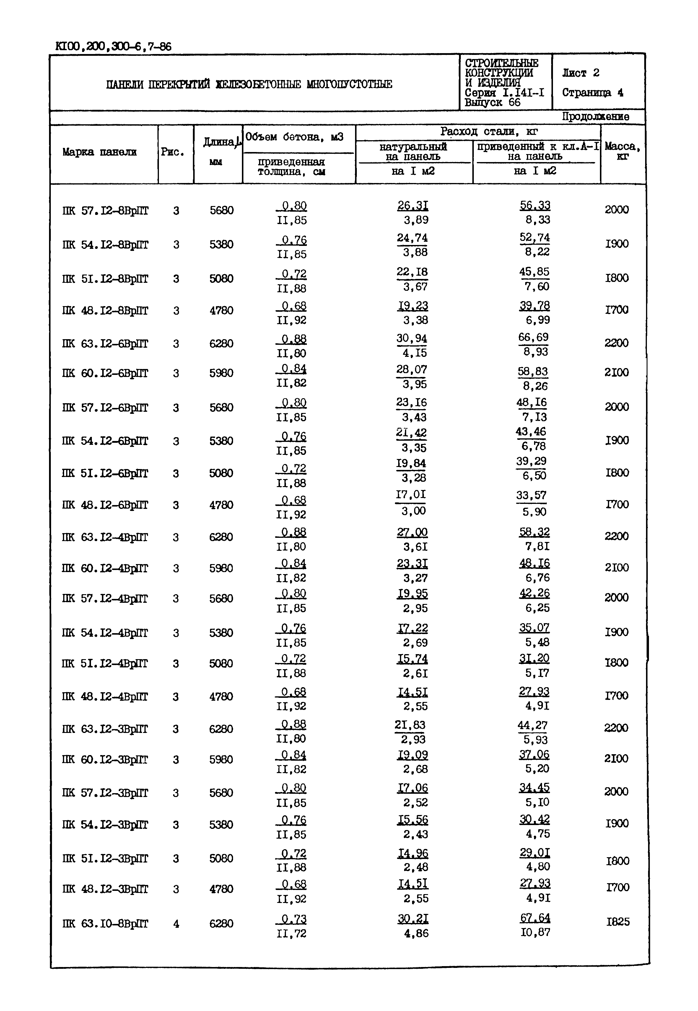
Скачать Серия 1.141-1 Выпуск 66. Предварительно напряженные панели с круглыми пустотами длиной 6280, 5980, 5680, 5380, 5080 и 4780 мм, шириной 1790, 1490, 1190 и 990 мм, армированные высокопрочной арматурной проволокой класса Вр-II. Метод натяжения - электротермическийДата актуализации: 01.01.2021
|
| Обозначение: | Серия 1.141-1 |
| Обозначение англ: | Series 1.141-1 |
| Статус: | действует |
| Название рус.: | Выпуск 66. Предварительно напряженные панели с круглыми пустотами длиной 6280, 5980, 5680, 5380, 5080 и 4780 мм, шириной 1790, 1490, 1190 и 990 мм, армированные высокопрочной арматурной проволокой класса Вр-II. Метод натяжения - электротермический |
| Дата добавления в базу: | 01.09.2013 |
| Дата актуализации: | 01.01.2021 |
| Дата введения: | 15.04.1986 |
| Оглавление: | 1.141-1.66 000ТО Техническое описание 1.141-1.66 100 Панель перекрытия многопустотная шириной 1790 мм 1.141-1.66 100СБ Панель перекрытия многопустотная шириной 1790 мм. Сборочный чертеж 1.141-1.66 200 Панель перекрытия многопустотная шириной 1490 мм 1.141-1.66 200СБ Панель перекрытия многопустотная шириной 1490 мм. Сборочный чертеж 1.141-1.66 300 Панель перекрытия многопустотная шириной 1190 мм 1.141-1.66 300СБ Панель перекрытия многопустотная шириной 1190 мм. Сборочный чертеж 1.141-1.66 400 Панель перекрытия многопустотная шириной 990 мм 1.141-1.66 400СБ Панель перекрытия многопустотная шириной 990 мм. Сборочный чертеж 1.141-1.66 110 Каркас (КР1… КР3) 1.141-1.66 110СБ Каркас (КР1… КР3). Сборочный чертеж 1.141-1.66 120 Каркас (КР4… КР5) 1.141-1.66 120СБ Каркас (КР4… КР5). Сборочный чертеж 1.141-1.66 130 Сетка (С1… С4) 1.141-1.66 130СБ Сетка (С1… С4). Сборочный чертеж 1.141-1.66 140 Сетка С5 1.141-1.66 150 Сетка (С6… С11) 1.141-1.66 210 Сетка (С12… С17) 1.141-1.66 310 Сетка (С18… С23) 1.141-1.66 410 Сетка (С24… С29) 1.141-1.66 101 Стержень напрягаемый (Т1… Т6) 1.141-1.66 102 Петля (П1… П3) 1.141-1.66 000РС Ведомость расхода стали на элемент 1.141-1.66 000РМ Ведомость расхода материалов |










