Скачать ТЕР 81-02-05-2001 Ростовской области Свайные работы. Опускные колодцы. Закрепление грунтов. Книга 1. Территориальные единичные расценки для определения стоимости строительных работ в Ростовской областиДата актуализации: 01.01.2021
|
| Обозначение: | ТЕР 81-02-05-2001 Ростовской области |
| Обозначение англ: | TER 81-02-05-2001 Ростовской области |
| Статус: | действует |
| Название рус.: | Свайные работы. Опускные колодцы. Закрепление грунтов. Книга 1. Территориальные единичные расценки для определения стоимости строительных работ в Ростовской области |
| Название англ.: | Piling - Large-Diameter Concrete Shafts - Soil Stabilization - Book 1 |
| Дата добавления в базу: | 01.09.2013 |
| Дата актуализации: | 01.01.2021 |
| Дата введения: | 03.07.2002 |
| Область применения: | Сборник содержит территориальные единичные расценки на выполнение свайных работ при строительстве зданий и сооружений любого назначения на всех видах строительства и в различных условиях (с земли и плавучих средств), на выполнение работ по сооружению опускных колодцев на всех видах строительства и закрепление грунтов способами цементации (цементными и цементно-песчаными растворами), силикатизации, смолизации с целью повышения их прочности, устойчивости и водонепроницаемости на всех видах строительства. |
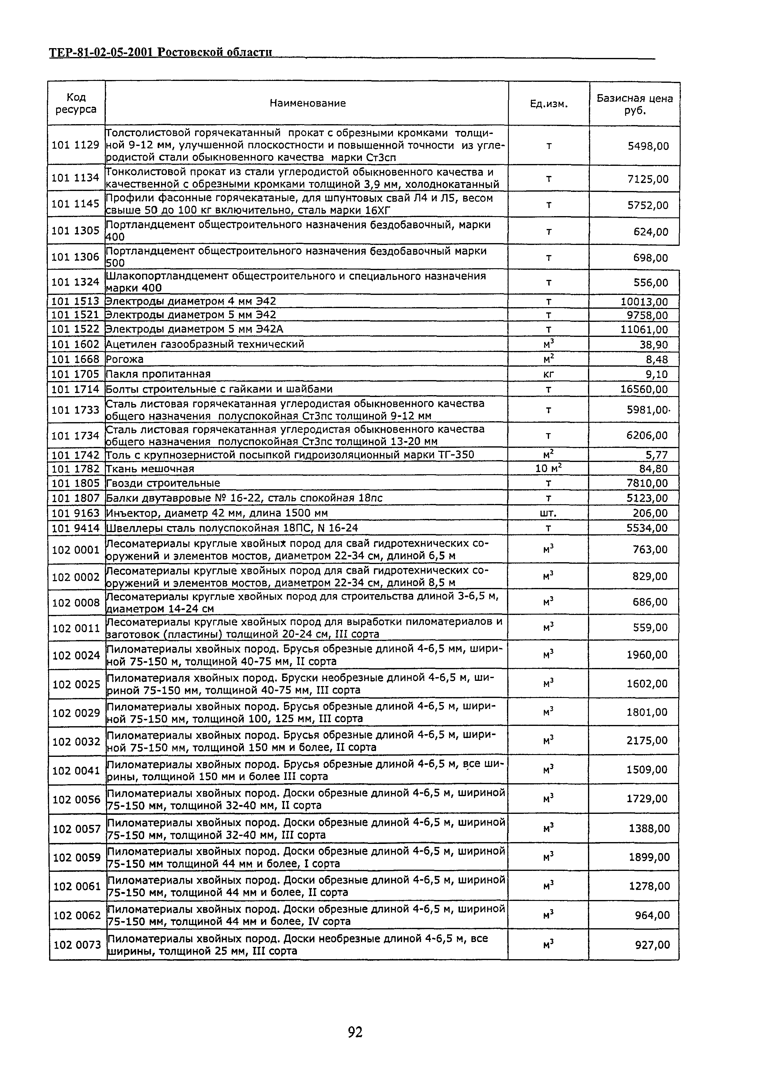
| Оглавление: | Раздел 01 Свайные работы Техническая часть 1 Свайные работы, выполняемые с земли 2 Свайные работы, выполняемые в мерзлых и вечномерзлых грунтах Раздел 02 Опускные колодцы Техническая часть Раздел 03 Техническая часть Приложение 1 Сборник сметных расценок на эксплуатацию строительных машин и сметных цен на материалы, изделия и конструкции Приложение 2 Стоимость 1 чел.-ч рабочих занятых в строительстве и на ремонтно-строительных работах Приложение 3 Коды материалов, примененные в расценках ТЕР 81-05-2001, взамен общих кодов ГЭСН 81-02-05-2001 |
| Разработан: | ГУ Областной центр анализа ценообразования в строительстве при Министерстве строительства, архитектуры и ЖКХ Ростовской области ОАО Ростовгражданпроект ООО Ростовгипрошахт ОАО ПСП СевкавНИПИагропромстрой |
| Утверждён: | 03.07.2002 Министерство строительства, архитектуры и ЖКХ Администрации Ростовской области (Ministry of Construction, Architecture and Public Utility Services, Administration of Rostov Region 41) |
| Издан: | Администрация Ростовской области (2001 г. ) |
| Заменяет собой: |
|
| Нормативные ссылки: |
|






































































































