Скачать Сборник 50 Наружные сети водопровода. Сборники показателей стоимости на виды работ (ПВР)Дата актуализации: 01.01.2021
|
| Обозначение: | Сборник 50 |
| Обозначение англ: | Сборник 50 |
| Статус: | действует |
| Название рус.: | Наружные сети водопровода. Сборники показателей стоимости на виды работ (ПВР) |
| Название англ.: | Public Water Supply Systems |
| Дата добавления в базу: | 01.09.2013 |
| Дата актуализации: | 01.01.2021 |
| Дата введения: | 01.10.1993 |
| Область применения: | Сборник содержит показатели стоимости на виды работ (ПВР) на строительство наружных сетей водопровода. Стоимостные показатели в таблицах ПВР даны для базисного района строительства (Московской обл.). |
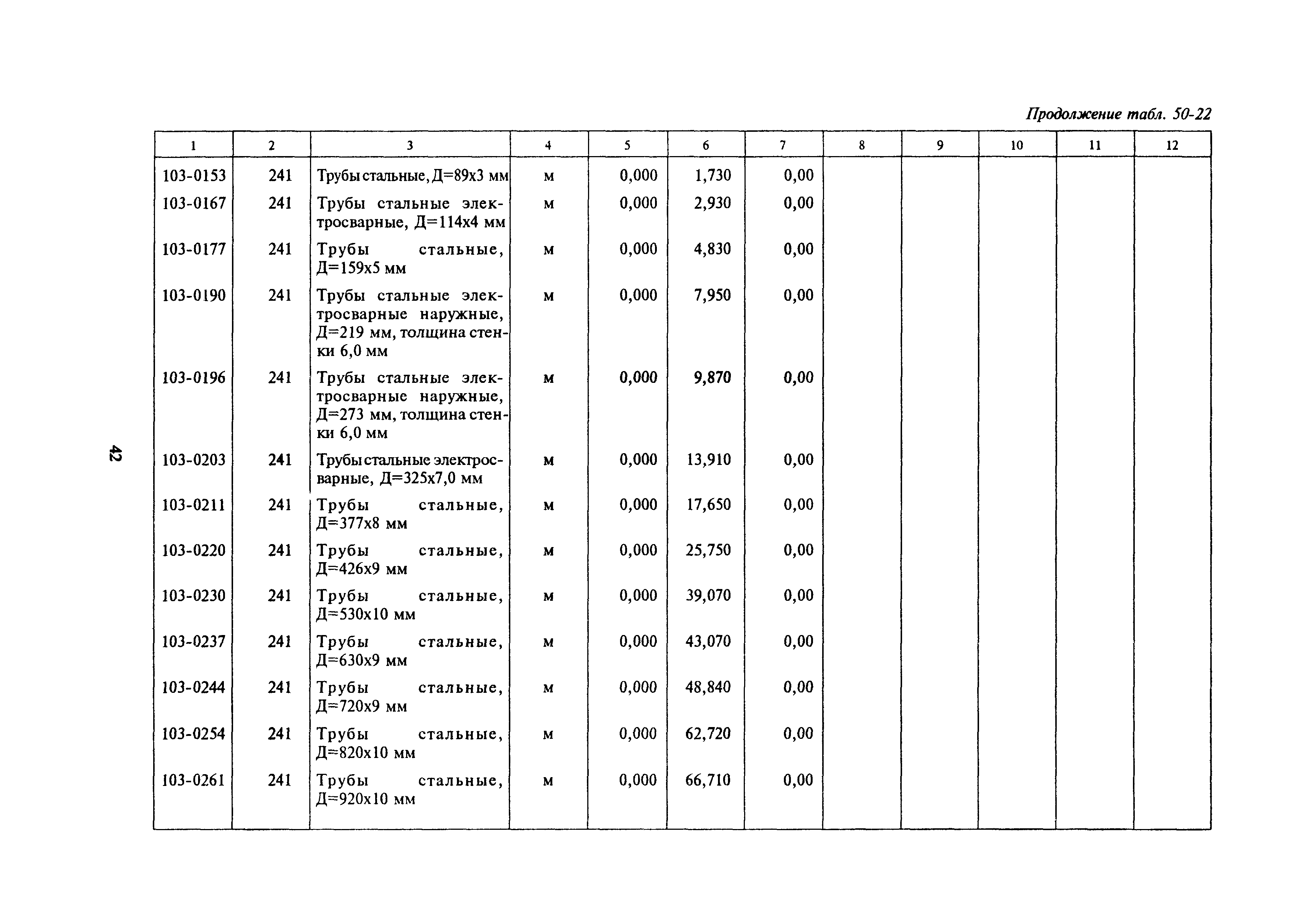
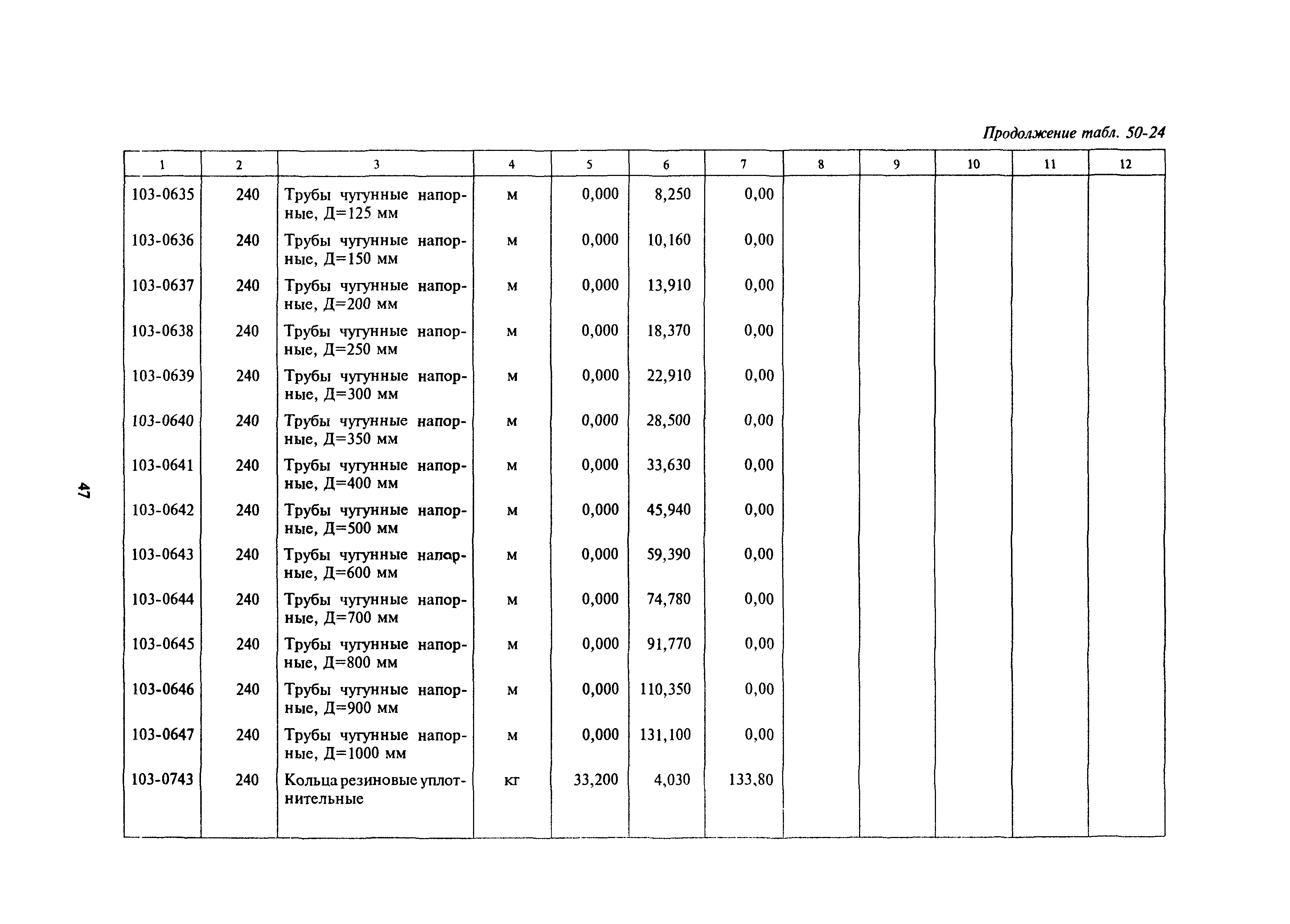
| Оглавление: | Техническая часть ПВР-501001 Земляные для прокладки водопроводных труб в сухих грунтах II группы ПВР-502001 Устройство оснований под трубопроводы из песка ПВР-502002 Устройство оснований под трубопроводы из бетона ПВР-503001 Устройство монолитных конструкций опускных колодцев, ванн, бассейнов и емкостных сооружений водопровода ПВР-503002 Установка конструкций сооружений водопровода и канализации из сборного железобетона ПВР-503004 Устройство сборных железобетонных колодцев водопроводных ПВР-504001 Укладка трубопроводов из железобетонных напорных труб ПВР-504002 Укладка трубопроводов из асбестоцементных напорных труб ПВР-504003 Укладка трубопроводов из стальных труб ПВР-504004 Укладка трубопроводов из чугунных напорных труб ПВР-504005 Установка вантузов, гидрантов, колонок водоразборных ПВР-504006 Протаскивание в футляр стальных труб ПВР-504007 Врезка в существующую сеть ПВР-504008 Укладка полиэтиленовых напорных труб ПВР-505001 Переход трубопроводами под автодорогой и железнодорожными путями |
| Разработан: | АО Воронежэлектронпроект |
| Утверждён: | 02.09.1993 Госстрой России (Russian Federation Gosstroy 12-224) |
| Издан: | ГП ЦПП (1995 г. ) |
| Нормативные ссылки: |






































































