Скачать Справочник базовых цен на разработку технической документации на автоматизированные системы управления технологическими процессами (АСУТП)Дата актуализации: 01.01.2021 |
| Статус: | не подлежит применению |
| Название рус.: | Справочник базовых цен на разработку технической документации на автоматизированные системы управления технологическими процессами (АСУТП) |
| Название англ.: | Base Price Index for Development of Process Documentation for Automated Process Control Systems |
| Дата добавления в базу: | 01.09.2013 |
| Дата актуализации: | 01.01.2021 |
| Дата введения: | 15.04.1997 |
| Дата окончания срока действия: | 01.10.2016 |
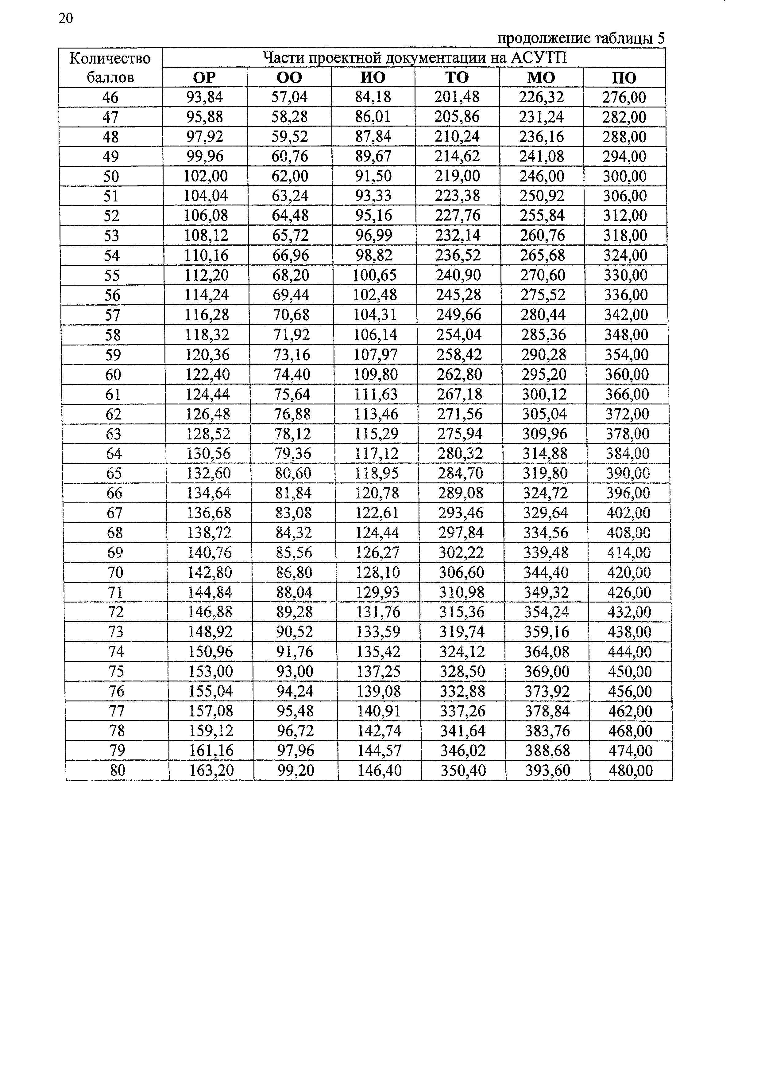
| Оглавление: | 1 Основные положения 2 Порядок определения базовой цены 2.1 Формула базовой цены 2.2 Разработка технического задания на создание АСУТП 2.3 Разработка проектной документации на АСУТП Приложение 1 Пояснение терминов, применяемых в справочнике Приложение 2 Примеры определения базовой цены |
| Разработан: | ГП ЦЕНТРИНВЕСТпроект Минстроя России ЗАО Научно-производственный центр ВНИПИ САУ-40 |
| Утверждён: | 14.03.1997 Минпром России (Russian Federation Minprom ) |
| Принят: | 27.01.1997 Минстрой России (Russian Federation Minstroy 9-4/8) |
| Нормативные ссылки: |
|


























