Скачать ВРД 39-1.13-011-2000 Концепция системы управления охраной окружающей среды на объектах ОАО Газпром в соответствии с ГОСТ Р ИСО 14000Дата актуализации: 01.01.2021
|
| Обозначение: | ВРД 39-1.13-011-2000 |
| Обозначение англ: | VRD 39-1.13-011-2000 |
| Статус: | введен впервые |
| Название рус.: | Концепция системы управления охраной окружающей среды на объектах ОАО "Газпром" в соответствии с ГОСТ Р ИСО 14000 |
| Название англ.: | Environmental Management System for to Be Used by Gazprom OAO Facilities in Accordance with GOST R ISO 14000 |
| Дата добавления в базу: | 01.09.2013 |
| Дата актуализации: | 01.01.2021 |
| Дата введения: | 20.04.2000 |
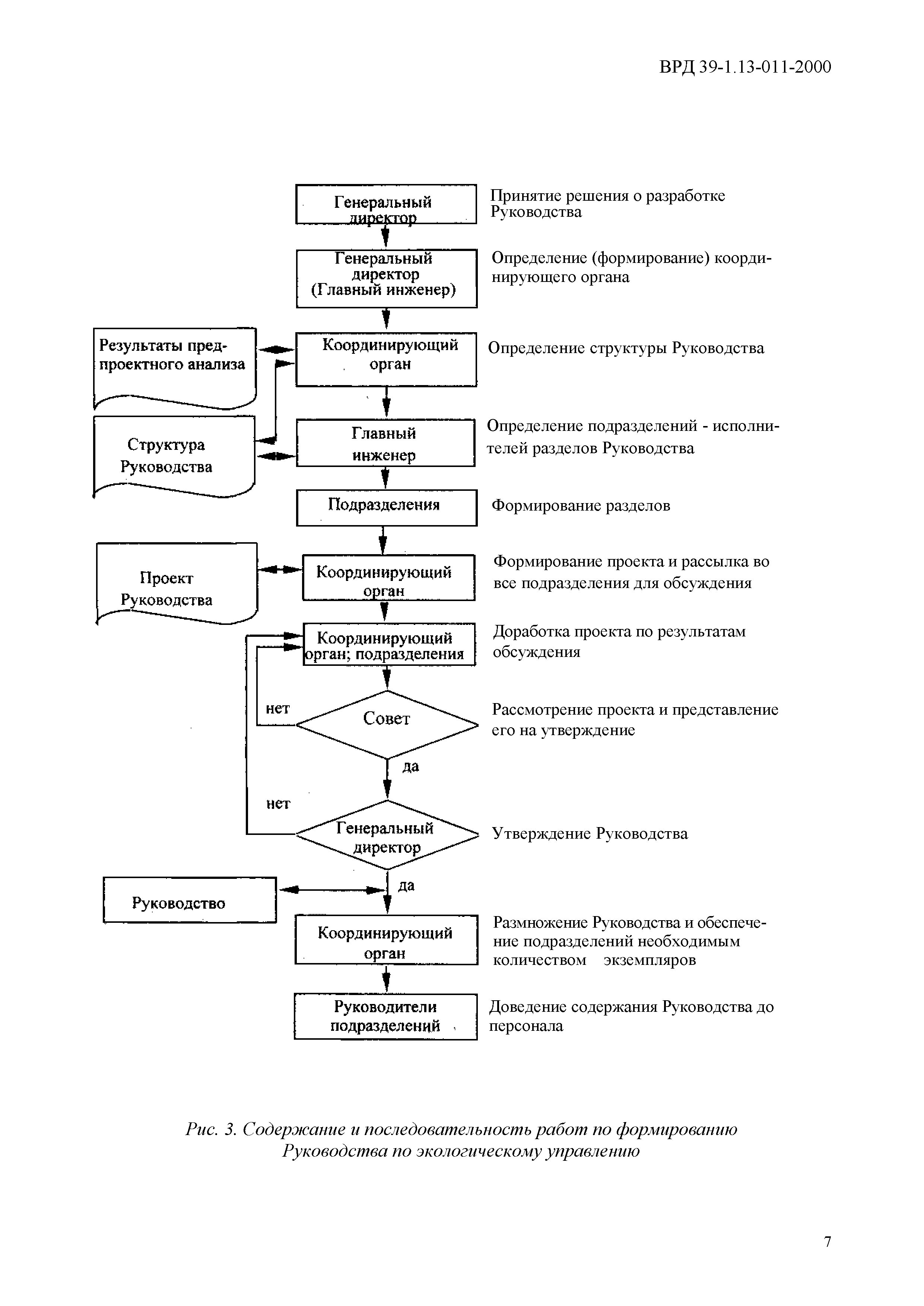
| Оглавление: | Введение Назначение, цели и основные принципы системы экологического управления Механизм экологического управления Экологический аудит Создание и развитие нормативной базы Становление и развитие работ по сертификации ОАО "Газпром" (Управление окружающей средой) Опытное внедрение и эксплуатация системы экологического управления на базовом предприятии Приложение А. Термины и их определение, используемые в стандартах ГОСТ Р ИСО 14000 Приложение Б. Блок-схема стандартов ГОСТ Р ИСО 14000 Приложение В. Совместимость требований стандартов ГОСТ Р ИСО 14001 и ГОСТ Р ИСО 9001 Приложение Г. Исходные материалы по экологическому аудированию объектов ОАО "Газпром" Приложение Д. Перечень вопросов экологического аудита объектов ОАО "Газпром" по направлениям деятельности |
| Разработан: | ОАО Газпром (Gazprom OAO ) НИЦ Экобезопасность (Ecobezopasnost NIC ) ООО ВНИИГАЗ |
| Утверждён: | 20.04.2000 ОАО Газпром (Gazprom OAO 14) |
| Принят: | НИЦ Экобезопасность (Ekobezopasnost NITs ) |
| Издан: | ИРЦ Газпром (IRC Gazprom 2000 г. ) |
| Нормативные ссылки: |
































































