Скачать Сборник 20 Кровли. Сборники показателей стоимости на виды работ (ПВР)Дата актуализации: 01.01.2021
|
| Обозначение: | Сборник 20 |
| Обозначение англ: | Сборник 20 |
| Статус: | действует |
| Название рус.: | Кровли. Сборники показателей стоимости на виды работ (ПВР) |
| Название англ.: | Roofing |
| Дата добавления в базу: | 01.09.2013 |
| Дата актуализации: | 01.01.2021 |
| Дата введения: | 01.10.1993 |
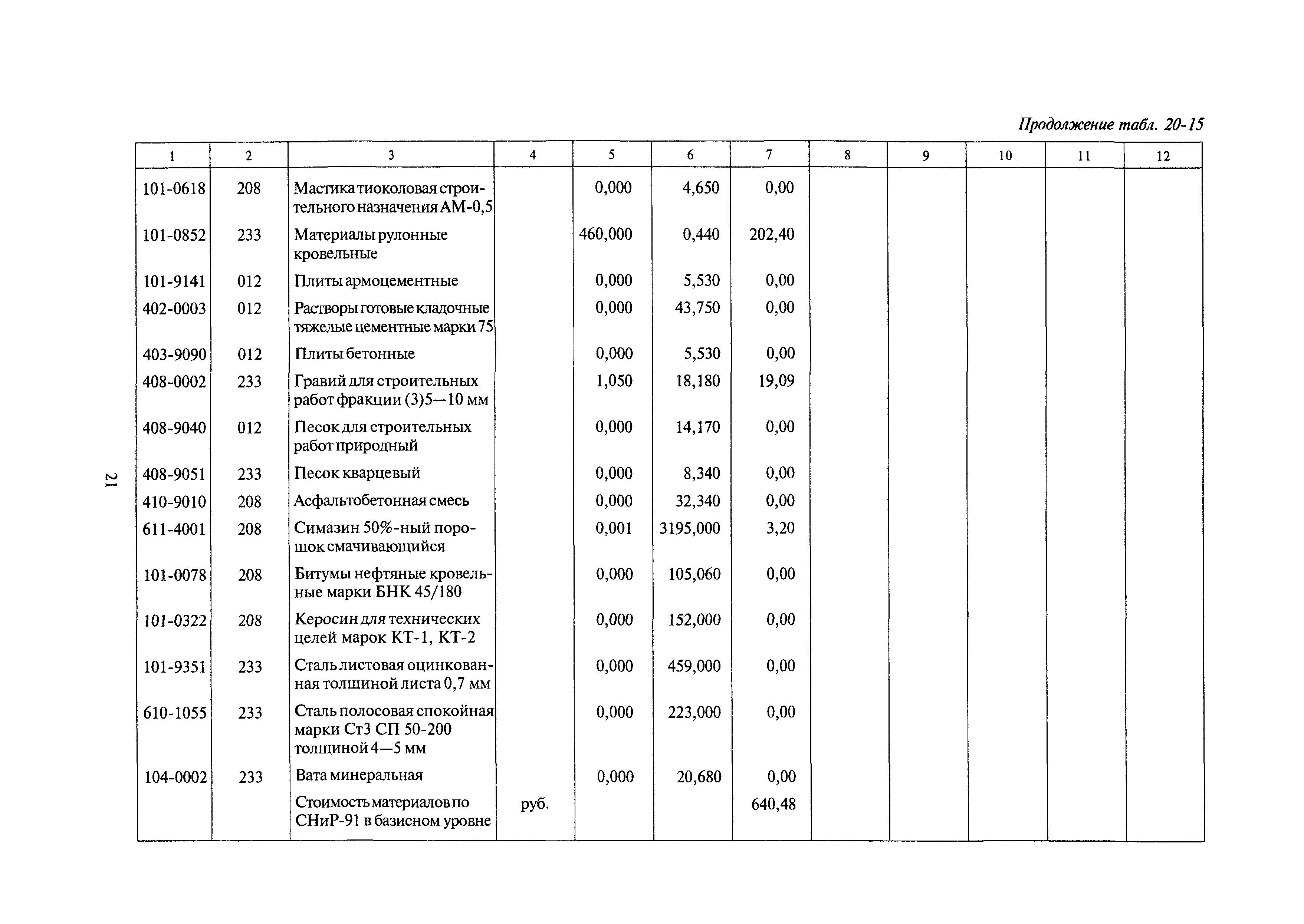
| Область применения: | Сборник содержит показатели на виды работ по устройству основных типов кровли. Стоимостные показатели в таблицах даны для базисного района строительства (Московская обл.). |
| Оглавление: | Техническая часть ПВР-20011 Устройство деревянных конструкций стропил ПВР-20021 Устройство теплоизоляции кровель плитами теплоизоляционными ПВР-20022 Устройство теплоизоляции кровель плитами минераловатными ПВР-20023 Устройство теплоизоляции изделиями из ячеистого бетона, плитами из легкого бетона ПВР-20024 Устройство теплоизоляции засыпным утеплителем ПВР-20031 Устройство цементных стяжек ПВР-20032 Устройство асфальтобетонных стяжек ПВР-20041 Устройство кровель рулонных ПВР-20042 Устройство покрытий асбестоцементными листами обыкновенного профиля ПВР-20043 Устройство покрытий асбестоцементными листами усиленного профиля ПВР-20044 Устройство покрытий из профилированного настила ПВР-20051 Монтаж металлоконструкций ограждения люков, лазов |
| Разработан: | АО Воронежэлектронпроект |
| Утверждён: | 02.09.1993 Госстрой России (Russian Federation Gosstroy 12-224) |
| Издан: | ГУП ЦПП (CPP GUP 2001 г. ) ГП ЦПП (1994 г. ) |
| Нормативные ссылки: |





































