Скачать Серия 1.119.1-1м Комплексные плиты перекрытий над холодным подпольем крупнопанельных жилых зданий для строительства на вечномерзлых грунтах в I климатическом районеДата актуализации: 01.01.2021 Серия 1.119.1-1м
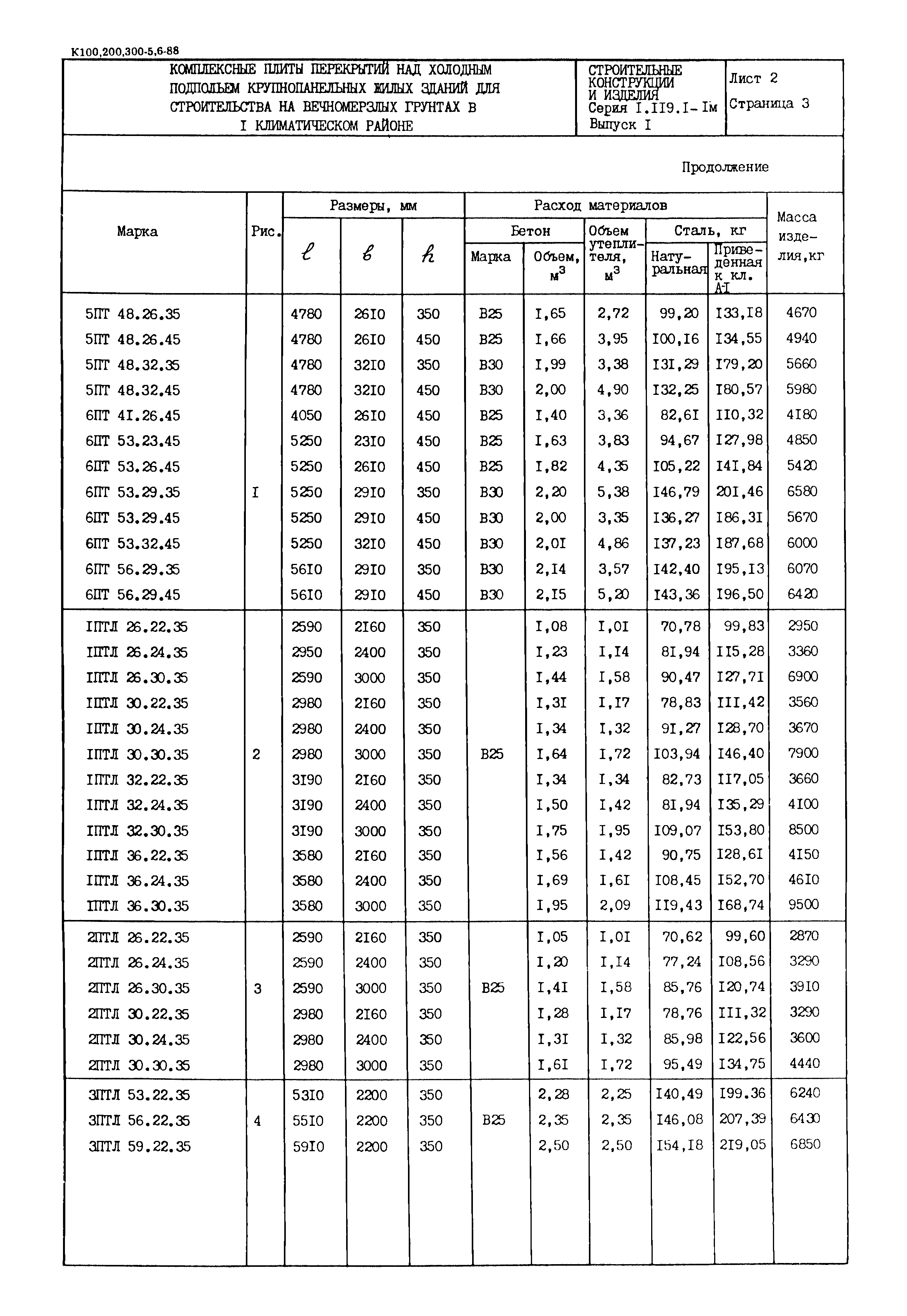
Комплексные плиты перекрытий над холодным подпольем крупнопанельных жилых зданий для строительства на вечномерзлых грунтах в I климатическом районе| Обозначение: | Серия 1.119.1-1м | | Обозначение англ: | Series 1.119.1-1м | | Статус: | действует | | Название рус.: | Комплексные плиты перекрытий над холодным подпольем крупнопанельных жилых зданий для строительства на вечномерзлых грунтах в I климатическом районе | | Дата добавления в базу: | 01.09.2013 | | Дата актуализации: | 01.01.2021 | | Дата введения: | 15.02.1988 | | Список изменений: | |
  
|