Скачать Серия 5.904-65 Шиберующие воздушные завесы для ворот промышленных зданийДата актуализации: 01.01.2021
|
| Обозначение: | Серия 5.904-65 |
| Обозначение англ: | Series 5.904-65 |
| Статус: | не определен законодательством |
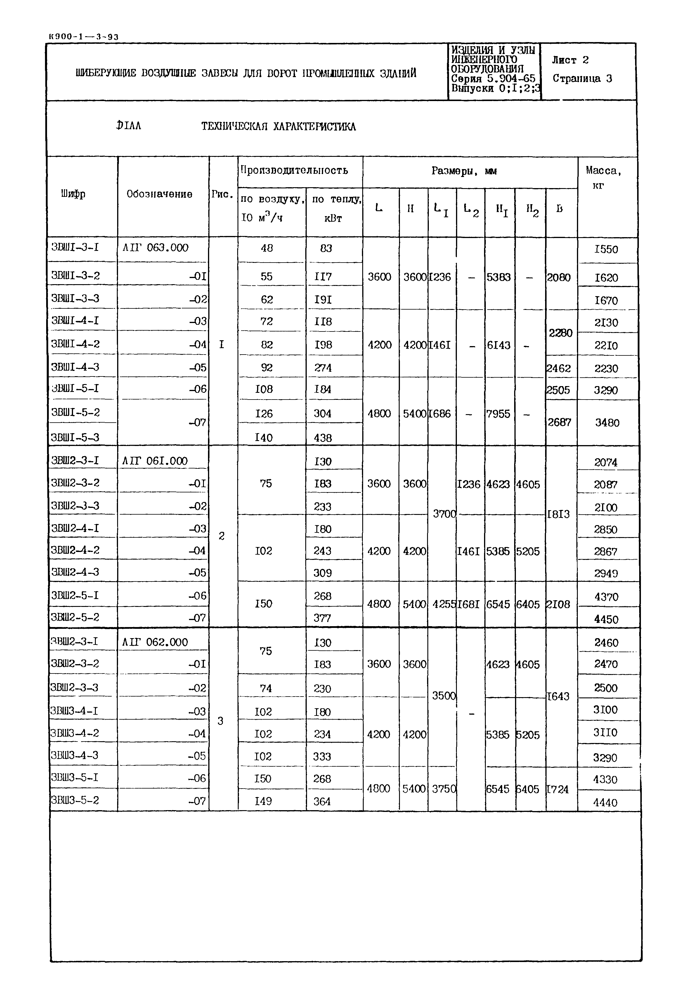
| Название рус.: | Шиберующие воздушные завесы для ворот промышленных зданий |
| Дата добавления в базу: | 01.09.2013 |
| Дата актуализации: | 01.01.2021 |
| Дата введения: | 20.03.1993 |
| Дата окончания срока действия: | 30.06.2003 |



