Скачать Руководство по проектированию подземных горных выработок и расчету крепи

Дата актуализации: 01.01.2021

Руководство по проектированию подземных горных выработок и расчету крепи

Статус:не установлен срок действия
Название рус.:Руководство по проектированию подземных горных выработок и расчету крепи
Название англ.:Design Guide to Underground Mining and Shaft Lining (SNIP II-94-80 Handbook)
Дата добавления в базу:01.09.2013
Дата актуализации:01.01.2021
Область применения:Нормы должны соблюдаться при проектировании подземных горных выработок для новых, реконструируемых и расширяемых действующих предприятий по добыче полезных ископаемых. Нормы распространяются на проектирование подземных горных выработок, располагаемых в зоне и вне зоны влияния очистных работ.
Оглавление:Предисловие
1. Общие положения
   Общие указания
   Инженерно-геологические и гидрогеологические изыскания
2. Компоновочные и конструктивные решения, основные расчетные положения
   Компоновочные и конструктивные решения
   Основные расчетные положения
3. Вертикальные выработки
   Объемно-планировочные и конструктивные решения
   Рудоспуски (породоспуски), восстающие (скаты, гезенки)
   Сопряжение вертикальных стволов (шурфов) с горизонтальными выработками
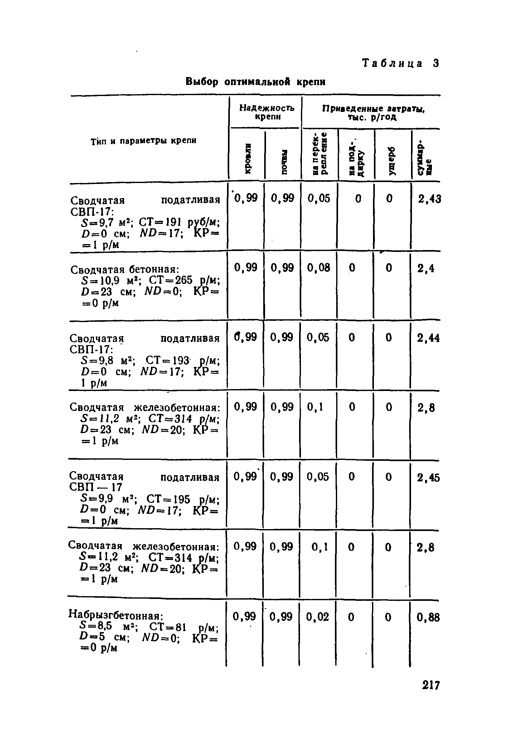
   Расчет устойчивости пород и нагрузок на крепь, выбор типа и расчет крепи
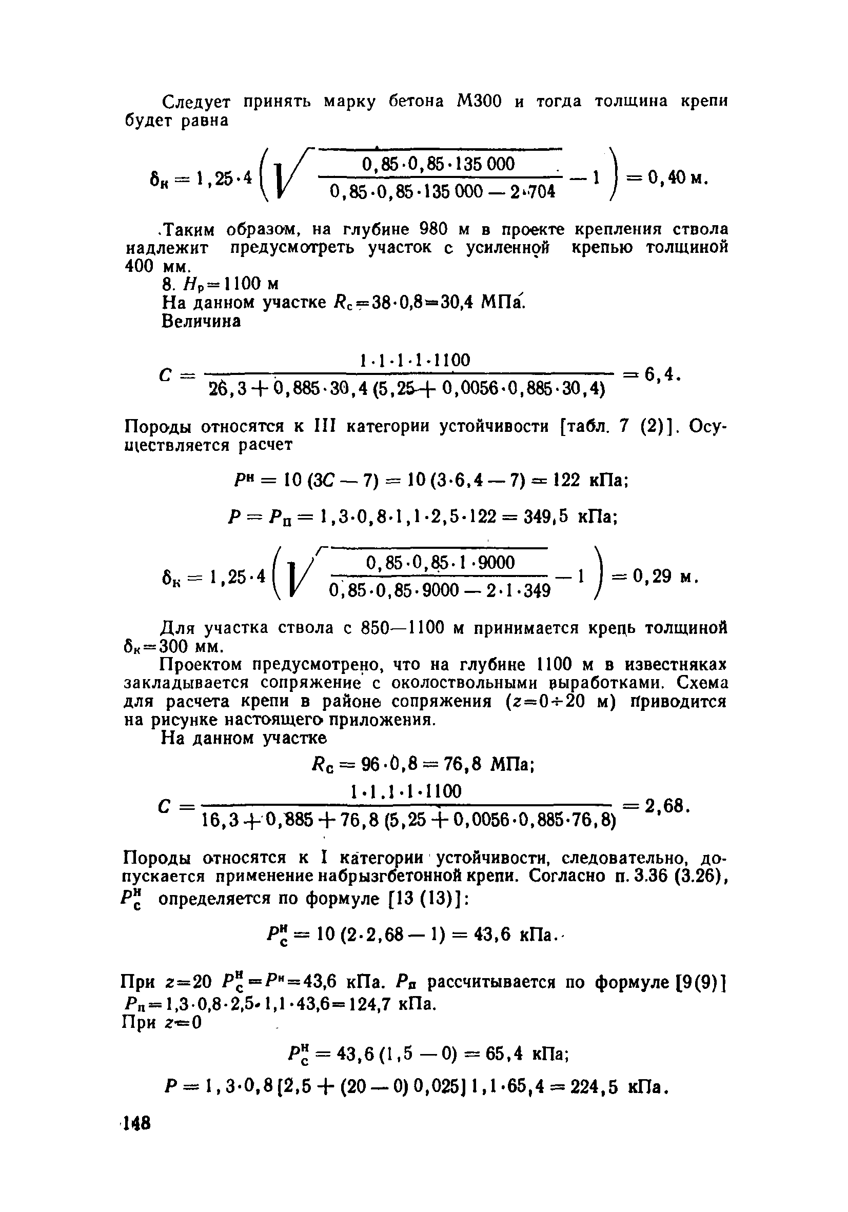
   Пример расчета толщины крепи шахтного ствола
4. Горизонтальные и наклонные выработки
   Объемно-планировочные и конструктивные решения
   Расчет устойчивости пород и нагрузок на крепь, выбор типа и расчет крепи
5. Камеры
   Объемно-планировочные и конструктивные решения
   Расчет устойчивости пород и нагрузок на крепь, выбор типа и расчет крепи
Приложения
Разработан: ВНИИОМШС Минуглепрома СССР
ВНИМИ
Утверждён:01.01.1983 Минугольпром СССР (USSR Minugolprom )
Издан: Стройиздат (1983 г. )
Нормативные ссылки: