Скачать ТЕР 81-02-15-2001 Ростовской области Отделочные работы. Территориальные единичные расценки для определения стоимости строительных работ в Ростовской областиДата актуализации: 01.01.2021
|
| Обозначение: | ТЕР 81-02-15-2001 Ростовской области |
| Обозначение англ: | TER 81-02-15-2001 Ростовской области |
| Статус: | действует |
| Название рус.: | Отделочные работы. Территориальные единичные расценки для определения стоимости строительных работ в Ростовской области |
| Название англ.: | Finishing Work |
| Дата добавления в базу: | 01.09.2013 |
| Дата актуализации: | 01.01.2021 |
| Дата введения: | 08.11.2001 |
| Область применения: | Предназначены для определения сметной стоимости строительных работ, выполняемых на объектах нового строительства зданий и сооружений, а также для расчетов за выполненные работы. |
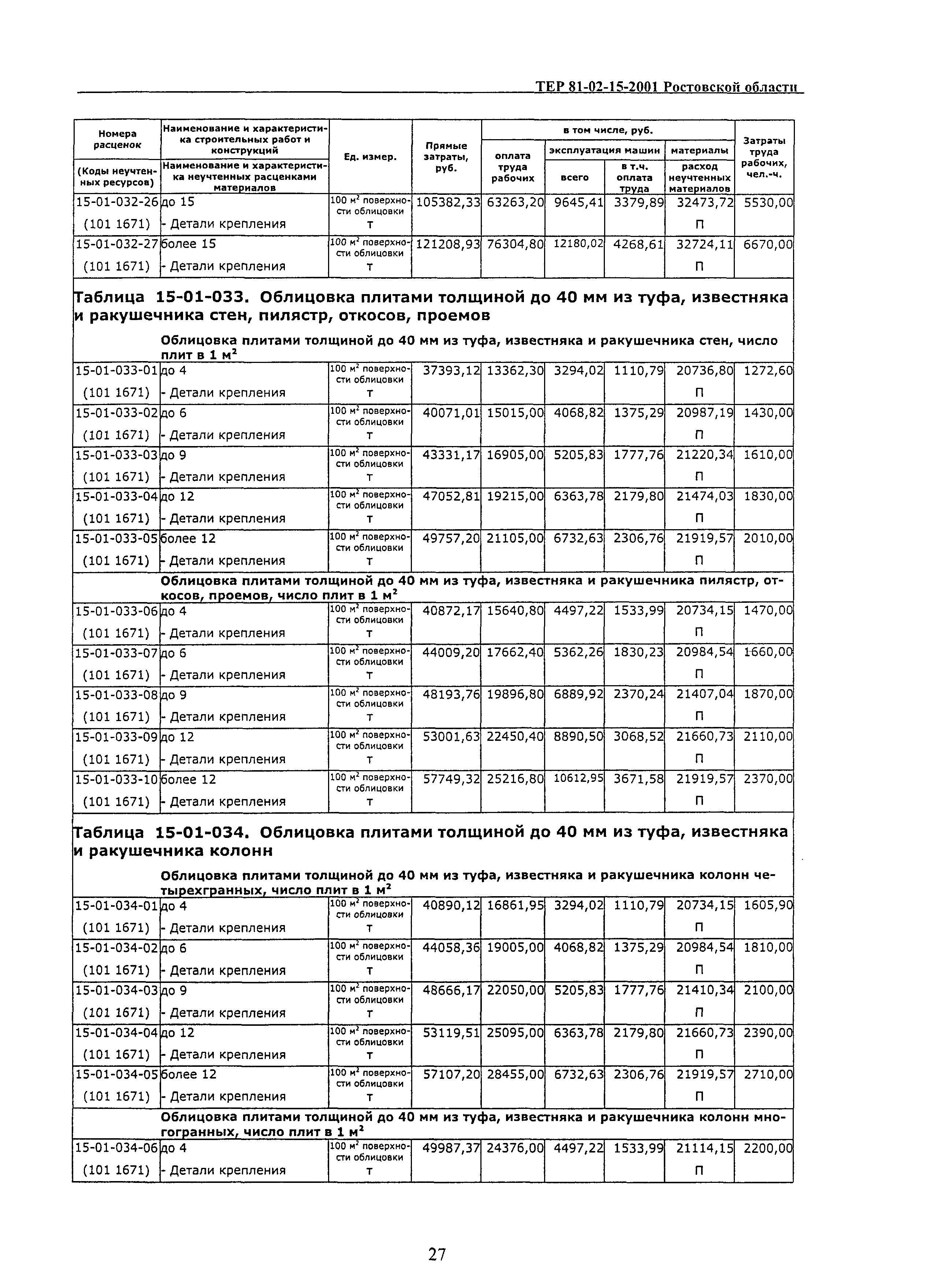
| Оглавление: | Техническая часть Раздел 01 Облицовочные работы 1 Облицовка поверхностей природным камнем и линейными фасонныим камнями 2 Облицовка поверхностей искусственными плитками 3 Облицовочные работы в зданиях с повышенными требованиями к отделке 4 Облицовка внутренних поверхностей листовыми материалами Раздел 02 Штукатурные работы 1 Штукатурка фасадов 2 Штукатурка поверхностей внутри зданий 3 Оштукатуривание отдельных мест, лестничных маршей и площадок, декоративная штукатурка Раздел 03 Лепные работы Раздел 04 Малярные работы 1 Окраска водными составами внутри помещения 2 Окраска фасадов с лесов или люлек 3 Окраска масляными составами 4 Покрытие и окраска лаками и специальными составами 5 Декоративные работы Раздел 05 Стекольные работы 1 Остекление деревянных оконных переплетов, фрамуг, дверных полотен и витрин жилых и общественных зданий 2 Остекление переплетов промышленных зданий 3 Остекление конструкций профильным стеклом Раздел 06 Обойные работы Приложение 1 Сборник сметных расценок на эксплуатацию строительных машин и сметных цен на материалы, изделия и конструкции Приложение 2 Стоимость 1 чел.-ч рабочих, занятых в строительстве и на ремонтно-строительных работах Приложение 3 Коды материалов, примененные в расценках ТЕР 81-02-15-2001 взамен общих кодов ГЭСН 81-02-15-2001 |
| Разработан: | ГУ Областной центр анализа ценообразования в строительстве при Министерстве строительства, архитектуры и ЖКХ Ростовской области ОАО Ростовгражданпроект ОАО ПСП СевкавНИПИагропромстрой |
| Утверждён: | 08.11.2001 Министерство строительства, архитектуры и ЖКХ Администрации Ростовской области (Ministry of Construction, Architecture and Public Utility Services, Administration of Rostov Region 36) |
| Издан: | Администрация Ростовской области (2001 г. ) |
| Заменяет собой: |
|
| Нормативные ссылки: |
|





































































