Скачать ГОСТ 12641-80 Заклепки полупустотелые с полукруглой головкой. Технические условияДата актуализации: 01.01.2021
|
| Обозначение: | ГОСТ 12641-80 |
| Обозначение англ: | GOST 12641-80 |
| Статус: | взамен |
| Название рус.: | Заклепки полупустотелые с полукруглой головкой. Технические условия |
| Название англ.: | Semi-hollow button-head rivets. Specifications |
| Дата добавления в базу: | 01.09.2013 |
| Дата актуализации: | 01.01.2021 |
| Дата введения: | 01.01.1982 |
| Область применения: | Стандарт распространяется на полупустотелые заклепки с полукруглой головкой с диаметром стержня от 1 до 10 мм. |
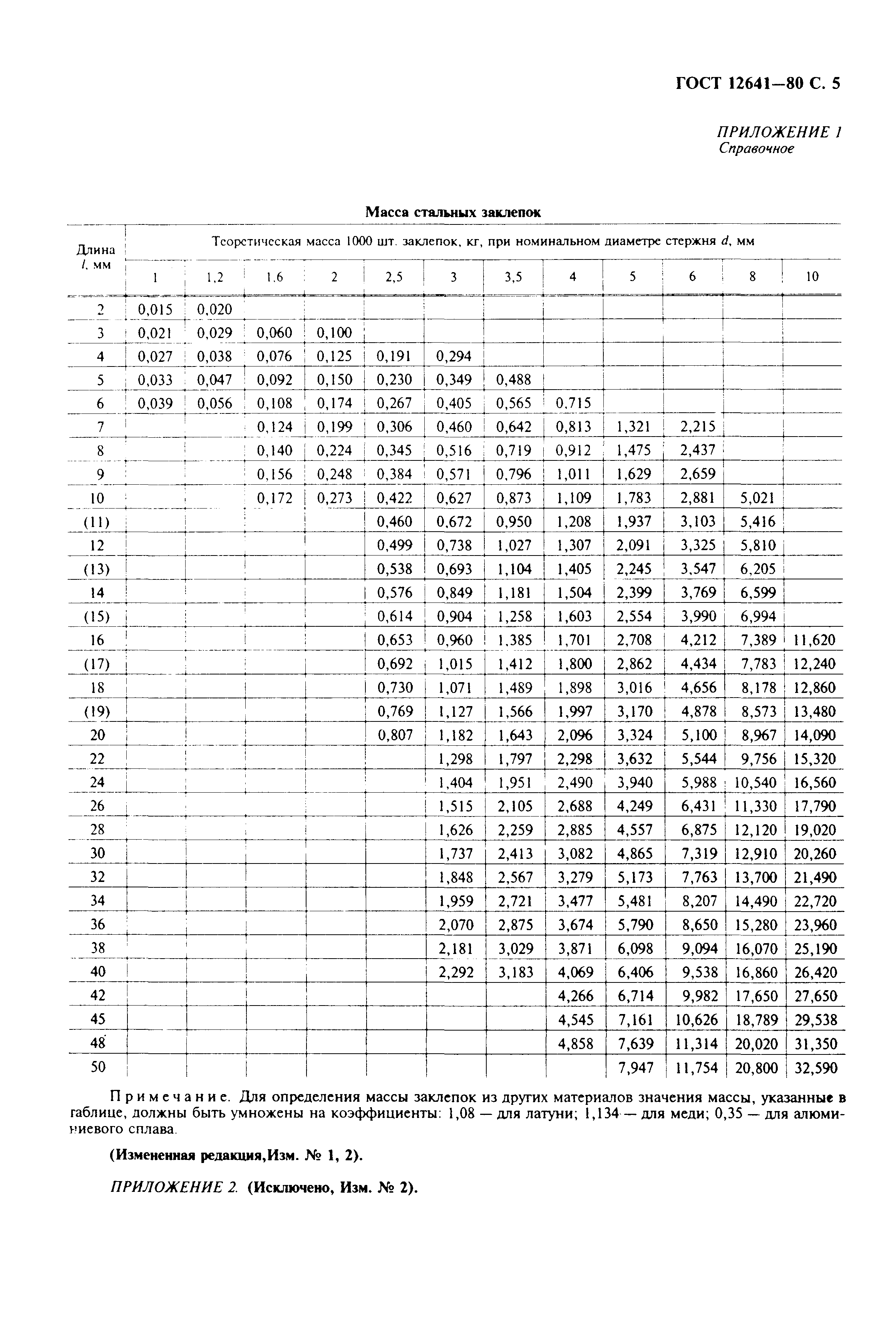
| Оглавление: | 1 Размеры 2 Технические требования Приложение 1 Масса стальных заклепок Приложение 2 Длина стержня заклепки под замыкающую головку |
| Утверждён: | 30.09.1980 Госстандарт СССР (USSR Gosstandart 4921) |
| Издан: | Издательство стандартов (1980 г. ) ИПК Издательство стандартов (1999 г. ) |
| Заменяет собой: |
|
| Нормативные ссылки: |






