Скачать ГОСТ 10417-88 Бобы кормовые. Требования при заготовках и поставкахДата актуализации: 01.01.2021
|
| Обозначение: | ГОСТ 10417-88 |
| Обозначение англ: | GOST 10417-88 |
| Статус: | отменен в рф |
| Название рус.: | Бобы кормовые. Требования при заготовках и поставках |
| Название англ.: | Morse beans. Requirements for state purchases and deliveries |
| Дата добавления в базу: | 01.09.2013 |
| Дата актуализации: | 01.01.2021 |
| Дата введения: | 01.07.1990 |
| Дата окончания срока действия: | 01.01.2013 |
| Область применения: | Стандарт распространяется на семена кормовых бобов, заготовляемые и поставляемые государственной заготовительной системой для переработки и комбикорма и на кормовые цели. |
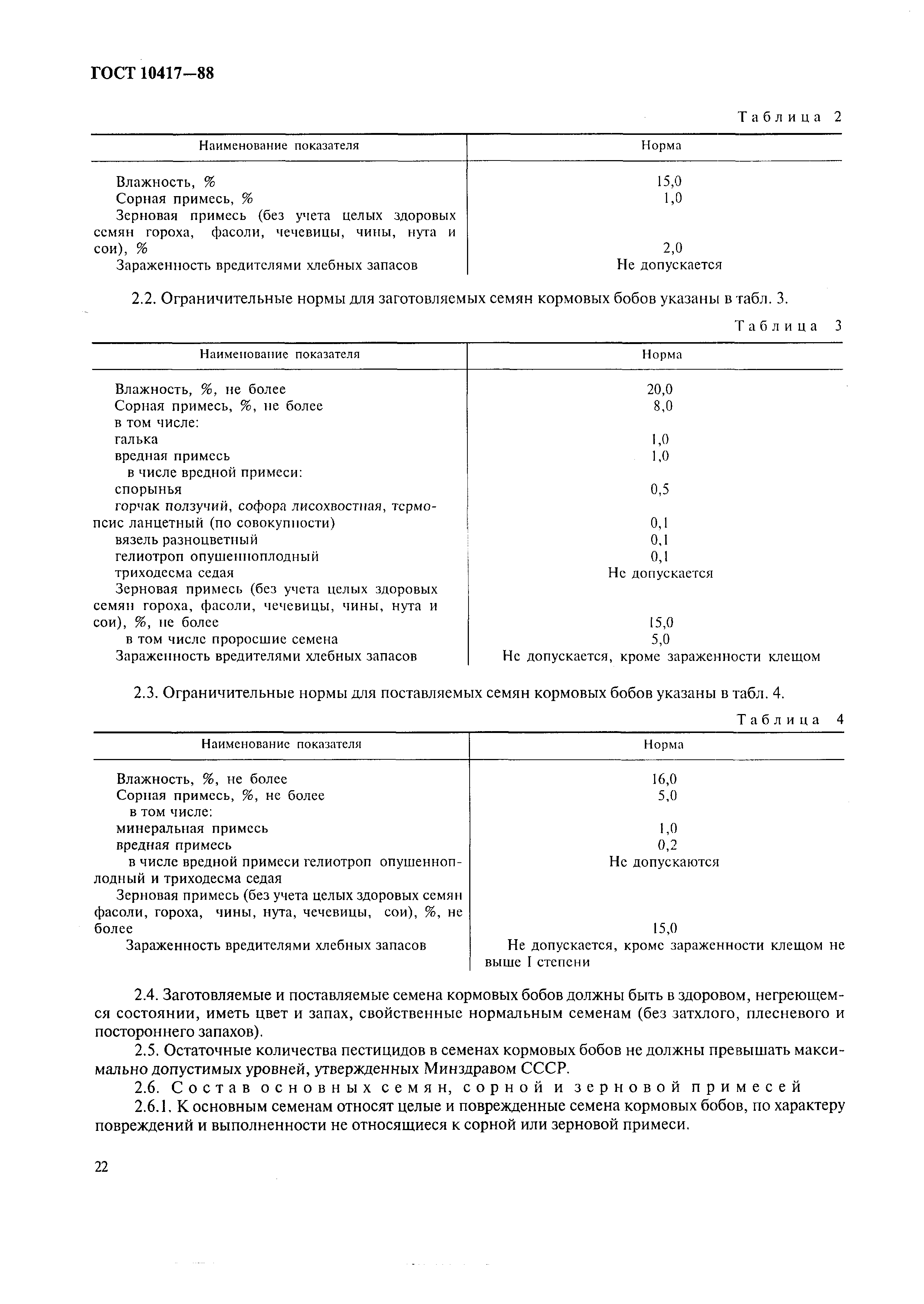
| Оглавление: | 1 Типы 2 Технические требования 3 Приемка 4 Методы определения качества 5 Транспортирование и хранение |
| Разработан: | Министерство хлебопродуктов СССР |
| Утверждён: | 21.12.1988 Госстандарт СССР (USSR Gosstandart 4358) |
| Издан: | Издательство стандартов (1989 г. ) ИПК Издательство стандартов (2003 г. ) |
| Заменяет собой: |
|
| Нормативные ссылки: |
|



