Скачать ГОСТ 16645-80 Матрицы с продолговатым отверстием быстросменные. Конструкция и размеры

Дата актуализации: 01.01.2021

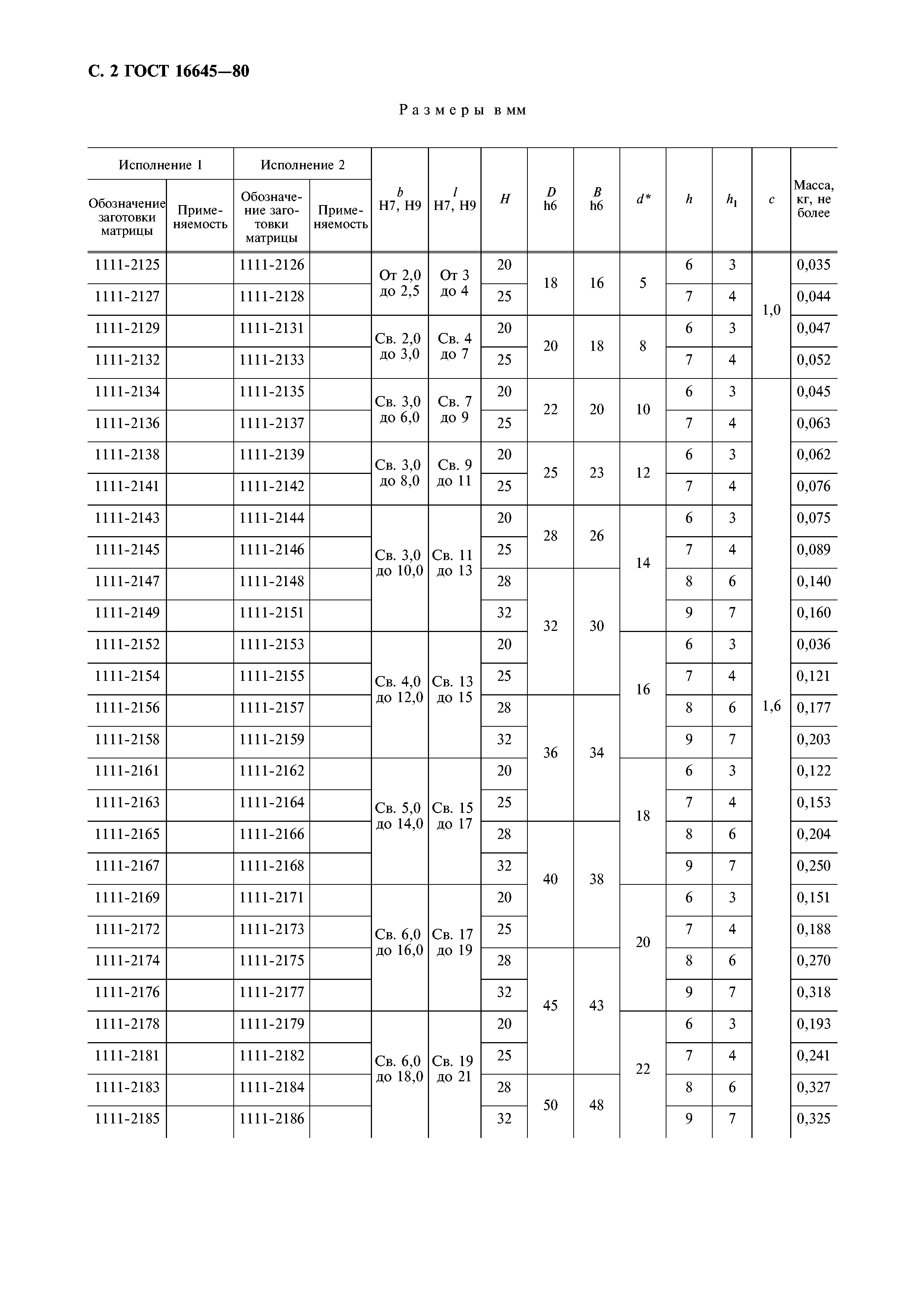
ГОСТ 16645-80

Матрицы с продолговатым отверстием быстросменные. Конструкция и размеры

Обозначение: ГОСТ 16645-80
Обозначение англ: GOST 16645-80
Статус:взамен
Название рус.:Матрицы с продолговатым отверстием быстросменные. Конструкция и размеры
Название англ.:Female dies quickly-changed with oblong hole. Design and dimensions
Дата добавления в базу:01.09.2013
Дата актуализации:01.01.2021
Дата введения:01.01.1981
Оглавление:Приложение (справочное) Пример применения быстросменных матриц с продолговатым отверстием
Утверждён:04.03.1980 Государственный комитет СССР по стандартам (USSR National Committee on Standards 1010)
Издан: Издательство стандартов (1980 г. )
Стандартинформ (2006 г. )
Список изменений:
Заменяет собой:
  • ГОСТ 16645-71 «Матрицы с продолговатым отверстием быстросъемные. Конструкция и размеры»
Нормативные ссылки:
ГОСТ 16645-80ГОСТ 16645-80ГОСТ 16645-80ГОСТ 16645-80ГОСТ 16645-80ГОСТ 16645-80ГОСТ 16645-80

Текстовое изменение № 1 от 01.01.1986

№ 1№ 1