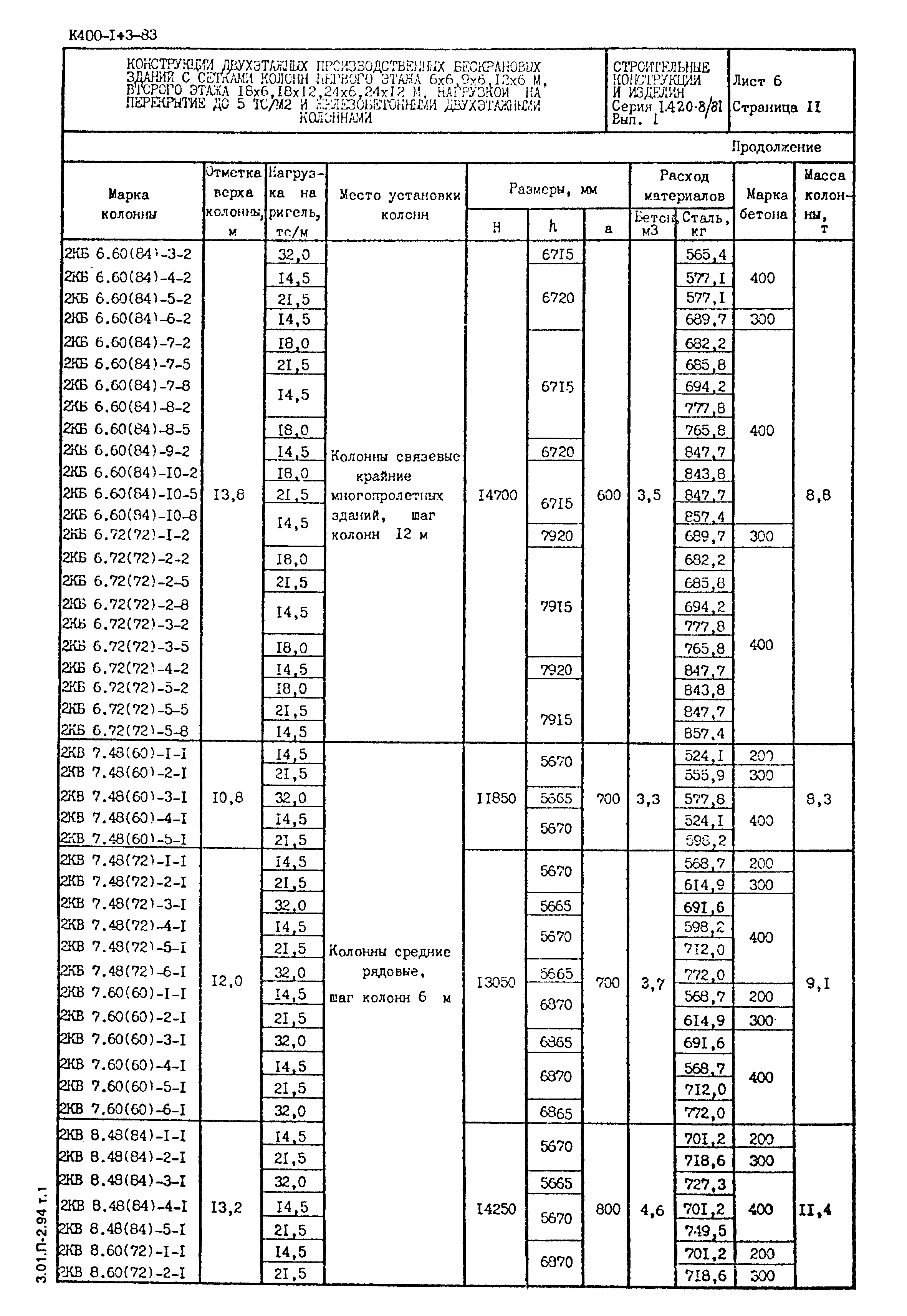
Скачать Серия 1.420-8/81 Выпуск 1. Колонны железобетонные двухэтажные для зданий высотой 10,8; 12,0; 13,2 и 14,4 м. Рабочие чертежиДата актуализации: 01.01.2021 Серия 1.420-8/81
Выпуск 1. Колонны железобетонные двухэтажные для зданий высотой 10,8; 12,0; 13,2 и 14,4 м. Рабочие чертежи| Обозначение: | Серия 1.420-8/81 | | Обозначение англ: | Series 1.420-8/81 | | Статус: | действует | | Название рус.: | Выпуск 1. Колонны железобетонные двухэтажные для зданий высотой 10,8; 12,0; 13,2 и 14,4 м. Рабочие чертежи | | Дата добавления в базу: | 01.09.2013 | | Дата актуализации: | 01.01.2021 | | Дата введения: | 01.03.1983 |
              
|