Скачать ГОСТ 22035-76 Шпильки с ввинчиваемым концом длиной 1,25d. Класс точности А. Конструкция и размерыДата актуализации: 01.01.2021 ГОСТ 22035-76
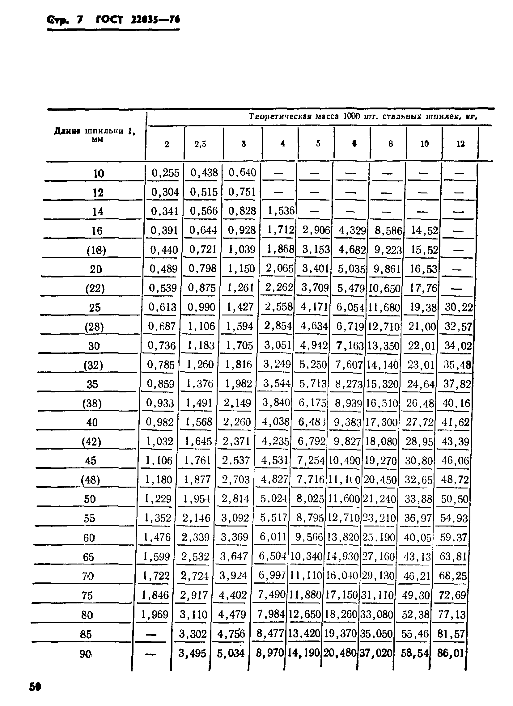
Шпильки с ввинчиваемым концом длиной 1,25d. Класс точности А. Конструкция и размеры| Обозначение: | ГОСТ 22035-76 | | Обозначение англ: | GOST 22035-76 | | Статус: | взамен | | Название рус.: | Шпильки с ввинчиваемым концом длиной 1,25d. Класс точности А. Конструкция и размеры | | Название англ.: | Studs with threaded end of 1,25d. Product grade А. Construction and dimensions | | Дата добавления в базу: | 01.09.2013 | | Дата актуализации: | 01.01.2021 | | Дата введения: | 01.07.1978 | | Область применения: | Стандарт распространяется на шпильки с номинальным диаметром резьбы от 2 до 48 мм, изготовляемые с крупным шагом резьбы на гаечном и ввинчиваемом концах; с мелким шагом резьбы на гаечном и ввинчиваемом концах, с мелким шагом резьбы на ввинчиваемом конце и крупным шагом резьбы на гаечном конце, с крупным шагом резьбы на ввинчиваемом конце и мелким шагом резьбы на гаечном конце. | | Оглавление: | Приложение 1 Приложение 2 | | Утверждён: | 13.08.1976 Государственный комитет стандартов Совета Министров СССР (USSR National Committee on Standards at the Cabinet of Ministers 1934)
| | Издан: | Издательство стандартов (1987 г. )
| | Список изменений: | | | Заменяет собой: | ГОСТ 11766-66 «Шпильки для деталей с резьбовыми отверстиями с диаметром резьбы от 2 до 48 мм (повышенной точности). Размеры и технические требования» (в части длины ввинчиваемого резьбового конца l1=1,25d) | | Нормативные ссылки: | |
                   
Текстовое изменение № 1 от 01.04.1979

Текстовое изменение № 4 от 01.01.1989
    
|