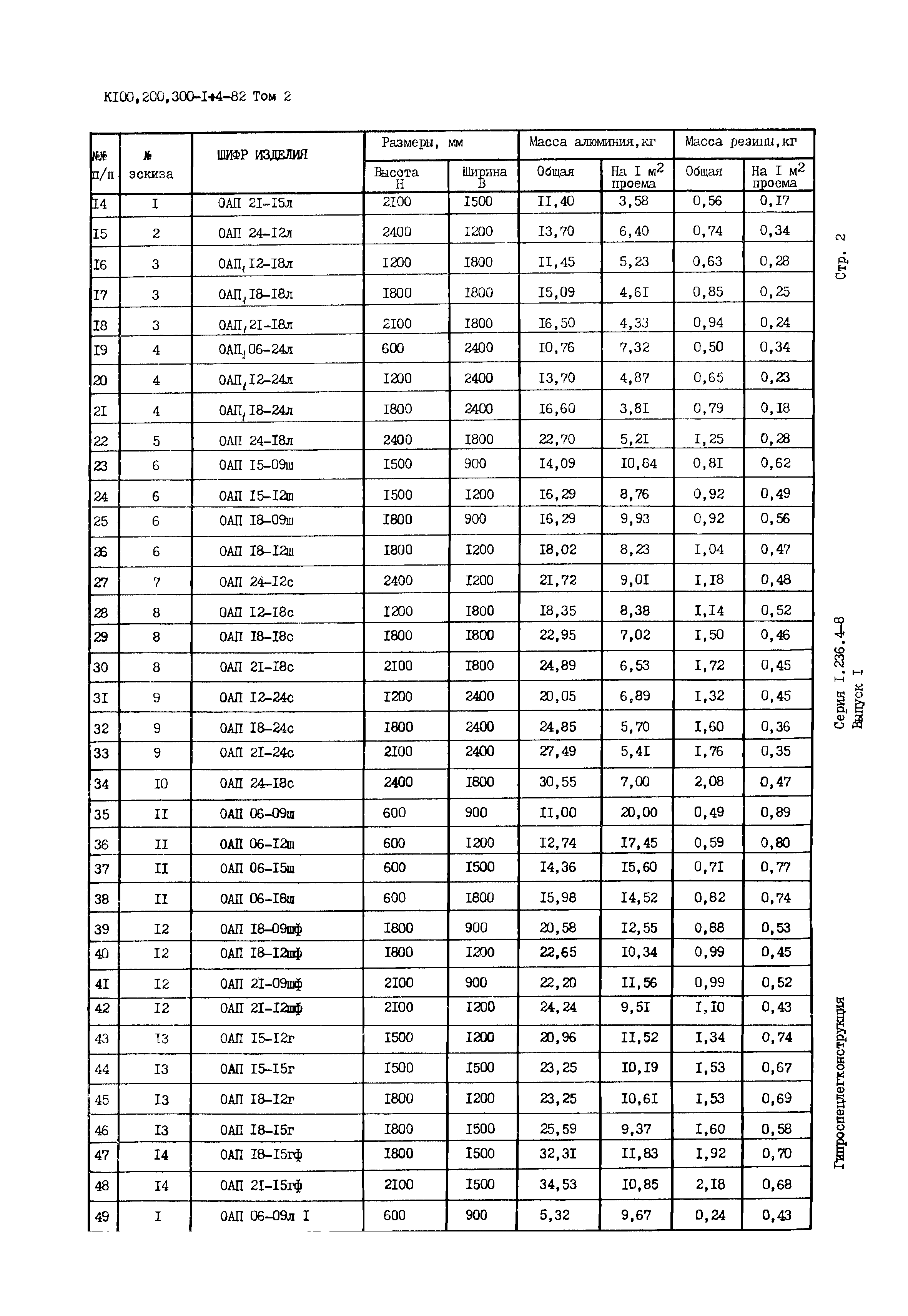
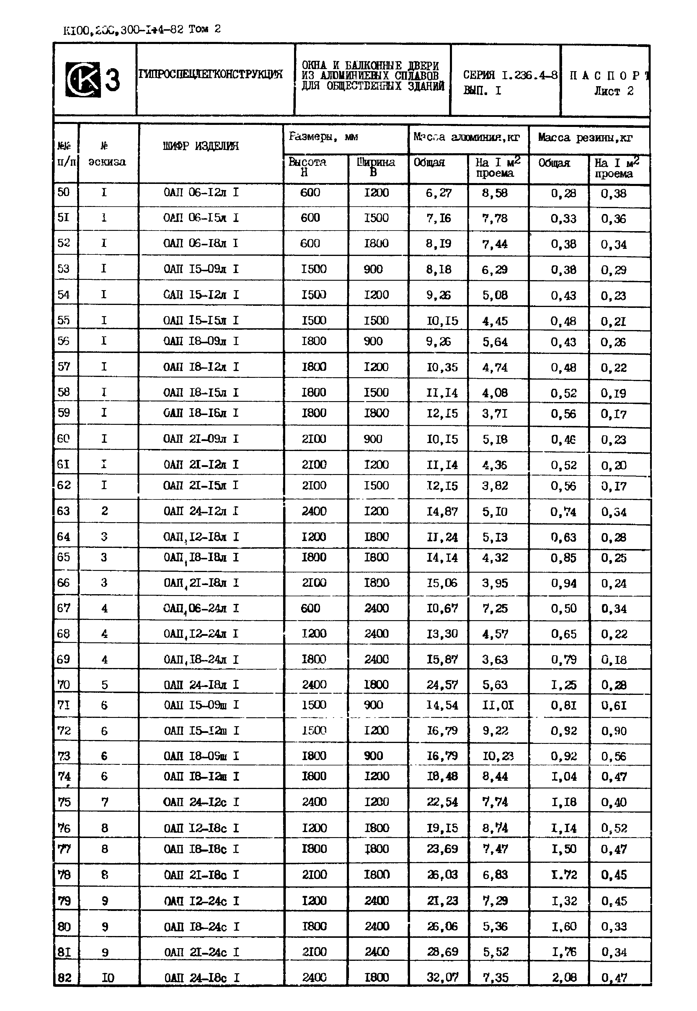
Скачать Серия 1.236.4-8 Выпуск 1. Окна и балконные двери с одинарным и двойным остеклением (стеклопакет) в одинарном переплете. Чертежи КМДата актуализации: 01.01.2021 Серия 1.236.4-8
Выпуск 1. Окна и балконные двери с одинарным и двойным остеклением (стеклопакет) в одинарном переплете. Чертежи КМ| Обозначение: | Серия 1.236.4-8 | | Обозначение англ: | Series 1.236.4-8 | | Статус: | не определен законодательством | | Название рус.: | Выпуск 1. Окна и балконные двери с одинарным и двойным остеклением (стеклопакет) в одинарном переплете. Чертежи КМ | | Дата добавления в базу: | 01.09.2013 | | Дата актуализации: | 01.01.2021 | | Дата введения: | 01.10.1981 | | Дата окончания срока действия: | 30.06.2003 |
    
|