Скачать ГОСТ 22043-76 Шпильки для деталей с гладкими отверстиями. Класс точности А. Конструкция и размеры

Дата актуализации: 01.01.2021

ГОСТ 22043-76

Шпильки для деталей с гладкими отверстиями. Класс точности А. Конструкция и размеры

Обозначение: ГОСТ 22043-76
Обозначение англ: GOST 22043-76
Статус:взамен
Название рус.:Шпильки для деталей с гладкими отверстиями. Класс точности А. Конструкция и размеры
Название англ.:Studs for smooth hole farts. Product grade А. Construction and dimensions
Дата добавления в базу:01.09.2013
Дата актуализации:01.01.2021
Дата введения:01.07.1978
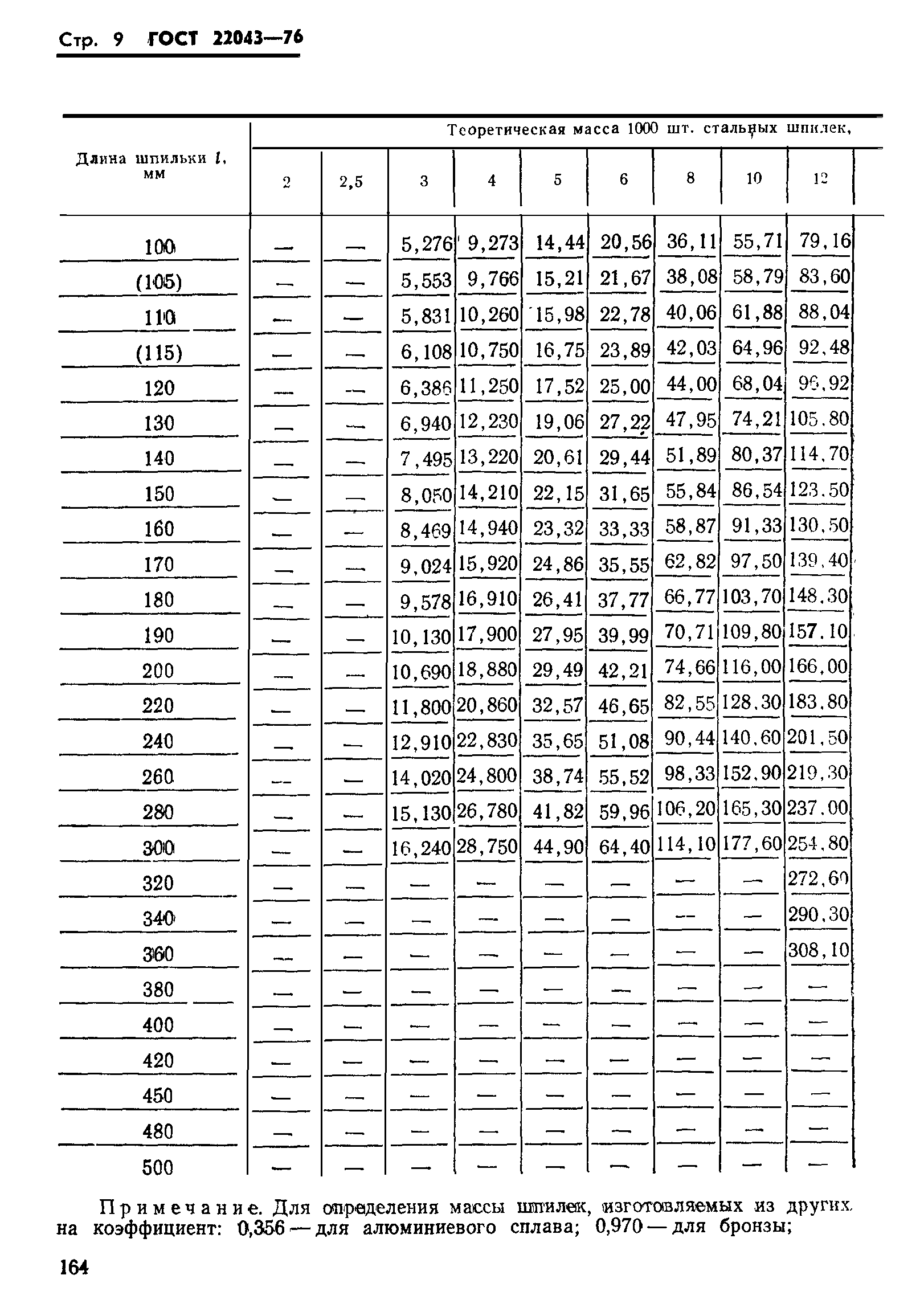
Область применения:Стандарт распространяется на шпильки с двумя одинаковыми по длине резьбовыми концами с диаметром резьбы от 2 до 48 мм.
Оглавление:Приложение 1
Приложение 2
Утверждён:13.08.1976 Государственный комитет стандартов Совета Министров СССР (USSR National Committee on Standards at the Cabinet of Ministers 1934)
Издан: Издательство стандартов (1987 г. )
Список изменений:
Заменяет собой:
  • ГОСТ 11770-66 «Шпильки для деталей с гладкими отверстиями с диаметром резьбы от 2 до 48 мм (повышенной точности). Размеры и технические требования»
Нормативные ссылки:
ГОСТ 22043-76ГОСТ 22043-76ГОСТ 22043-76ГОСТ 22043-76ГОСТ 22043-76ГОСТ 22043-76ГОСТ 22043-76ГОСТ 22043-76ГОСТ 22043-76ГОСТ 22043-76ГОСТ 22043-76ГОСТ 22043-76ГОСТ 22043-76ГОСТ 22043-76ГОСТ 22043-76ГОСТ 22043-76ГОСТ 22043-76

Текстовое изменение № 1 от 01.04.1979

№ 1№ 1

Текстовое изменение № 3 от 28.04.1988

№ 3№ 3