Скачать ГОСТ 12.4.033-77 Обувь специальная кожаная для защиты от скольжения по зажиренным поверхностям. Технические условия

Дата актуализации: 01.01.2021

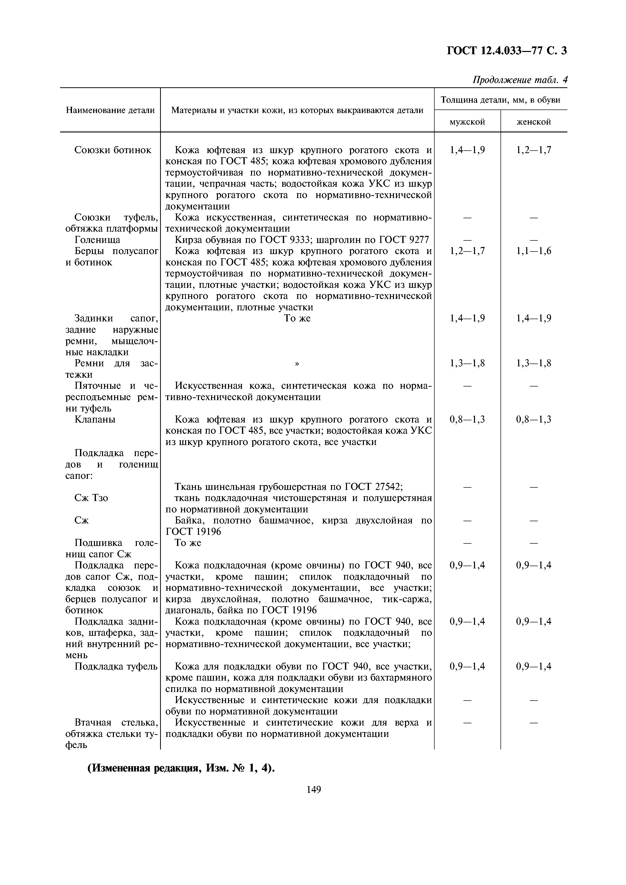
ГОСТ 12.4.033-77

Обувь специальная кожаная для защиты от скольжения по зажиренным поверхностям. Технические условия

Обозначение: ГОСТ 12.4.033-77
Обозначение англ: GOST 12.4.033-77
Статус:заменен
Название рус.:Обувь специальная кожаная для защиты от скольжения по зажиренным поверхностям. Технические условия
Название англ.:Safety leather shoes for protection against slipping on fatty surfases. Specifications
Дата добавления в базу:01.09.2013
Дата актуализации:01.01.2021
Дата введения:01.01.1979
Дата окончания срока действия:01.07.2019
Область применения:Стандарт распространяется на специальную кожаную обувь для защиты от скольжения по зажиренным поверхностям.
Оглавление:1. Виды и размеры
2. Технические требования
3. Правила приемки
4. Методы испытаний
5. Маркировка, упаковка, транспортирование и хранение
6. Указания по эксплуатации
7. Гарантии изготовителя
Разработан: Министерство легкой промышленности СССР
Утверждён:18.11.1977 Государственный комитет стандартов Совета Министров СССР (USSR National Committee on Standards at the Cabinet of Ministers 2706)
Список изменений:
Заменяет собой:
  • ГОСТ 14616-69 «Спецобувь для работающих на предприятиях мясной и молочной промышленности»
Нормативные ссылки:
ГОСТ 12.4.033-77ГОСТ 12.4.033-77ГОСТ 12.4.033-77ГОСТ 12.4.033-77ГОСТ 12.4.033-77ГОСТ 12.4.033-77ГОСТ 12.4.033-77ГОСТ 12.4.033-77ГОСТ 12.4.033-77

Текстовое изменение № 3 от 01.01.1987

№ 3№ 3№ 3№ 3

Текстовое изменение № 4 от 01.09.1988

№ 4№ 4

Текстовое изменение Поправка от 01.10.2000

Поправка