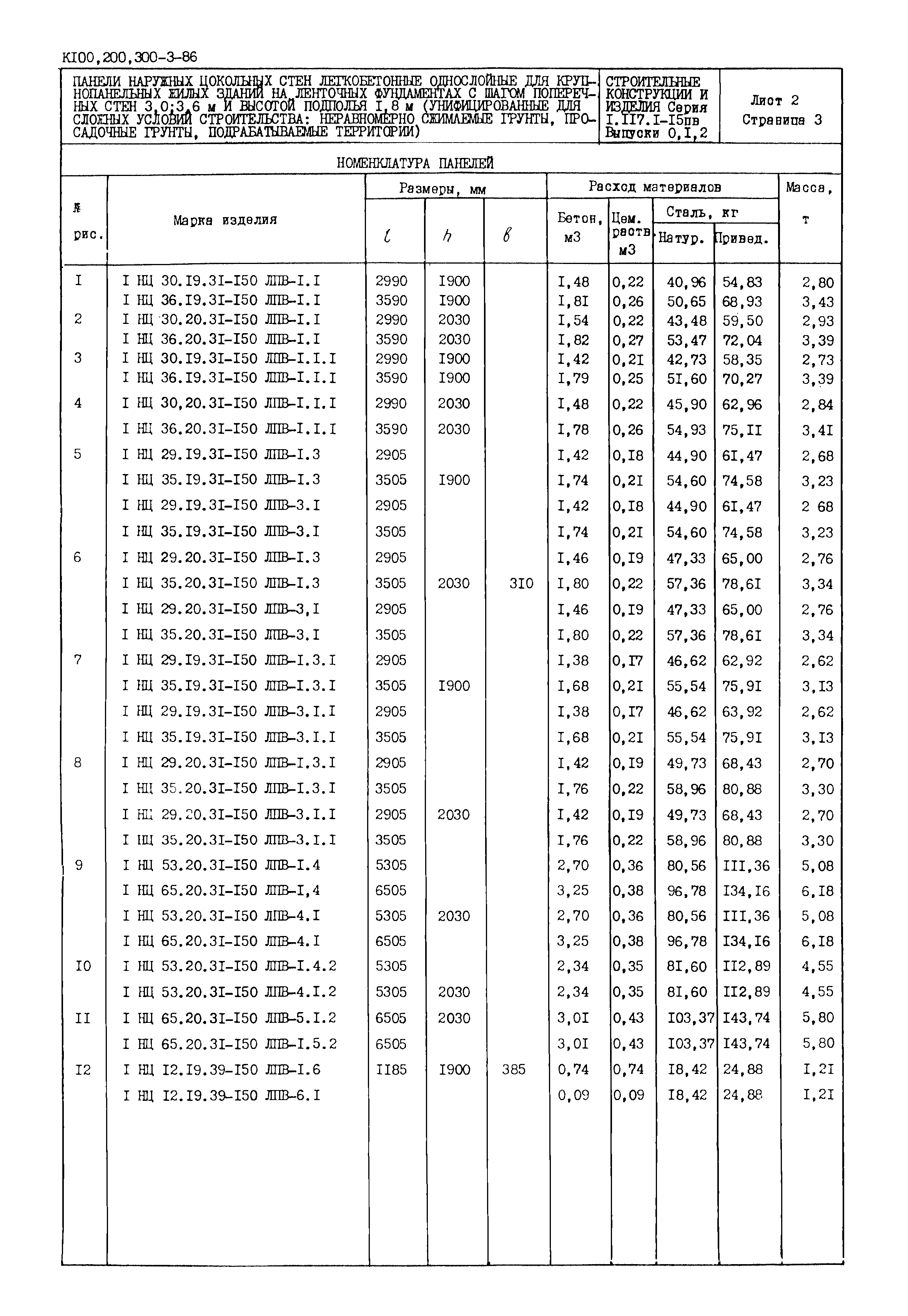
Скачать Серия 1.117.1-15пв Панели наружных цокольных стен легкобетонные однослойные для крупнопанельных жилых зданий на ленточных фундаментах с шагом поперечных стен 3,0; 3,6 м и высотой подполья 1,8 м (унифицированные для сложных условий строительства: неравномерно сжимаемые грунты, просадочные грунты, подрабатываемые территории)Дата актуализации: 01.01.2021 Серия 1.117.1-15пв
Панели наружных цокольных стен легкобетонные однослойные для крупнопанельных жилых зданий на ленточных фундаментах с шагом поперечных стен 3,0; 3,6 м и высотой подполья 1,8 м (унифицированные для сложных условий строительства: неравномерно сжимаемые грунты, просадочные грунты, подрабатываемые территории)| Обозначение: | Серия 1.117.1-15пв | | Обозначение англ: | Series 1.117.1-15пв | | Статус: | действует | | Название рус.: | Панели наружных цокольных стен легкобетонные однослойные для крупнопанельных жилых зданий на ленточных фундаментах с шагом поперечных стен 3,0; 3,6 м и высотой подполья 1,8 м (унифицированные для сложных условий строительства: неравномерно сжимаемые грунты, просадочные грунты, подрабатываемые территории) | | Дата добавления в базу: | 01.09.2013 | | Дата актуализации: | 01.01.2021 | | Дата введения: | 20.12.1985 |
  
|