Скачать МДК 4-03.2001 Методика определения нормативных значений показателей функционирования водяных тепловых сетей систем коммунального теплоснабженияДата актуализации: 01.01.2021
|
| Обозначение: | МДК 4-03.2001 |
| Обозначение англ: | MDK 4-03.2001 |
| Статус: | действует |
| Название рус.: | Методика определения нормативных значений показателей функционирования водяных тепловых сетей систем коммунального теплоснабжения |
| Название англ.: | Method for the Determination of Specified Performance Values for Piped Heat Supply Networks of Public Piped Heat Supply Systems |
| Дата добавления в базу: | 01.09.2013 |
| Дата актуализации: | 01.01.2021 |
| Дата введения: | 01.10.2001 |
| Область применения: | Методика определения нормативных значений показателей функционирования водяных тепловых сетей систем коммунального теплоснабжения предназначена для использования коммунальными теплоэнергетическими организациями при разработке нормативных значений показателей функционирования тепловых сетей. |
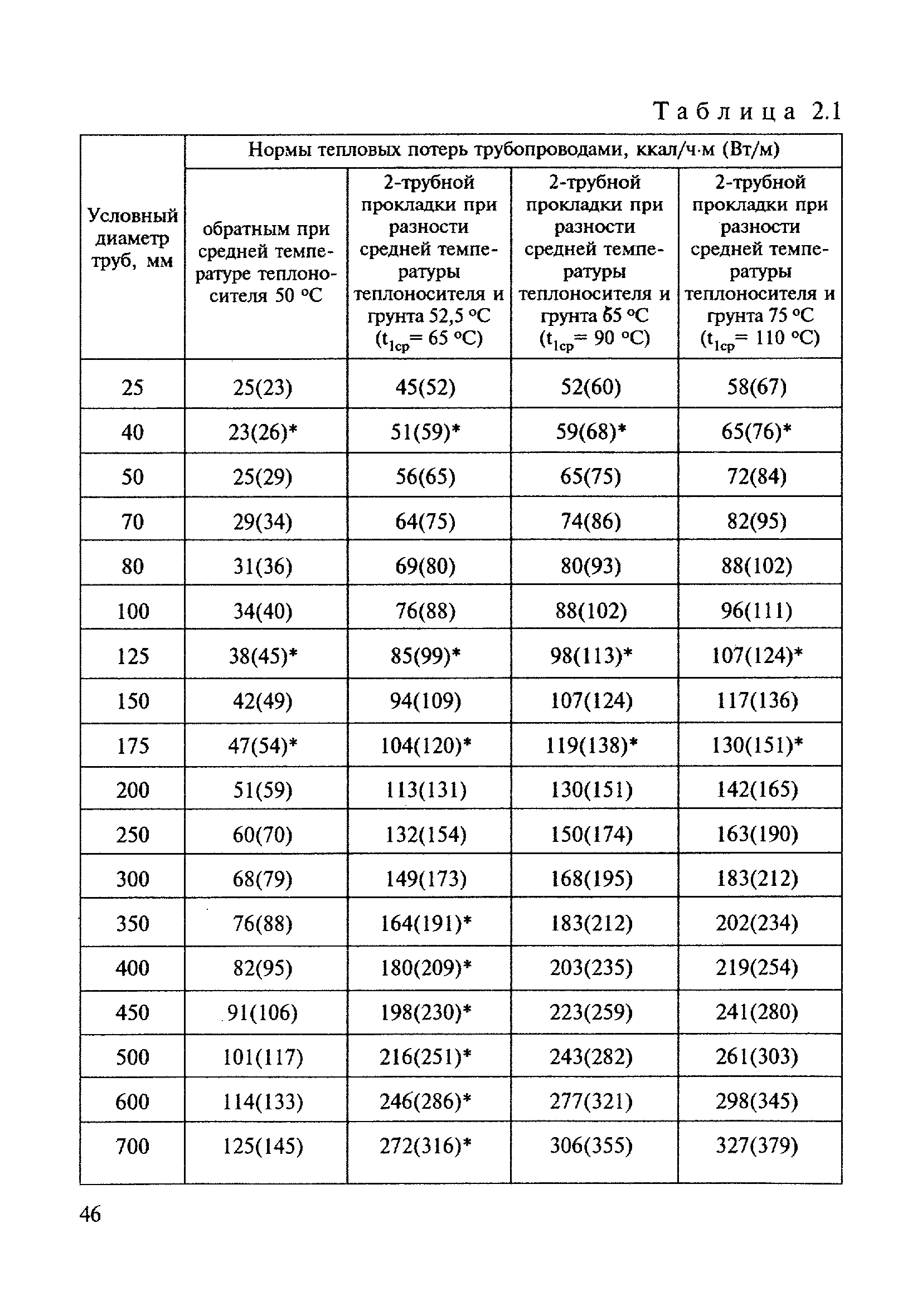
| Оглавление: | Введение 1 Определение нормативных значений потерь тепловой энергии и теплоносителя 1.1 Общие положения 1.2 Нормирование эксплуатационных потерь и затрат теплоносителя 1.3 Нормирование тепловых потерь, обусловленных потерями теплоносителя 1.4 Нормирование тепловых потерь через изоляционные конструкции трубопроводов 2 Определение нормативных значений показателей режимов функционирования тепловых сетей 2.1 Общие положения 2.2 Определение нормативных значений расхода тепловой энергии 2.3 Определение нормативных значений температуры теплоносителя в подающих и обратных трубопроводах тепловых сетей 2.4 Определение нормативных значений расхода теплоносителя в тепловых сетях 2.5 Определение нормативных значений удельного расхода теплоносителя в подающих трубопроводах тепловых сетей 2.6 Определение нормативных значений абсолютных и удельных затрат электроэнергии на передачу тепловой энергии 2.7 Периодичность пересмотра нормативных значений показателей режимов функционирования тепловых сетей Приложения: 1 Перечень нормативно-технических документов, на которые имеются ссылки в тексте Методики 2 Нормы тепловых потерь (плотности теплового потока от трубопроводов) водяных тепловых сетей 3 Методика расчета удельных часовых тепловых потерь для среднегодовых условий функционирования тепловых сетей 4 Поправки к нормируемым потерям тепловой энергии трубопроводами водяных тепловых сетей через изоляционные конструкции 5 Формы для исходной информации и расчета тепловых потерь 6 Удельный объем труб для определения объема трубопроводов тепловых сетей 7 Удельный объем систем теплопотребления 8 Формы для расчета потерь теплоносителя 9 Определение расчетных значений расхода теплоносителя по видам теплового потребления 10 Определение нормативных значений тепловых потерь трубопроводами тепловых сетей для характерных значений температуры наружного воздуха |
| Разработан: | РАО Роскоммунэнерго Российская ассоциация Коммунальная энергетика |
| Утверждён: | 01.10.2001 Госстрой России (Russian Federation Gosstroy 225) |
| Принят: | 19.07.2001 ФГУ Российское агентство энергоэффективности Минэнерго России (Russian Energy Efficiency Agency FGU, Russian Federation Minenergo ЕК-49/2) |
| Издан: | ГУП ЦПП (CPP GUP 2002 г. ) |
| Нормативные ссылки: |















































































