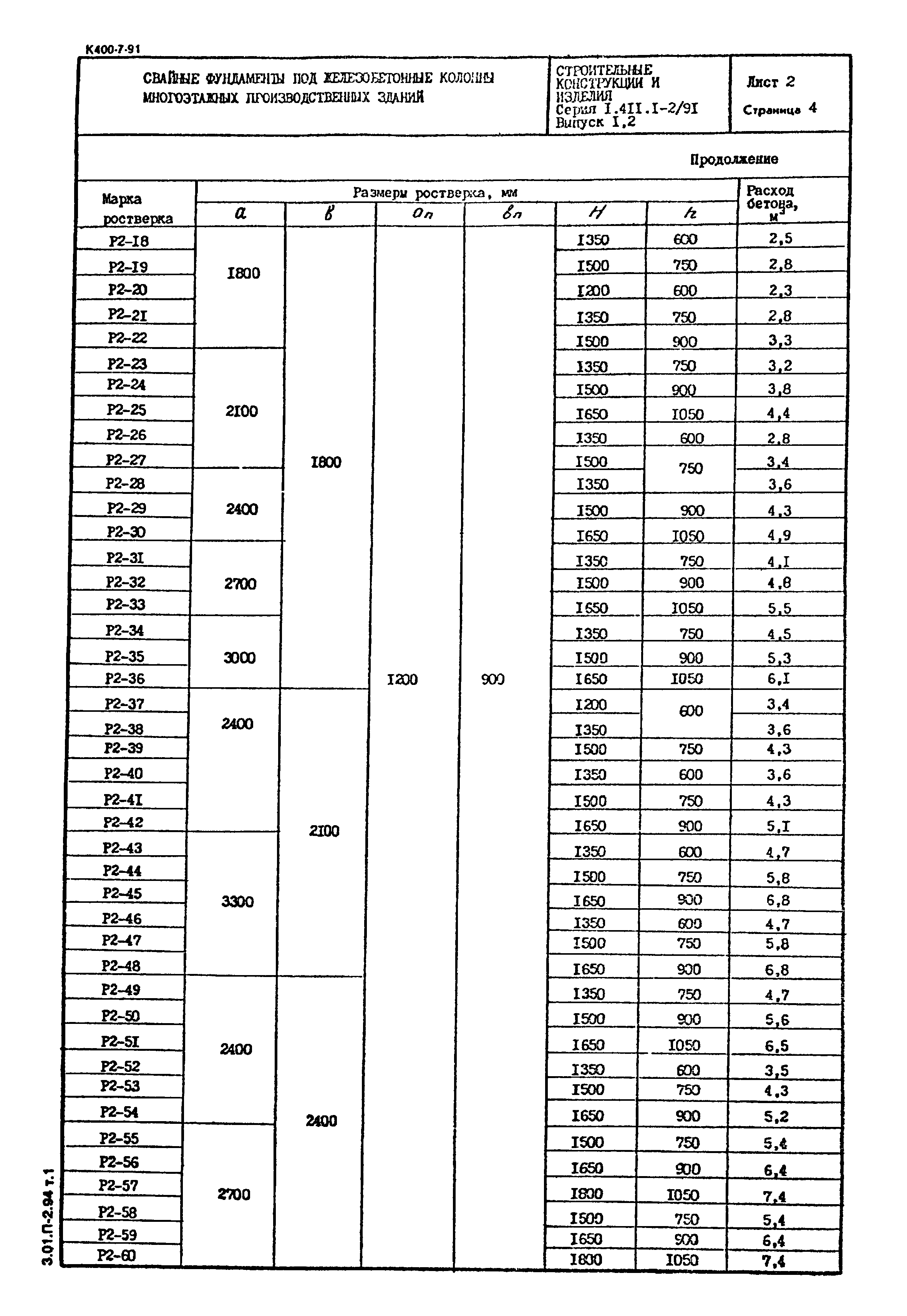
| Оглавление: | 1.411.1-2/91.1-ПЗ Пояснительная записка 1.411.1-2/91.1-СМ Номограммы для определения марки куста свай под рядовые колонны по заданным расчетным нагрузкам 1.411.1-2/91.1-1 Планы кустов свай сечением 300х300 мм 1.411.1-2/91.1-2 Планы кустов свай сечением 350х350 мм 1.411.1-2/91.1-3 Планы кустов свай сечением 400х400 мм 1.411.1-2/91.1-4 Планы дополнительных кустов сечением 300х300, 350х350 и 400х400 мм под колонны у температурного шва 1.411.1-2/91.1-5 Ростверки под рядовую колонну сечением 400х400 мм 1.411.1-2/91.1-6 Ростверки под рядовую колонну сечением 600х400 мм 1.411.1-2/91.1-7 Ростверки под колонны сечением 400х300 мм у температурного шва 1.411.1-2/91.1-8 Ростверки под колонны сечением 600х300 мм у температурного шва 1.411.1-2/91.1-9 Армирование ростверков 1.411.1-2/91.1-10 Схема расположения арматурных сеток по подошвам ростверков 1.411.1-2/91.1-11 Ключ для определения марки сеток ГОСТ 23179-85 1.411.1-2/91.1-12 Пример решения свайных фундаментов в районах с расчетной сейсмичностью 7…9 баллов |
| Список изменений: |
|






Текстовое изменение № 1 от 01.10.1984



Текстовое изменение № 2 от 01.07.1986


Текстовое изменение № 3 от 01.07.1987





Текстовое изменение № 4 от 01.01.1989
Текстовое изменение № 5 от 01.01.1990






