Скачать ГОСТ 8.516-2001 Государственная система обеспечения единства измерений. Государственная поверочная схема для средств измерений твердости металлов по шкале твердости Шора DДата актуализации: 01.01.2021
|
| Обозначение: | ГОСТ 8.516-2001 |
| Обозначение англ: | GOST 8.516-2001 |
| Статус: | действует |
| Название рус.: | Государственная система обеспечения единства измерений. Государственная поверочная схема для средств измерений твердости металлов по шкале твердости Шора D |
| Название англ.: | State system for ensuring the uniformity of measurements. State verification schedule for means measuring hardness of metals according to Shore D hardness scale |
| Дата добавления в базу: | 01.09.2013 |
| Дата актуализации: | 01.01.2021 |
| Дата введения: | 01.07.2002 |
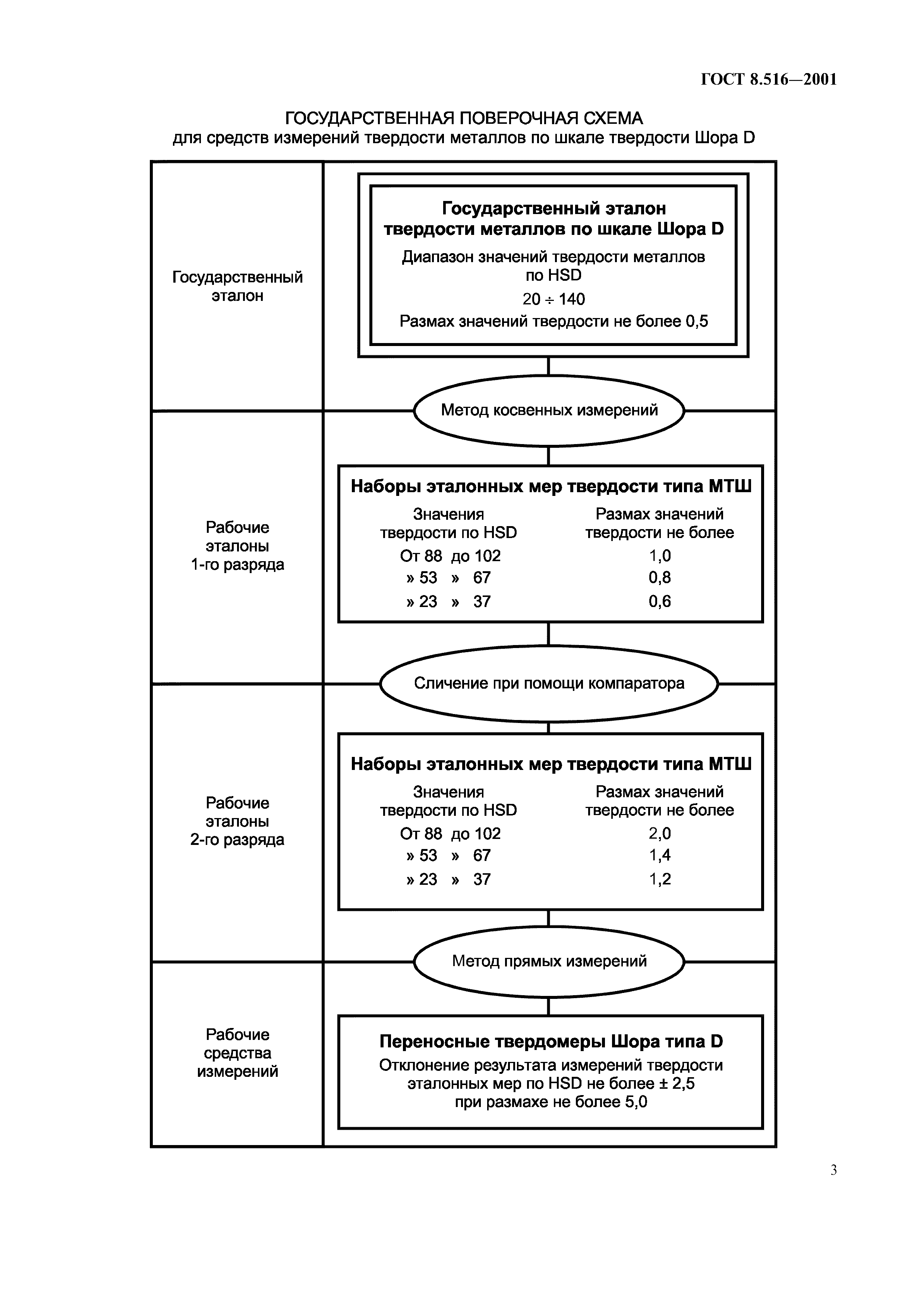
| Область применения: | Стандарт распространяется на государственную поверочную схему для средств измерений твердости металлов по шкале твердости Шора D (HSD) и устанавливает порядок передачи чисел шкалы твердости Шора D (чисел HSD) в диапазоне от 20 до 140 от государственного эталона при помощи рабочих эталонов рабочим средствам измерений с указанием погрешности и основных методов поверки. |
| Оглавление: | 1 Область применения 2 Нормативные ссылки 3 Определение 4 Государственный эталон 5 Рабочие эталоны 6 Рабочие средства измерений Приложение А Библиография |
| Разработан: | ГП ВНИИФТРИ |
| Утверждён: | 06.02.2002 Госстандарт России (Russian Federation Gosstandart 49-ст) 01.11.2001 Межгосударственный Совет по стандартизации, метрологии и сертификации (Inter-Governmental Council on Standardization, Metrology, and Certification 20) |
| Издан: | ИПК Издательство стандартов (2002 г. ) |
| Заменяет собой: | |
| Нормативные ссылки: |
|






