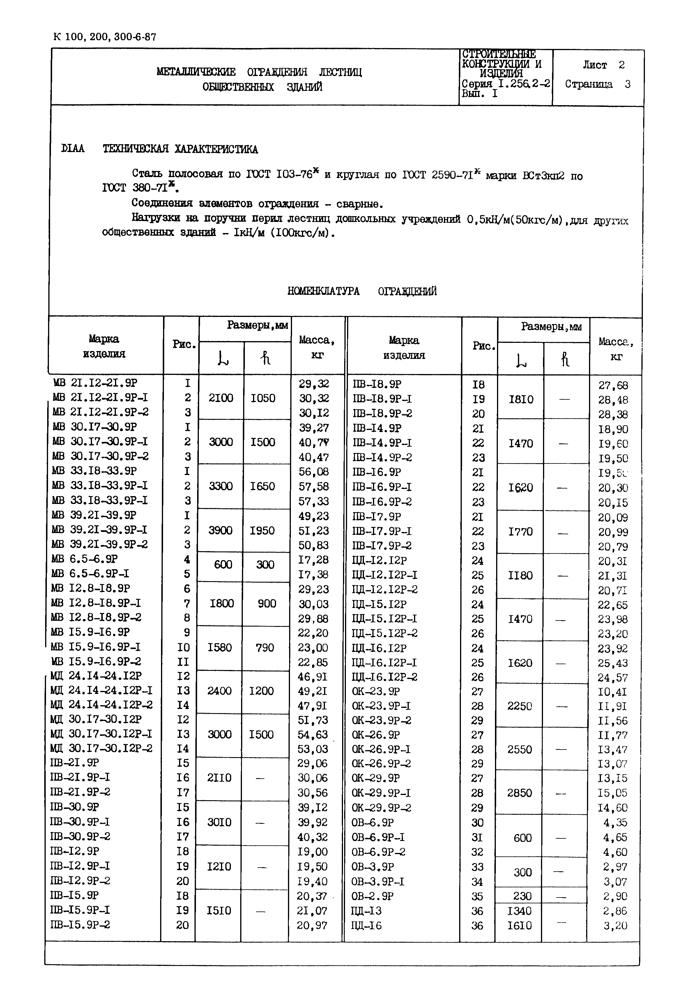
Скачать Серия 1.256.2-2 Металлические ограждения лестниц общественных зданийДата актуализации: 01.01.2021
|
| Обозначение: | Серия 1.256.2-2 |
| Обозначение англ: | Series 1.256.2-2 |
| Статус: | не определен законодательством |
| Название рус.: | Металлические ограждения лестниц общественных зданий |
| Дата добавления в базу: | 01.09.2013 |
| Дата актуализации: | 01.01.2021 |
| Дата введения: | 01.04.1987 |
| Дата окончания срока действия: | 30.06.2003 |




