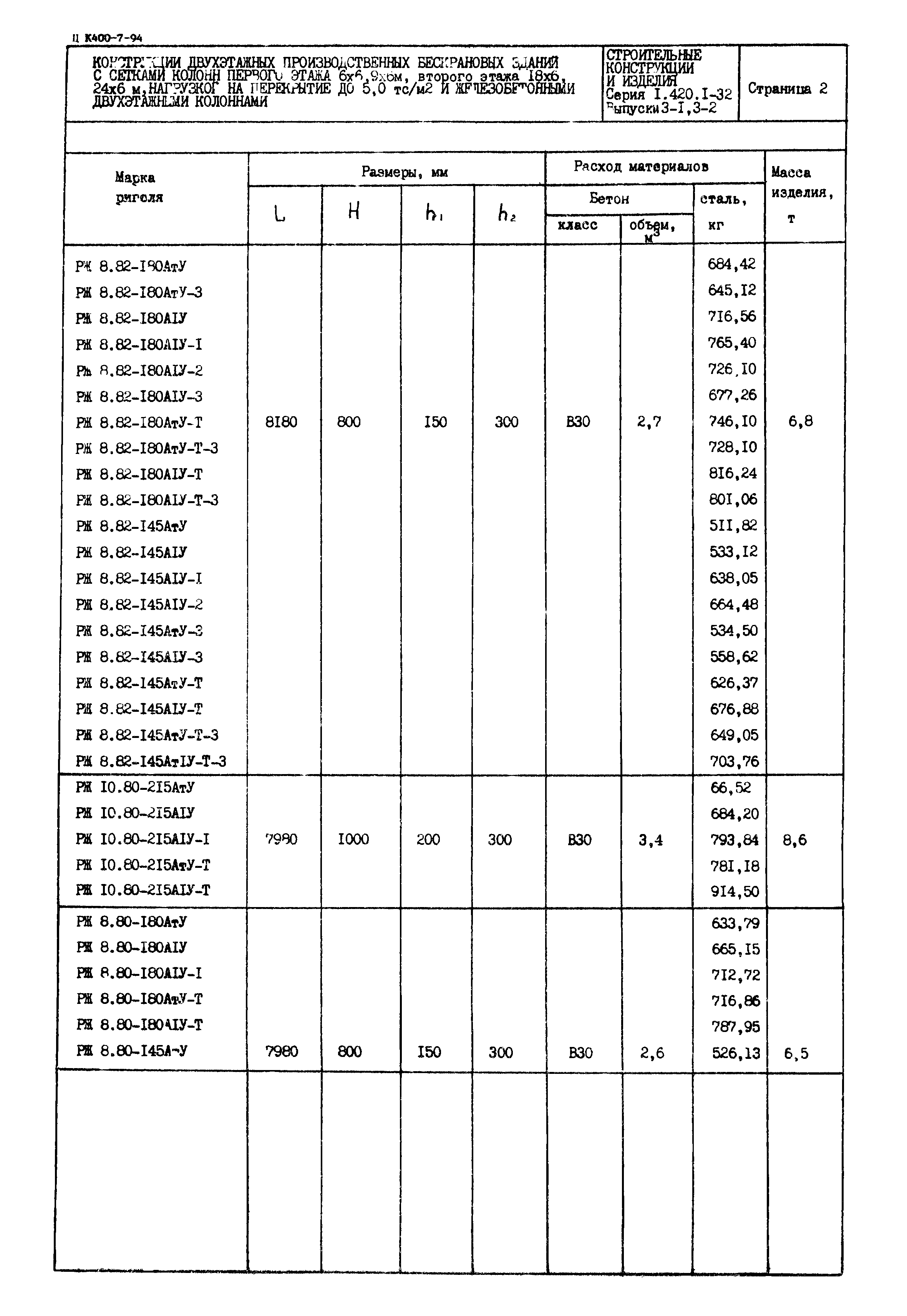
Скачать Серия 1.420.1-32 Выпуск 3-1. Ригели пролетом 6 и 9 м. Рабочие чертежиДата актуализации: 01.01.2021
|
| Обозначение: | Серия 1.420.1-32 |
| Обозначение англ: | Series 1.420.1-32 |
| Статус: | не определен законодательством |
| Название рус.: | Выпуск 3-1. Ригели пролетом 6 и 9 м. Рабочие чертежи |
| Дата добавления в базу: | 01.09.2013 |
| Дата актуализации: | 01.01.2021 |
| Дата введения: | 01.01.1994 |
| Дата окончания срока действия: | 30.06.2003 |



