Скачать Серия 1.411.1-10.93 Сваи-колонны железобетонные для одноэтажных производственных зданий высотой до 7,2 мДата актуализации: 01.01.2021 Серия 1.411.1-10.93
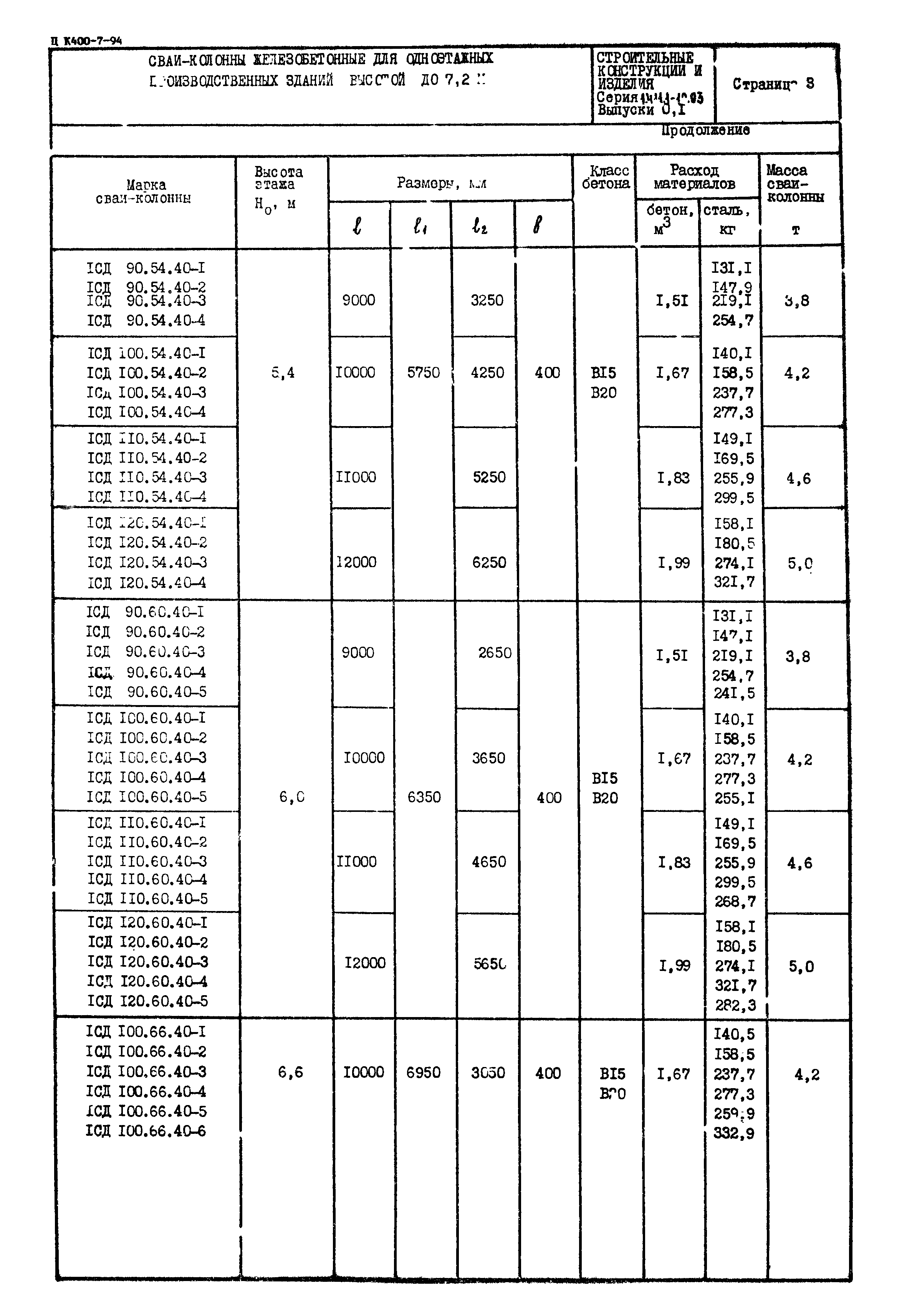
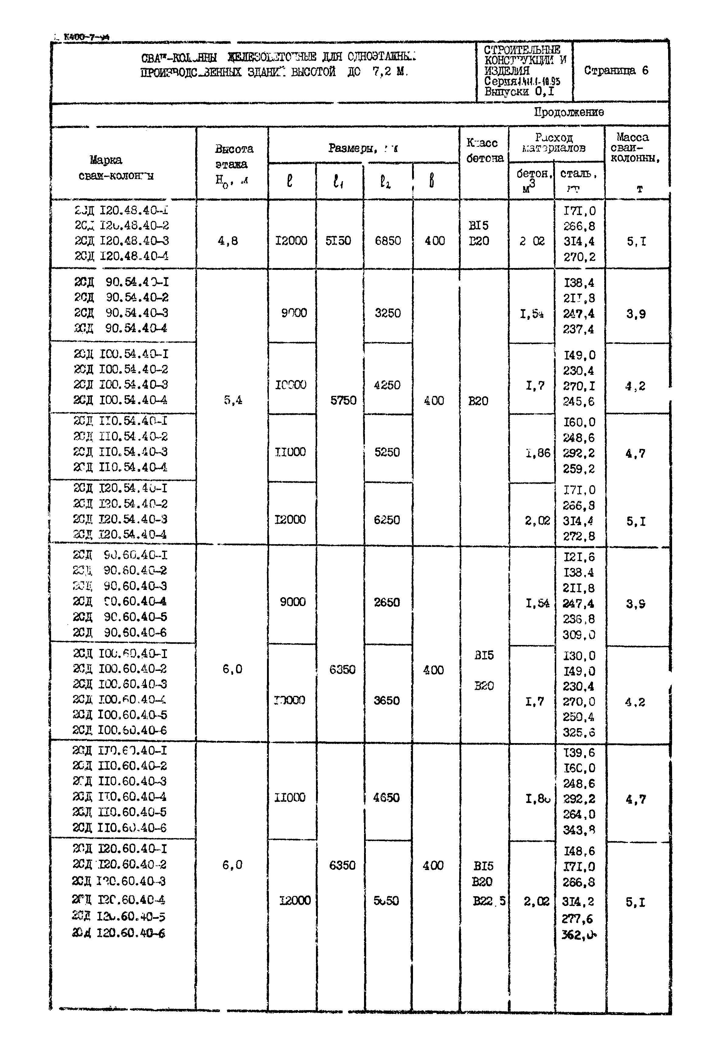
Сваи-колонны железобетонные для одноэтажных производственных зданий высотой до 7,2 м| Обозначение: | Серия 1.411.1-10.93 | | Обозначение англ: | Series 1.411.1-10.93 | | Статус: | не определен законодательством | | Название рус.: | Сваи-колонны железобетонные для одноэтажных производственных зданий высотой до 7,2 м | | Дата добавления в базу: | 01.09.2013 | | Дата актуализации: | 01.01.2021 | | Дата введения: | 01.07.1994 | | Дата окончания срока действия: | 30.06.2003 | | Область применения: | Свая-колонны предназначены для одноэтажных производственных зданий в качестве конструкций, совмещающих функции колонн и фундаментов.
Сваи-колонны запроектированы сечением 300x300 мм и 400x400 мм и могут применятьоя з зданиях о плоской и скатной кровлей со следующими конструкциями покрытия:
- железобетонные плиты по железобетонным строгальным конструкциям;
- железобетонные плиты по стальным фермам;
- легкие конструкции покрытия по стальным или деревометаллическим стропильным конструкциям. |
      
|