Скачать ГОСТ 16639-80 Матрицы с круглым отверстием и фланцем. Конструкция и размеры

Дата актуализации: 01.01.2021

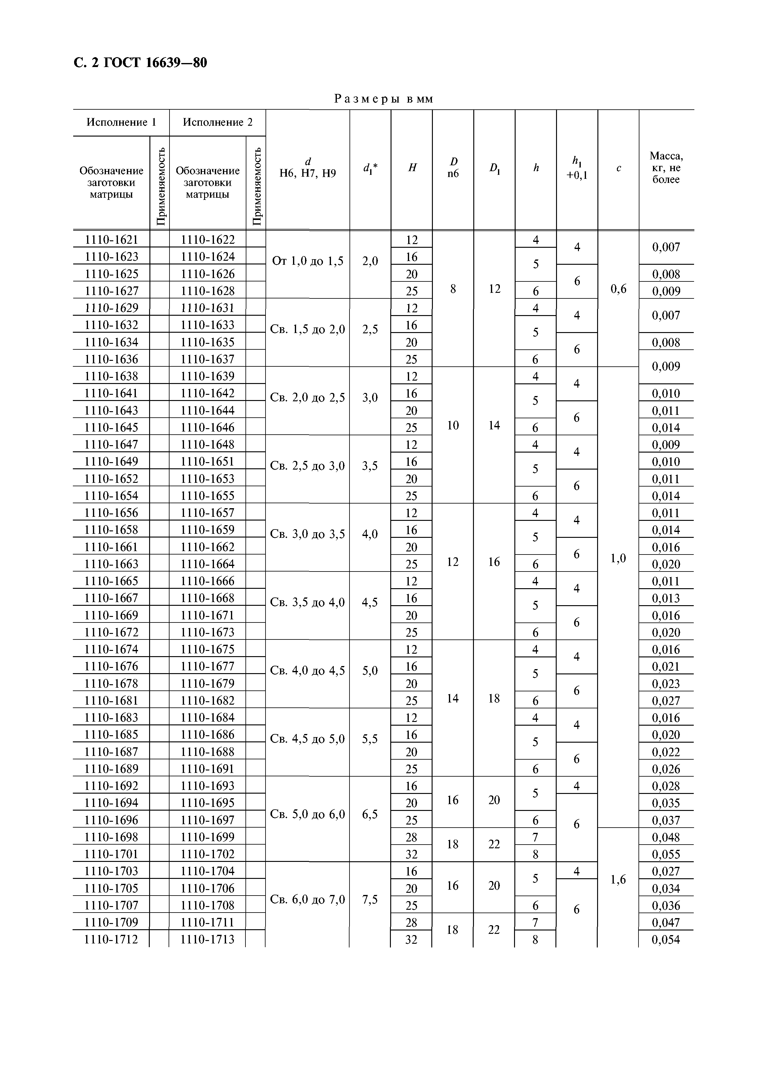
ГОСТ 16639-80

Матрицы с круглым отверстием и фланцем. Конструкция и размеры

Обозначение: ГОСТ 16639-80
Обозначение англ: GOST 16639-80
Статус:взамен
Название рус.:Матрицы с круглым отверстием и фланцем. Конструкция и размеры
Название англ.:Female dies with round hole and flange. Design and dimensions
Дата добавления в базу:01.09.2013
Дата актуализации:01.01.2021
Дата введения:01.01.1981
Оглавление:Приложение (справочное) Пример применения матриц с круглым отверстием и фланцем
Утверждён:04.03.1980 Государственный комитет СССР по стандартам (USSR National Committee on Standards 1009)
Издан: Издательство стандартов (1980 г. )
ИПК Издательство стандартов (1999 г. )
Стандартинформ (2006 г. )
Список изменений:
Заменяет собой:
  • ГОСТ 16639-71 «Матрицы с круглым отверстием и фланцем. Конструкция и размеры»
Нормативные ссылки:
ГОСТ 16639-80ГОСТ 16639-80ГОСТ 16639-80ГОСТ 16639-80ГОСТ 16639-80ГОСТ 16639-80ГОСТ 16639-80ГОСТ 16639-80ГОСТ 16639-80ГОСТ 16639-80

Текстовое изменение № 1 от 01.01.1986

№ 1№ 1