Скачать Сборник 11-1 Сети и сооружения газоснабжения городов, рабочих поселков и других населенных пунктов. Сети и сооружения газоснабжения. Сборники укрупненных сметных норм (УСН). Правила разработки и применения укрупненных сметных норм и расценокДата актуализации: 01.01.2021
|
| Обозначение: | Сборник 11-1 |
| Обозначение англ: | Сборник 11-1 |
| Статус: | действует |
| Название рус.: | Сети и сооружения газоснабжения городов, рабочих поселков и других населенных пунктов. Сети и сооружения газоснабжения. Сборники укрупненных сметных норм (УСН). Правила разработки и применения укрупненных сметных норм и расценок |
| Название англ.: | Gas Supply Systems and Structures for Urban Areas, Workers' Camps, and Other Populated Areas |
| Дата добавления в базу: | 01.09.2013 |
| Дата актуализации: | 01.01.2021 |
| Дата введения: | 01.01.1984 |
| Область применения: | Сборник предназначен для определения на стадии проекта и рабочего проекта сметной стоимости строительства сетей и сооружений газоснабжения городов, рабочих поселков и других населенных пунктов в территориальных районах и подрайонах по делению, принятому в единых районных единичных расценках на строительные конструкции и работы, кроме местностей, приравненных к районам Крайнего Севера. |
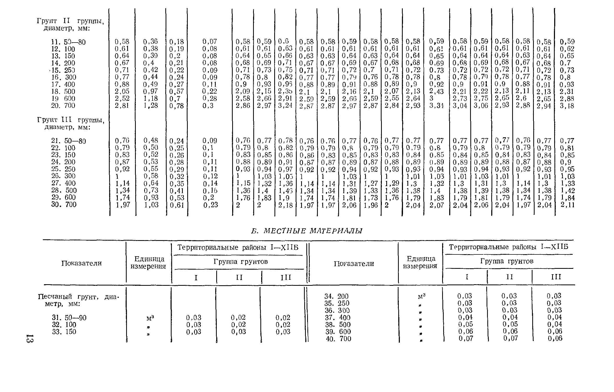
| Оглавление: | Общая часть Раздел I. Земляные работы Техническая часть Земляные работы для прокладки газопроводов в траншеях в обычных условиях в сухих грунтах при глубине заложения 0,8 м до верха трубы Земляные работы для прокладки газопроводов в траншеях в обычных условиях в мокрых грунтах при глубине заложения 0,8 м до верха трубы Земляные работы для прокладки газопроводов в траншеях в обычных условиях в сухих грунтах при глубине заложения 1 м до верха трубы Земляные работы для прокладки газопроводов в траншеях в обычных условиях в мокрых грунтах при глубине заложения 1 м до верха трубы Земляные работы для прокладки газопроводов в траншеях в обычных условиях в сухих грунтах при глубине заложения 1,2 м до верха трубы Земляные работы для прокладки газопроводов в траншеях в обычных условиях в мокрых грунтах при глубине заложения 1,2 м до верха трубы Земляные работы для прокладки газопроводов в траншеях под усовершенствованными покрытиями в сухих грунтах при глубине заложения 0,8 м до верха трубы Земляные работы для прокладки газопроводов в траншеях под усовершенствованными покрытиями в мокрых грунтах при глубине заложения 0,8 м до верха трубы Земляные работы для прокладки газопроводов в траншеях под усовершенствованными покрытиями в сухих грунтах при глубине заложения 1 м до верха трубы Земляные работы для прокладки газопроводов в траншеях под усовершенствованными покрытиями в мокрых грунтах при глубине заложения 1 м до верха трубы Земляные работы для прокладки газопроводов в траншеях под усовершенствованными покрытиями в сухих грунтах при глубине заложения 1,2 м до верха трубы Земляные работы для прокладки газопроводов в траншеях под усовершенствованными покрытиями в мокрых грунтах при глубине заложения 1,2 м до верха трубы Разработка скальных грунтов в траншеях с предварительным разрыхлением шпуровыми зарядами Разработка скальных грунтов с предварительным разрыхлением отбойными молотками в траншеях в обычных условиях Разработка скальных грунтов с предварительным разрыхлением отбойными молотками в траншеях под усовершенствованными покрытиями Устройство песчаного основания под газопроводы Раздел II. Газопроводы Техническая часть Укладка стальных труб в готовые траншеи Поправки к стоимости укладки стальных труб в готовые траншеи Антикоррозионная изоляция стальных газопроводов Установка запорной арматуры Врезки и отключения под газом действующих сетей газопроводов в сухих грунтах Поправки к стоимости врезки и отключения под газом действующих сетей газопроводов в мокрых грунтах Устройство колодцев круглых железобетонных в сухих грунтах Устройство колодцев газовых прямоугольных железобетонных в сухих грунтах Устройство колодцев газовых круглых железобетонных в мокрых грунтах Устройство колодцев газовых прямоугольных железобетонных в мокрых грунтах Устройство колодцев газовых прямоугольных железобетонных в сухих и мокрых грунтах Устройство колодцев газовых круглых кирпичных в сухих грунтах Устройство колодцев газовых прямоугольных кирпичных в сухих грунтах Устройство колодцев газовых круглых кирпичных в мокрых грунтах Приложение 1. Таблица объемов сухого грунта, заменяемого на песчаный для прокладки газопроводов под усовершенствованными покрытиями Приложение 2. Таблица объемов мокрого грунта, заменяемого на песчаный для прокладки газопроводов под усовершенствованными покрытиями Приложение 3. Пример определения сметной стоимости прокладки газопровода по настоящему Сборнику Приложение 4. Форма задания на составление объемов работ по УСН № 11-1 |
| Разработан: | Гипрониигаз Минжилкомхоза РСФСР |
| Утверждён: | 31.12.1982 Госстрой СССР (Государственный комитет Совета Министров СССР по делам строительства) (USSR Gosstroy 360) |
| Издан: | Стройиздат (1983 г. ) |

















































































