Скачать Серия 5.904-75.94 Камеры приточные вентиляционные производительностью от 10 до 125 тыс. куб. м/чДата актуализации: 01.01.2021 Серия 5.904-75.94
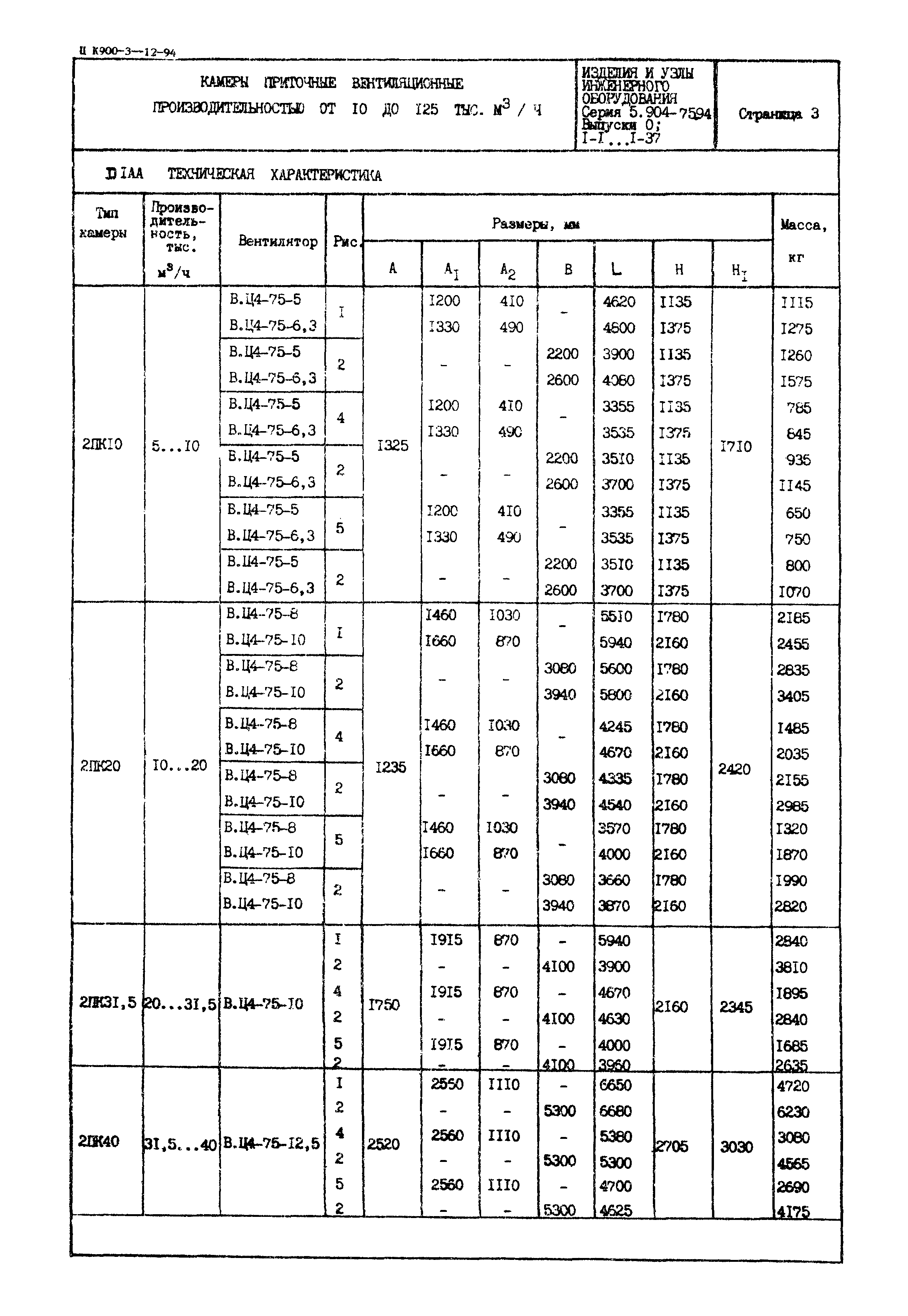
Камеры приточные вентиляционные производительностью от 10 до 125 тыс. куб. м/ч| Обозначение: | Серия 5.904-75.94 | | Обозначение англ: | Series 5.904-75.94 | | Статус: | не определен законодательством | | Название рус.: | Камеры приточные вентиляционные производительностью от 10 до 125 тыс. куб. м/ч | | Дата добавления в базу: | 01.09.2013 | | Дата актуализации: | 01.01.2021 | | Дата введения: | 30.06.1994 | | Дата окончания срока действия: | 30.06.2003 | | Список изменений: | |
     
Текстовое изменение поправка
|