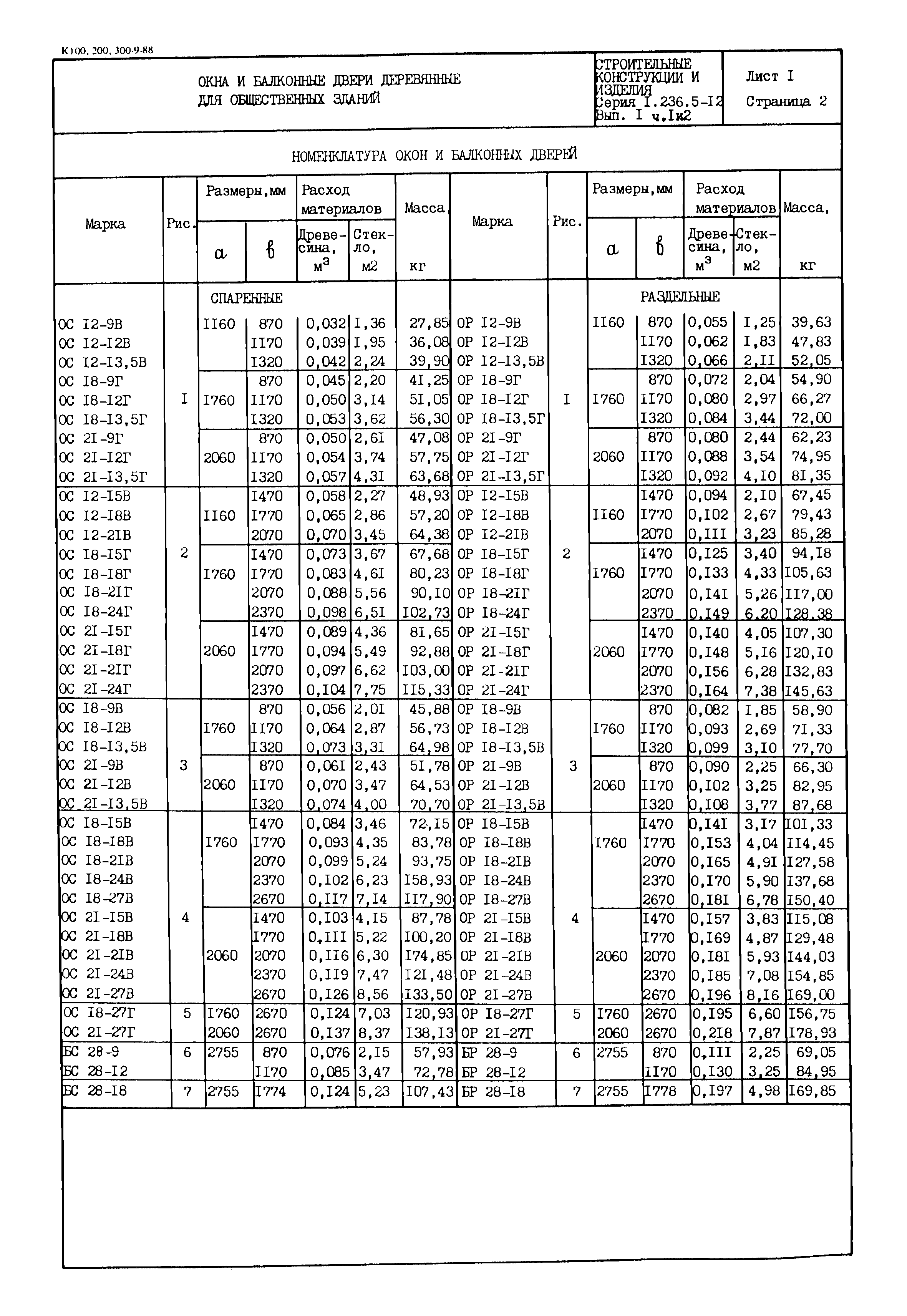
Скачать Серия 1.236.5-12 Выпуск 1. Часть 1. Окна и балконные двери со спаренными и раздельными переплетами и полотнами по ГОСТ 11214-86. Рабочие чертежиДата актуализации: 01.01.2021 Серия 1.236.5-12
Выпуск 1. Часть 1. Окна и балконные двери со спаренными и раздельными переплетами и полотнами по ГОСТ 11214-86. Рабочие чертежи| Обозначение: | Серия 1.236.5-12 | | Обозначение англ: | Series 1.236.5-12 | | Статус: | не определен законодательством | | Название рус.: | Выпуск 1. Часть 1. Окна и балконные двери со спаренными и раздельными переплетами и полотнами по ГОСТ 11214-86. Рабочие чертежи | | Дата добавления в базу: | 01.09.2013 | | Дата актуализации: | 01.01.2021 | | Дата введения: | 01.06.1988 | | Дата окончания срока действия: | 30.06.2003 |
 
|