Скачать ГОСТ 12121-77 Сверла спиральные длинные с коническим хвостовиком. Основные размеры

Дата актуализации: 01.01.2021

ГОСТ 12121-77

Сверла спиральные длинные с коническим хвостовиком. Основные размеры

Обозначение: ГОСТ 12121-77
Обозначение англ: GOST 12121-77
Статус:взамен
Название рус.:Сверла спиральные длинные с коническим хвостовиком. Основные размеры
Название англ.:Long twist drills with taper shanks. Basic dimensions
Дата добавления в базу:01.09.2013
Дата актуализации:01.01.2021
Дата введения:01.01.1979
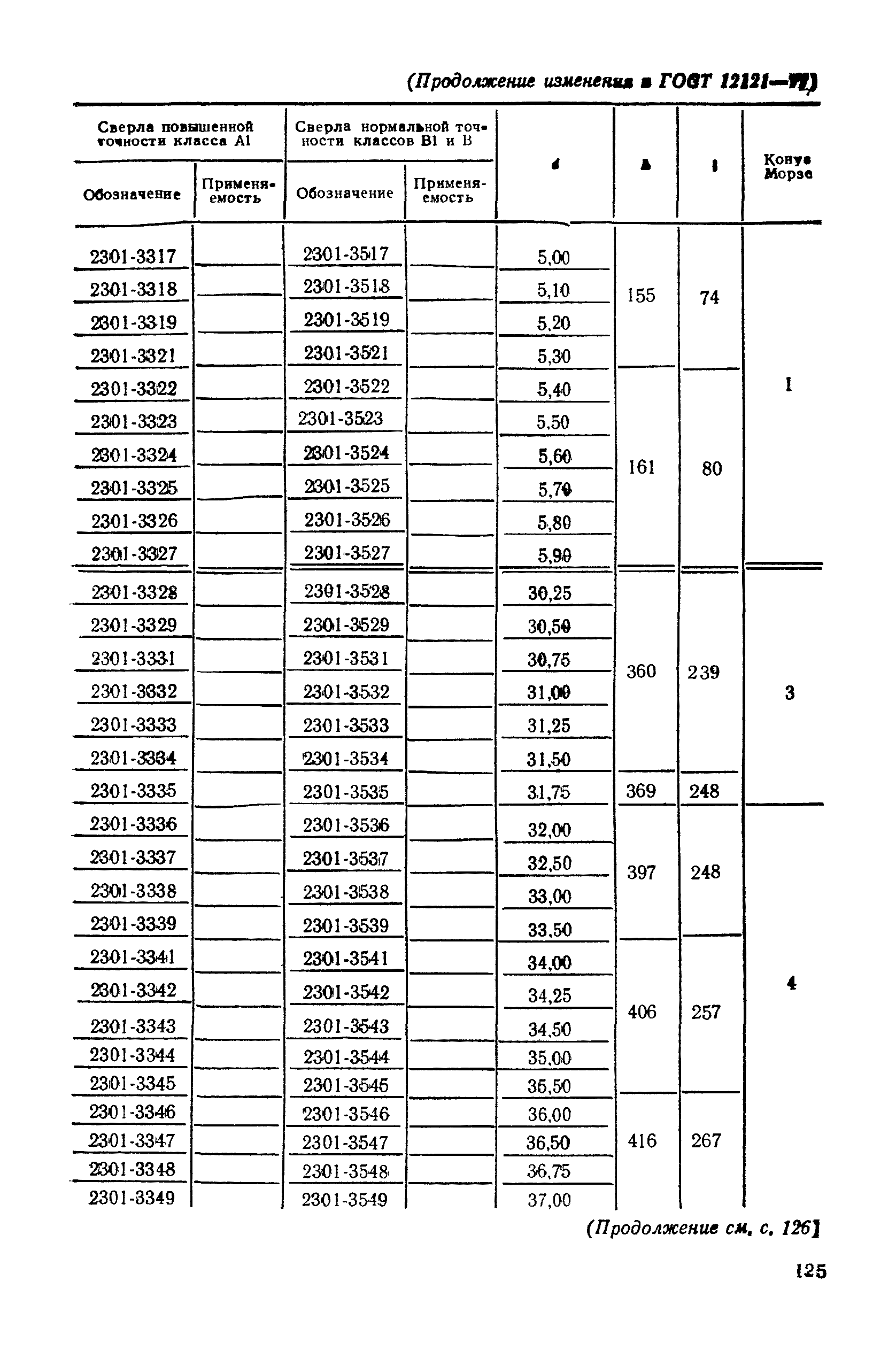
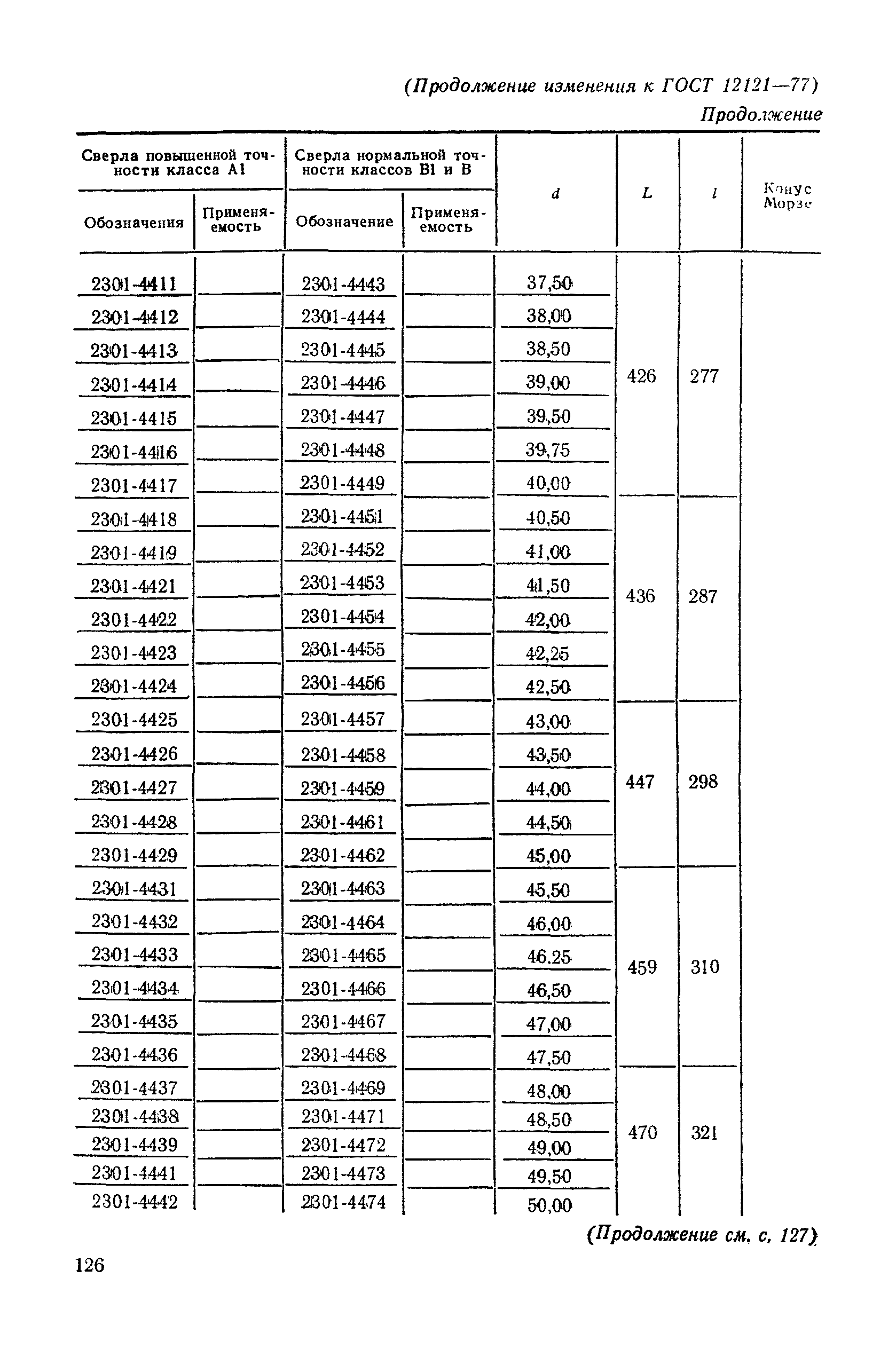
Область применения:Стандарт распространяется на спиральные сверла с коническим хвостовиком диаметром от 5 до 50 мм, предназначенные для сверления через кондукторские втулки.
Разработан: Министерство станкостроительной и инструментальной промышленности СССР
Утверждён:14.11.1977 Государственный комитет стандартов Совета Министров СССР (USSR National Committee on Standards at the Cabinet of Ministers 2443)
Издан: ИПК Издательство стандартов (2003 г. )
Список изменений:
Заменяет собой:
  • ГОСТ 12121-66 «Сверла спиральные с коническим хвостовиком длинные. Основные размеры» (Сведения из перечня "Указатель государственных стандартов СССР 1980 г.", Издательство стандартов 1980)
Нормативные ссылки:
ГОСТ 12121-77ГОСТ 12121-77ГОСТ 12121-77ГОСТ 12121-77ГОСТ 12121-77ГОСТ 12121-77ГОСТ 12121-77ГОСТ 12121-77ГОСТ 12121-77

Текстовое изменение № 2 от 01.07.1989

№ 2№ 2№ 2№ 2№ 2№ 2

Текстовое изменение Поправка от 15.11.2001

Поправка