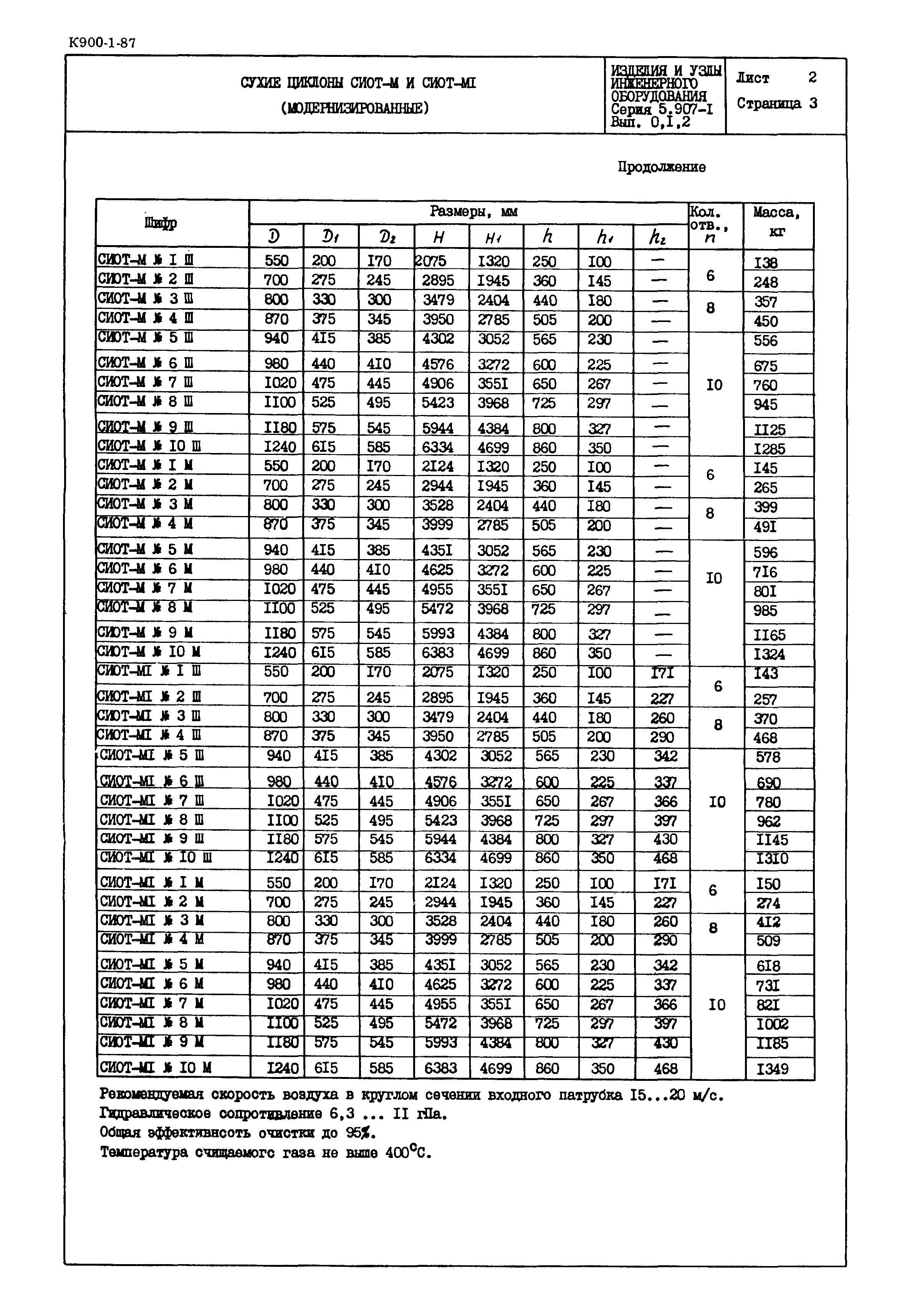
Скачать Серия 5.907-1 Сухие циклоны СИОТ-М и СИОТ-М1 (модернизированные)Дата актуализации: 01.01.2021
|
| Обозначение: | Серия 5.907-1 |
| Обозначение англ: | Series 5.907-1 |
| Статус: | не определен законодательством |
| Название рус.: | Сухие циклоны СИОТ-М и СИОТ-М1 (модернизированные) |
| Дата добавления в базу: | 01.09.2013 |
| Дата актуализации: | 01.01.2021 |
| Дата введения: | 01.10.1986 |
| Дата окончания срока действия: | 30.06.2003 |



