Скачать ГОСТ 22832-77 Аппаратура систем передачи с частотным разделением каналов. Термины и определенияДата актуализации: 01.01.2021
|
| Обозначение: | ГОСТ 22832-77 |
| Обозначение англ: | GOST 22832-77 |
| Статус: | действует |
| Название рус.: | Аппаратура систем передачи с частотным разделением каналов. Термины и определения |
| Название англ.: | Frequency-division carrier transmission system equipment. Terms and definitions |
| Дата добавления в базу: | 01.09.2013 |
| Дата актуализации: | 01.01.2021 |
| Дата введения: | 01.01.1979 |
| Область применения: | Стандарт устанавливает применяемые в науке, технике и производстве термины и определения основных понятий в области аппаратуры систем передачи с частотным разделением каналов для проводных и радиорелейных систем передачи прямой видимости, тропосферных радиорелейных, спутниковых систем передачи. |
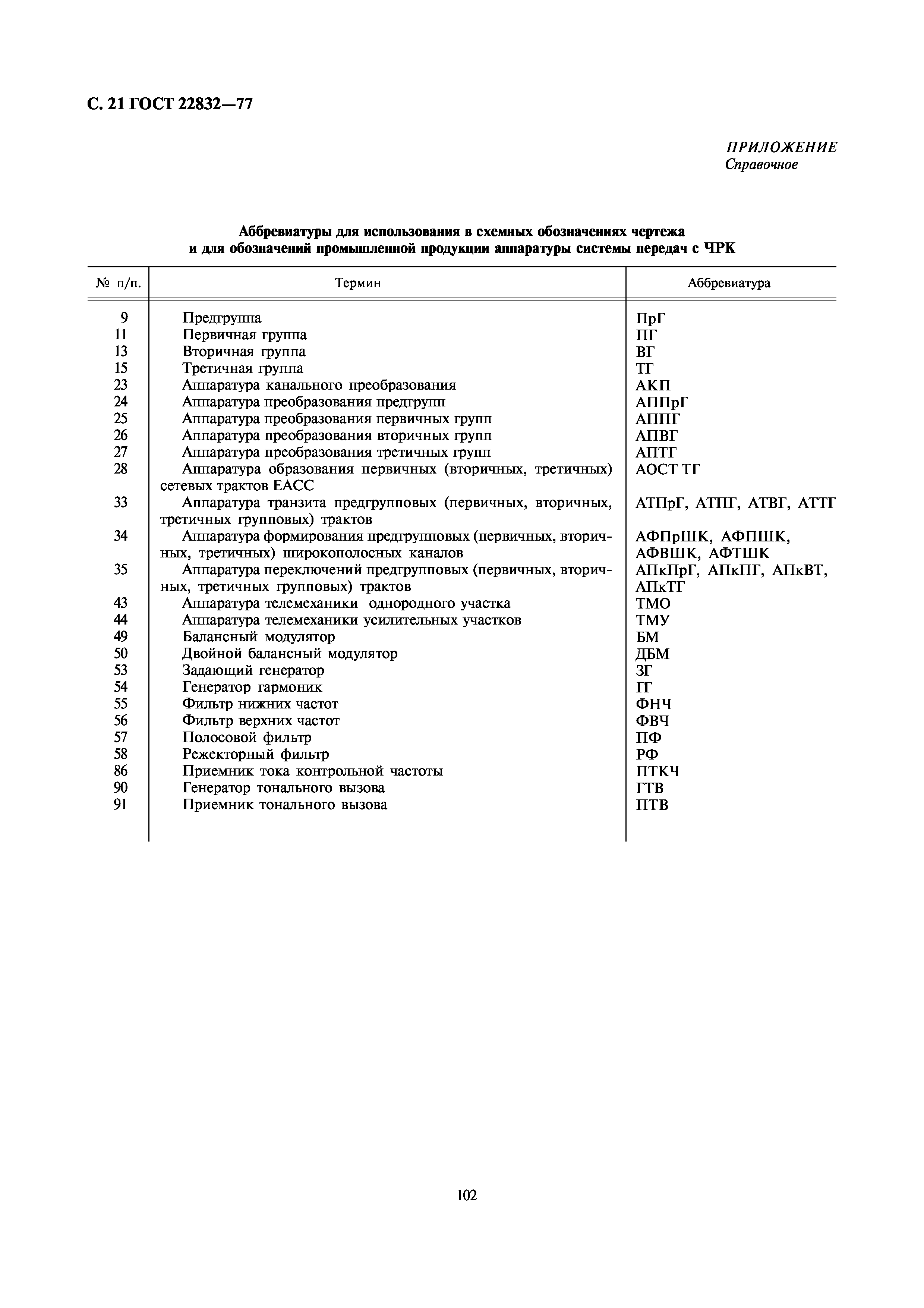
| Оглавление: | Алфавитный указатель терминов на русском языке Алфавитный указатель терминов на немецком языке Алфавитный указатель терминов на английском языке Алфавитный указатель терминов на французском языке Приложение (справочное) Аббревиатуры для использования в схемных обозначениях чертежа и для обозначений промышленной продукции аппаратуры системы передач с ЧРК |
| Разработан: | Минсвязи СССР |
| Утверждён: | 28.11.1977 Госстандарт СССР (USSR Gosstandart 2768) |
| Издан: | Издательство стандартов (1978 г. ) Издательство стандартов (1987 г. ) |




















