Скачать ГОСТ 16632-80 Пуансоны квадратные быстросменные. Конструкция и размеры

Дата актуализации: 01.01.2021

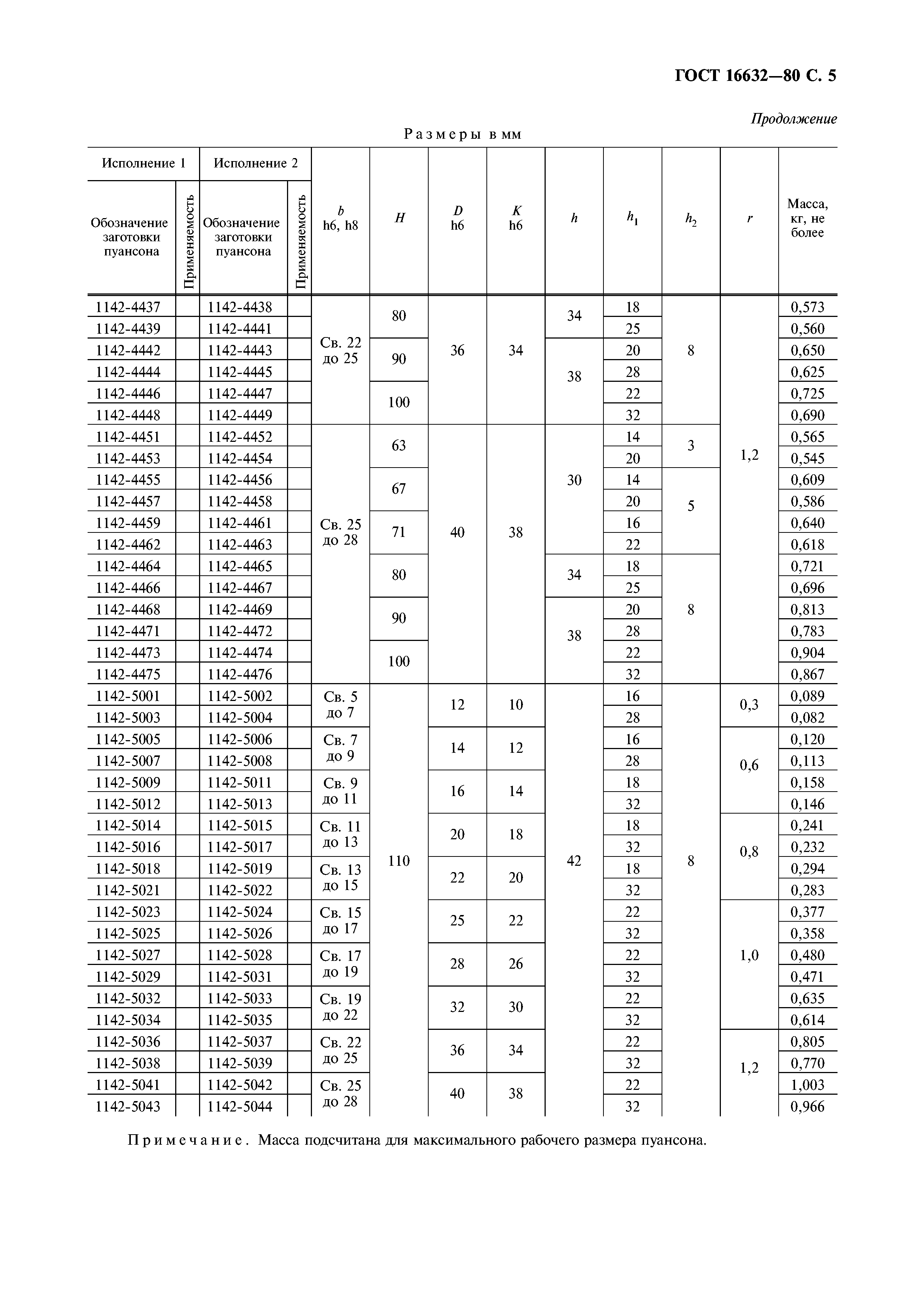
ГОСТ 16632-80

Пуансоны квадратные быстросменные. Конструкция и размеры

Обозначение: ГОСТ 16632-80
Обозначение англ: GOST 16632-80
Статус:взамен
Название рус.:Пуансоны квадратные быстросменные. Конструкция и размеры
Название англ.:Quick-changing square punches. Construction and dimensions
Дата добавления в базу:01.09.2013
Дата актуализации:01.01.2021
Дата введения:01.01.1981
Оглавление:Приложение (справочное) Пример применения квадратных быстросменных пуансонов
Утверждён:04.03.1980 Государственный комитет СССР по стандартам (USSR National Committee on Standards 1008)
Издан: Издательство стандартов (1980 г. )
Стандартинформ (2006 г. )
Список изменений:
Заменяет собой:
  • ГОСТ 16632-71 «Пуансоны квадратные быстросменные. Конструкция и размеры»
Нормативные ссылки:
ГОСТ 16632-80ГОСТ 16632-80ГОСТ 16632-80ГОСТ 16632-80ГОСТ 16632-80ГОСТ 16632-80ГОСТ 16632-80ГОСТ 16632-80

Текстовое изменение № 1 от 01.01.1986

№ 1№ 1