Скачать ГОСТ 13114-75 Плиты-заготовки без полок для штампов листовой штамповки. Конструкция и размеры

Дата актуализации: 01.01.2021

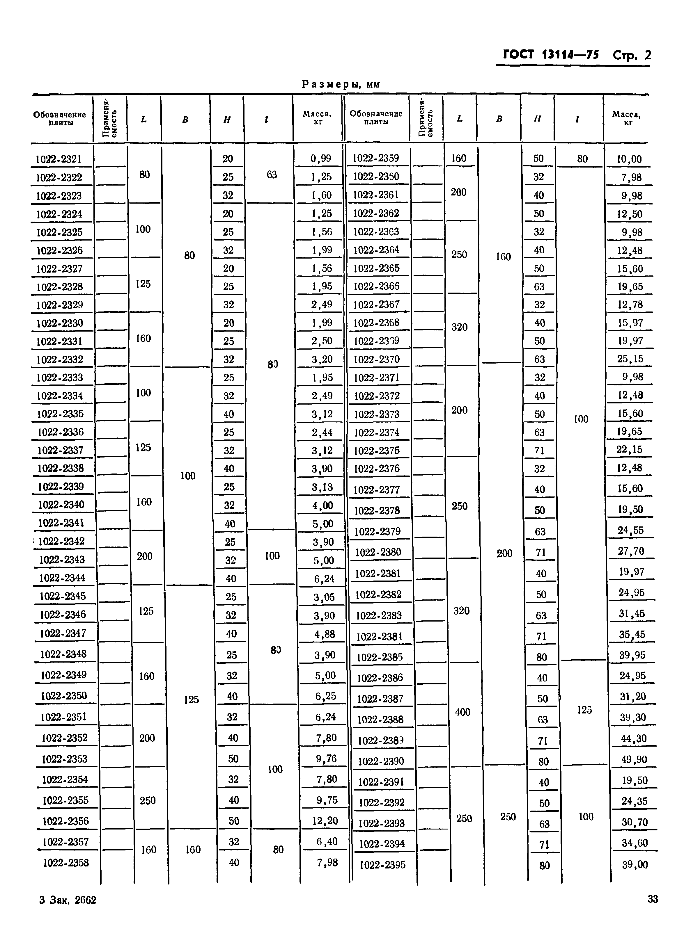
ГОСТ 13114-75

Плиты-заготовки без полок для штампов листовой штамповки. Конструкция и размеры

Обозначение: ГОСТ 13114-75
Обозначение англ: GOST 13114-75
Статус:взамен
Название рус.:Плиты-заготовки без полок для штампов листовой штамповки. Конструкция и размеры
Название англ.:Die plate without shelves for cold plastic working dies. Construction and dimensions
Дата добавления в базу:01.09.2013
Дата актуализации:01.01.2021
Дата введения:01.01.1977
Утверждён:30.09.1975 Госстандарт СССР (USSR Gosstandart 2547)
Заменяет собой:
  • ГОСТ 13114-67 «Плиты без полок для штампов холодной штамповки (заготовки). Конструкция и размеры» (Сведения из перечня "Указатель государственных стандартов СССР 1980 г.", Издательство стандартов 1980)
ГОСТ 13114-75ГОСТ 13114-75ГОСТ 13114-75ГОСТ 13114-75