Скачать ГОСТ 12473-67 Рычаги угловые двухкулачковые. Конструкция

Дата актуализации: 01.01.2021

ГОСТ 12473-67

Рычаги угловые двухкулачковые. Конструкция

Обозначение: ГОСТ 12473-67
Обозначение англ: GOST 12473-67
Статус:действует
Название рус.:Рычаги угловые двухкулачковые. Конструкция
Название англ.:Levers cranked, two-cam. Design
Дата добавления в базу:01.09.2013
Дата актуализации:01.01.2021
Дата введения:01.07.1967
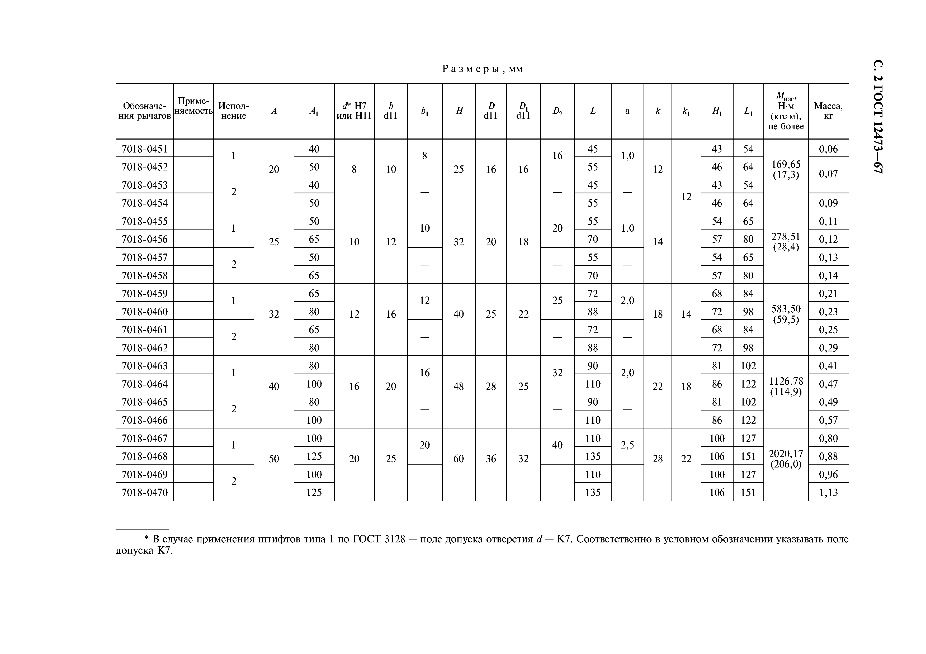
Область применения:Стандарт распространяется на конструкцию и размеры угловых двухкулачковых рычагов.
Оглавление:Приложение (справочное) Пример применения угловых двухкулачковых рычагов
Разработан: Министерство станкостроительной и инструментальной промышленности СССР
Министерство тяжелого энергетического и транспортного машиностроения СССР
Утверждён:03.01.1967 Комитет стандартов, мер и измерительных приборов при Совете Министров СССР (Committee on Standards, Measures, and Measuring Instruments at the USSR Cabinet of Ministers 49)
Издан: ИПК Издательство стандартов (2000 г. )
Список изменений:
Нормативные ссылки:
ГОСТ 12473-67ГОСТ 12473-67ГОСТ 12473-67ГОСТ 12473-67ГОСТ 12473-67ГОСТ 12473-67ГОСТ 12473-67

Текстовое изменение № 2 от 01.01.1989

№ 2№ 2