Скачать Серия 1.041.1-5 Выпуск 12.1-1. Плиты длиной 5650 и шириной 940 мм с напрягаемой арматурой из стали классов А-IIIв, А-IV и Ат-V, связевые, из тяжелого бетона, метод натяжения - электротермический. Рабочие чертежиДата актуализации: 01.01.2021
|
| Обозначение: | Серия 1.041.1-5 |
| Обозначение англ: | Series 1.041.1-5 |
| Статус: | не определен законодательством |
| Название рус.: | Выпуск 12.1-1. Плиты длиной 5650 и шириной 940 мм с напрягаемой арматурой из стали классов А-IIIв, А-IV и Ат-V, связевые, из тяжелого бетона, метод натяжения - электротермический. Рабочие чертежи |
| Дата добавления в базу: | 01.09.2013 |
| Дата актуализации: | 01.01.2021 |
| Дата введения: | 01.03.1994 |
| Дата окончания срока действия: | 30.06.2003 |
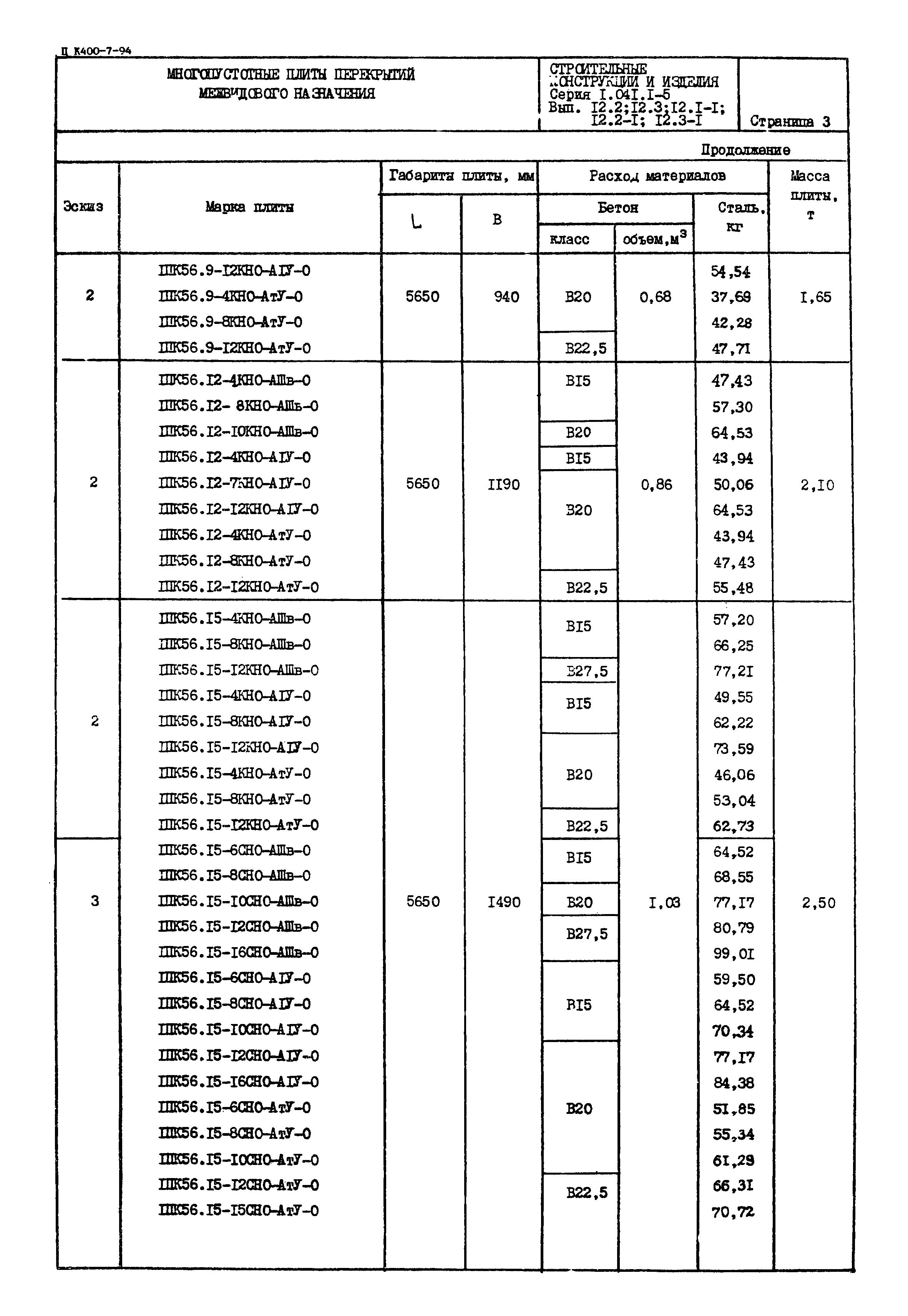
| Область применения: | Выпуск содержит рабочие чертежи связевых плит длиной 5650 мм и шириной 940 мм, отличающихся по потребительским свойствам несущей способностью, по изготовлению видом и классом предварительно напрягаемой арматуры, т.е. вариантом используемых основных материалов, который выбирается заводом изготовителем. |
| Оглавление: | Пояснительная записка Плита 1ПК 56.10. Опалубочный чертеж Плита 1ПК 56.10. Армирование Каркас КР14 Каркас КС8 Сетка СР1-1 Сетка СВ1 Петля ПС1 Ведомость расхода стали, кг |




