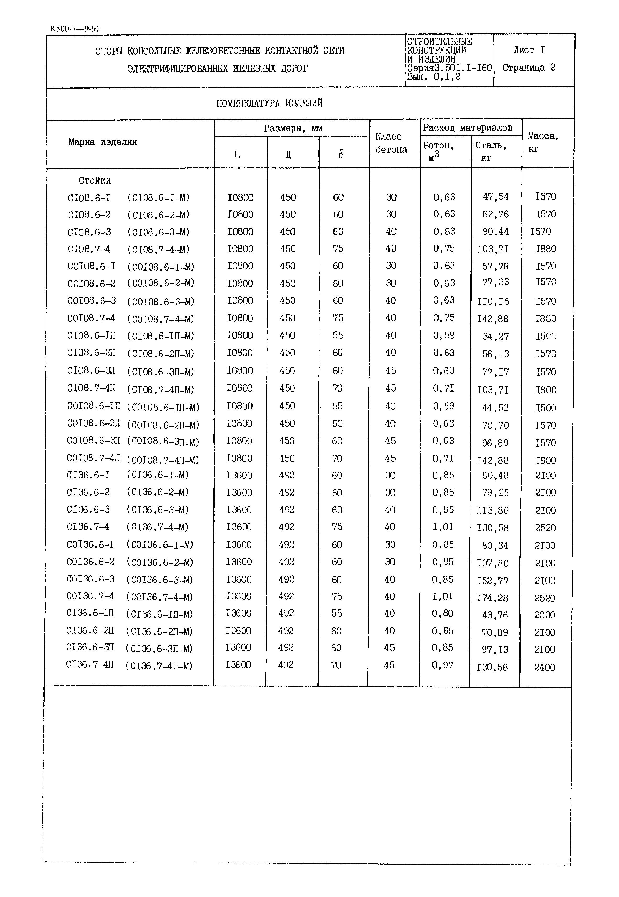
Скачать Серия 3.501.1-160 Опоры консольные железобетонные контактной сети электрифицированных железных дорогДата актуализации: 01.01.2021 Серия 3.501.1-160
Опоры консольные железобетонные контактной сети электрифицированных железных дорог| Обозначение: | Серия 3.501.1-160 | | Обозначение англ: | Series 3.501.1-160 | | Статус: | не определен законодательством | | Название рус.: | Опоры консольные железобетонные контактной сети электрифицированных железных дорог | | Дата добавления в базу: | 01.09.2013 | | Дата актуализации: | 01.01.2021 | | Дата введения: | 01.01.1992 | | Дата окончания срока действия: | 30.06.2003 |
  
|