Скачать ГОСТ 20444-85 Шум. Транспортные потоки. Методы измерения шумовой характеристикиДата актуализации: 01.01.2021
|
| Обозначение: | ГОСТ 20444-85 |
| Обозначение англ: | GOST 20444-85 |
| Статус: | заменен |
| Название рус.: | Шум. Транспортные потоки. Методы измерения шумовой характеристики |
| Название англ.: | Noise. Traffic flows. Methods of noise characteristic measurement |
| Дата добавления в базу: | 01.09.2013 |
| Дата актуализации: | 01.01.2021 |
| Дата введения: | 01.01.1986 |
| Дата окончания срока действия: | 01.07.2015 |
| Область применения: | Стандарт устанавливает методы измерения шумовой характеристики транспортных потоков на улицах, автомобильных и железных дорогах. |
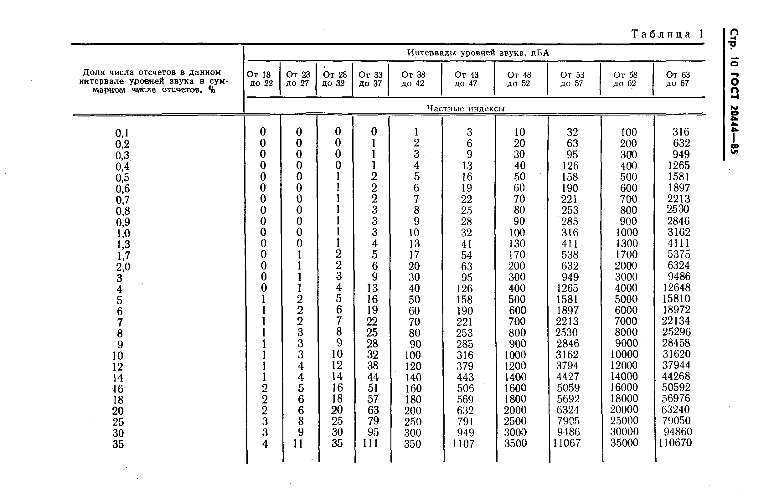
| Оглавление: | 1 Общие положения 2 Аппаратура 3 Условия измерения 4 Проведение измерения 5 Обработка и оформление результатов измерения Приложение 1 (обязательное) Протокол измерения шумовой характеристики транспортного потока Приложение 2 (рекомендуемое) Расчет эквивалентного уровня звука транспортного пот ока, в состав которого могут входить автомобили, троллейбусы, мотоциклы, а также трамваи Приложение 3 (рекомендуемое) Расчет эквивалентного уровня звука потока трамваев Приложение 4 (рекомендуемое) Расчет эквивалентного уровня звука потока железнодорожных поездов |
| Разработан: | НИИСФ Госстроя СССР НИИЖТ МПС СССР Московский научно-исследовательский и проектный институт типового и экспериментального проектирования Мосгорисполкома НИИ московского строительства ордена Ленина Главмосстроя при Мосгорисполкоме МИИЖТ МПС Московский НИИ гигиены им. Ф.Ф. Эрисмана Минздрава РСФСР ЦНИИП градостроительства |
| Утверждён: | 25.04.1985 Государственный комитет Совета Министров СССР по делам строительства (59) |
| Издан: | Издательство стандартов (1985 г. ) |
| Заменяет собой: |
|
| Нормативные ссылки: |






















