Скачать ТЕР 81-02-22-2001 Ростовской области Водопровод - наружные сети. Территориальные единичные расценки для определения стоимости строительных работ в Ростовской областиДата актуализации: 01.01.2021
|
| Обозначение: | ТЕР 81-02-22-2001 Ростовской области |
| Обозначение англ: | TER 81-02-22-2001 Ростовской области |
| Статус: | действует |
| Название рус.: | Водопровод - наружные сети. Территориальные единичные расценки для определения стоимости строительных работ в Ростовской области |
| Название англ.: | Public Water Supply Systems |
| Дата добавления в базу: | 01.09.2013 |
| Дата актуализации: | 01.01.2021 |
| Дата введения: | 15.04.2002 |
| Область применения: | Предназначены для определения сметной стоимости строительных работ, выполняемых на объектах нового строительства зданий и сооружений, а также для расчетов за выполненные работы. |
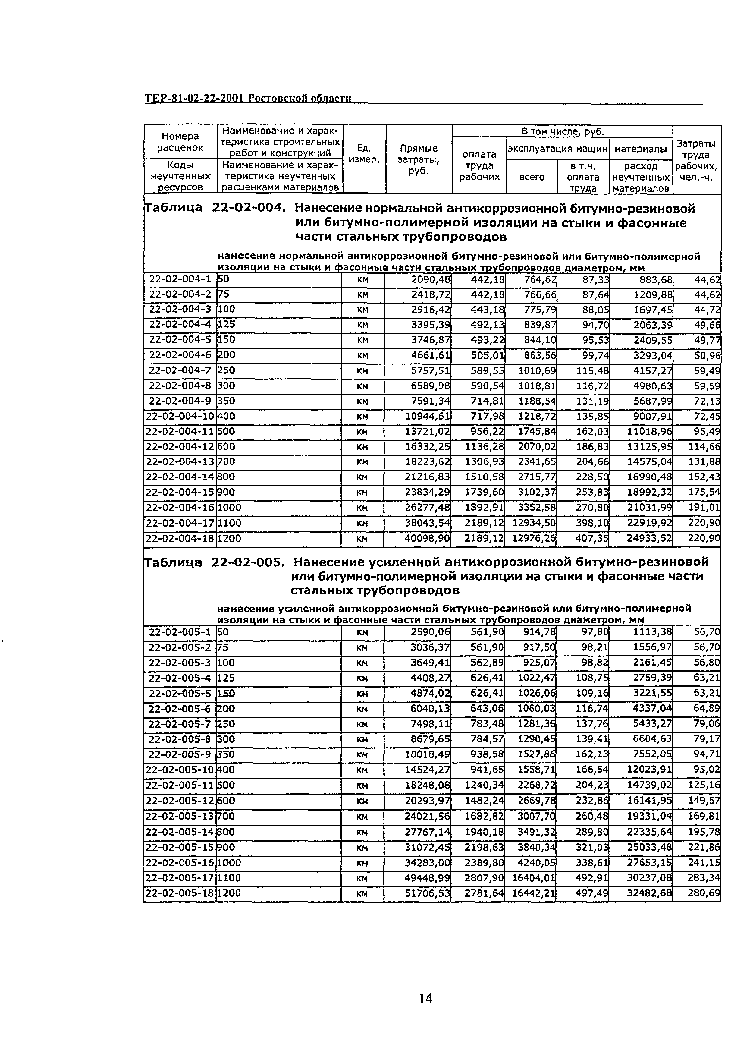
| Оглавление: | Техническая часть Раздел 01 Укладка трубопроводов 1 Трубы асбестоцементные 2 Трубы чугунные 3 Трубы стальные 4 Трубы железобетонные 5 Трубы полиэтиленовые Раздел 02 Антикоррозийная изоляция стальных трубопроводов Раздел 03 Установка арматуры 1 Фасонные части 2 Задвижки, клапаны 3 Вантузы, гидранты, колонки водоразборные 4 Фланцы Раздел 04 Колодцы водоразборные Раздел 05 Бестраншейная прокладка труб Раздел 06 Прочие работы 1 Промывка трубопроводов 2 Врезка штуцеров в существующие трубопроводы 3 Сопутствующие работы Приложение 1 Сборник сметных расценок на эксплуатацию строительных машин и сметных цен на материалы, изделия и конструкции Приложение 2 Стоимость 1 чел.-ч рабочих, занятых в строительстве и на ремонтно-строительных работах Приложение 3 Коды материалов, примененных в расценках ТЕР 81-02-22-2001, взамен общих кодов ГЭСН 81-02-22-2001 |
| Разработан: | ГУ Областной центр анализа ценообразования в строительстве при Министерстве строительства, архитектуры и ЖКХ Ростовской области ОАО Ростовгражданпроект ООО Ростовгипрошахт ОАО ПСП СевкавНИПИагропром |
| Утверждён: | 15.04.2002 Министерство строительства, архитектуры и ЖКХ Администрации Ростовской области (Ministry of Construction, Architecture and Public Utility Services, Administration of Rostov Region 19) |
| Издан: | Администрация Ростовской области (2001 г. ) |
| Заменяет собой: |
|
| Нормативные ссылки: |
|







































