Скачать ГОСТ 3088-80 Канат двойной свивки многопрядный типа ЛК-Р конструкции 18х19 (1+6+6/6)+1 о.с. Сортамент

Дата актуализации: 01.01.2021

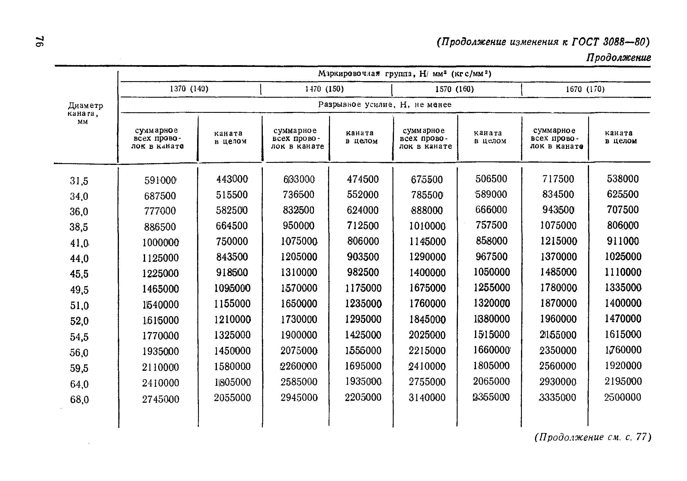
ГОСТ 3088-80

Канат двойной свивки многопрядный типа ЛК-Р конструкции 18х19 (1+6+6/6)+1 о.с. Сортамент

Обозначение: ГОСТ 3088-80
Обозначение англ: GOST 3088-80
Статус:взамен
Название рус.:Канат двойной свивки многопрядный типа ЛК-Р конструкции 18х19 (1+6+6/6)+1 о.с. Сортамент
Название англ.:Two lay polystranded rope type ЛК-Р construction 18х19 (1+6+6/6)+1 о.с. Dimensions
Дата добавления в базу:01.09.2013
Дата актуализации:01.01.2021
Дата введения:01.01.1982
Область применения:Стандарт распространяется на стальные канаты двойной свивки многопрядные с линейным касанием проволок в прядях типа ЛК-Р с одним органическим сердечником.
Утверждён:23.04.1980 Государственный комитет СССР по стандартам (USSR National Committee on Standards 1834)
Издан: ИПК Издательство стандартов (1996 г. )
Список изменений:
Заменяет собой:
  • ГОСТ 3088-69 «Канаты стальные. Канат двойной свивки многопрядный типа ЛК-Р конструкции 18х19(1+6+6/6)+1 О. С.»
Нормативные ссылки:
ГОСТ 3088-80ГОСТ 3088-80ГОСТ 3088-80ГОСТ 3088-80ГОСТ 3088-80

Текстовое изменение № 1 от 01.04.1987

№ 1№ 1

Текстовое изменение № 2 от 01.01.1993

№ 2№ 2№ 2№ 2№ 2