Скачать ГОСТ 13126-83 Штампы для листовой штамповки. Блоки штампов с осевым расположением направляющих узлов скольжения. Конструкция и размеры

Дата актуализации: 01.01.2021

ГОСТ 13126-83

Штампы для листовой штамповки. Блоки штампов с осевым расположением направляющих узлов скольжения. Конструкция и размеры

Обозначение: ГОСТ 13126-83
Обозначение англ: GOST 13126-83
Статус:взамен
Название рус.:Штампы для листовой штамповки. Блоки штампов с осевым расположением направляющих узлов скольжения. Конструкция и размеры
Название англ.:Sheet stamping dies. Die sets with axially positioned guide sliding assemblies. Design and dimensions
Дата добавления в базу:01.09.2013
Дата актуализации:01.01.2021
Дата введения:01.07.1984
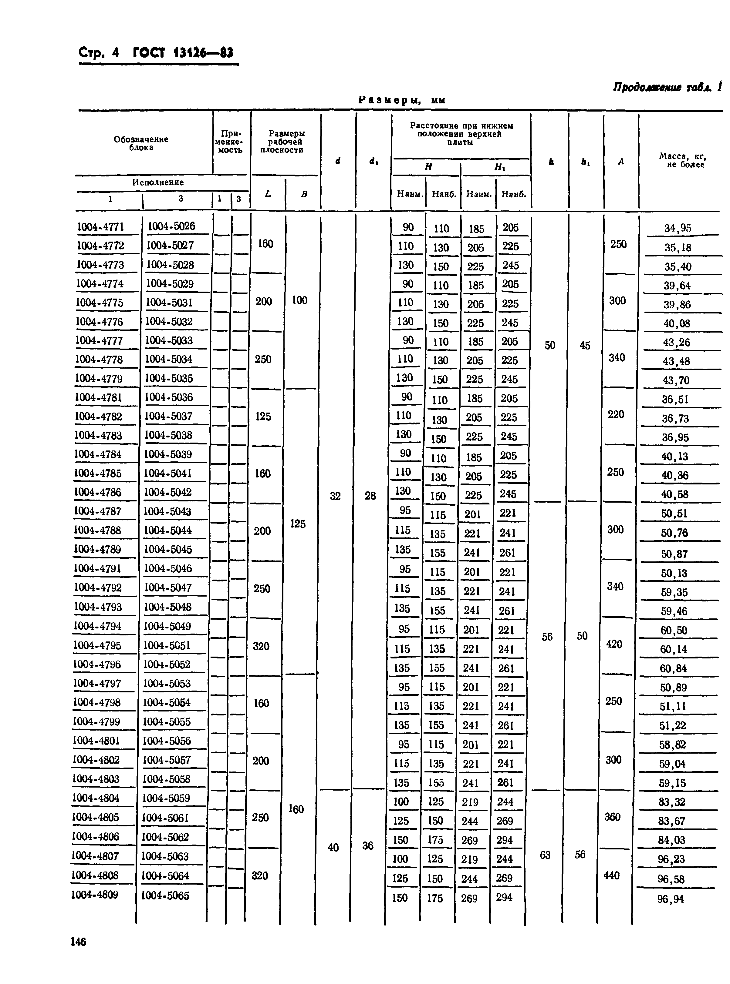
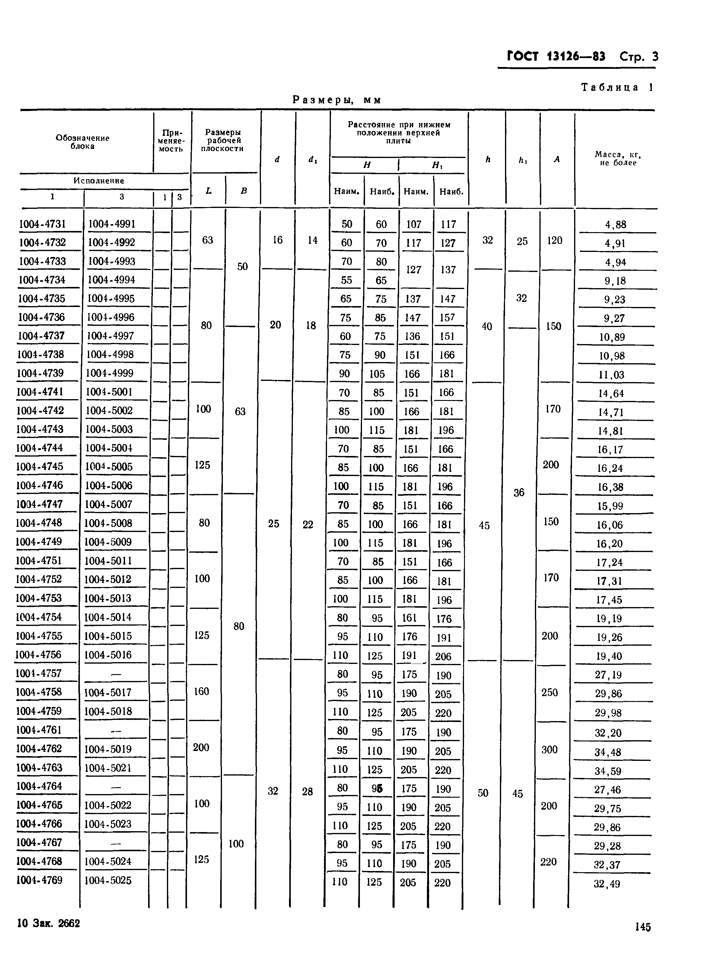
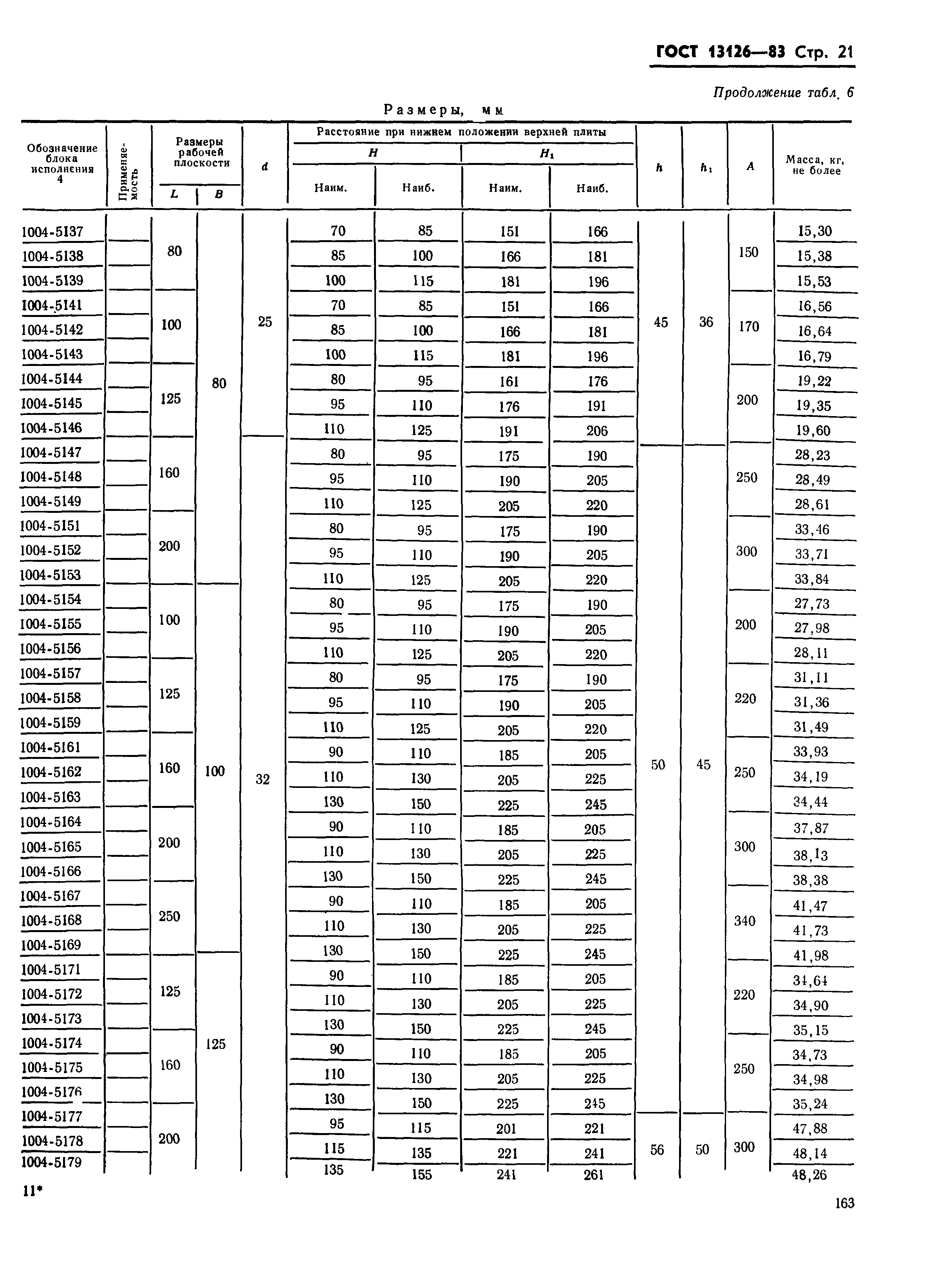
Область применения:Стандарт распространяется на блоки штампов с осевым расположением направляющих узлов скольжения с плитами из чугунного и стального литья.
Утверждён:22.09.1983 Государственный комитет СССР по стандартам (USSR National Committee on Standards 4494)
Список изменений:
Нормативные ссылки:
ГОСТ 13126-83ГОСТ 13126-83ГОСТ 13126-83ГОСТ 13126-83ГОСТ 13126-83ГОСТ 13126-83ГОСТ 13126-83ГОСТ 13126-83ГОСТ 13126-83ГОСТ 13126-83ГОСТ 13126-83ГОСТ 13126-83ГОСТ 13126-83ГОСТ 13126-83ГОСТ 13126-83ГОСТ 13126-83ГОСТ 13126-83ГОСТ 13126-83ГОСТ 13126-83ГОСТ 13126-83ГОСТ 13126-83ГОСТ 13126-83ГОСТ 13126-83ГОСТ 13126-83ГОСТ 13126-83ГОСТ 13126-83ГОСТ 13126-83ГОСТ 13126-83ГОСТ 13126-83ГОСТ 13126-83ГОСТ 13126-83ГОСТ 13126-83

Текстовое изменение поправка от 01.06.1988

поправка