Скачать ГОСТ 16778-93 Калибры-пробки гладкие, оснащенные твердым сплавом, для диаметров от 1 до 6 мм. РазмерыДата актуализации: 01.01.2021 ГОСТ 16778-93
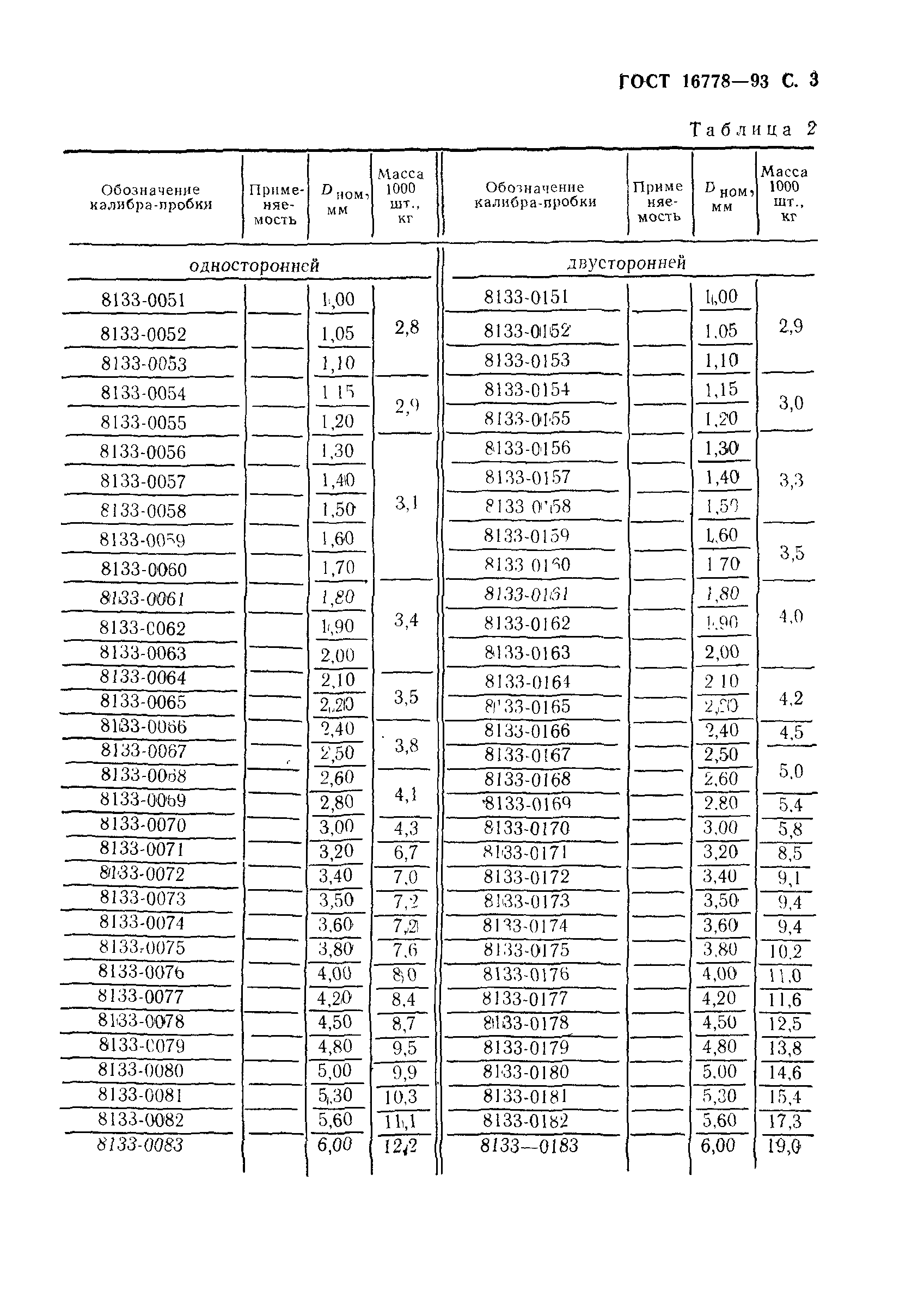
Калибры-пробки гладкие, оснащенные твердым сплавом, для диаметров от 1 до 6 мм. Размеры| Обозначение: | ГОСТ 16778-93 | | Обозначение англ: | GOST 16778-93 | | Статус: | взамен | | Название рус.: | Калибры-пробки гладкие, оснащенные твердым сплавом, для диаметров от 1 до 6 мм. Размеры | | Название англ.: | Plain plug gauges, with cemented carbide, for 3 to 6 mm. Dimensions | | Дата добавления в базу: | 01.09.2013 | | Дата актуализации: | 01.01.2021 | | Дата введения: | 01.01.1995 | | Область применения: | Стандарт распространяется на гладкие односторонние и двусторонние калибры-пробки с проходными вставками из твердого сплава для контроля отверстий диаметрами от 1 до 6 мм допусками по ЕСПД от 6-ого до 12-ого квалитета и с допусками по системе ОСТ от 1-го до 5-го класса точности. | | Разработан: | Госстандарт России
| | Утверждён: | 02.06.1994 Госстандарт России (Russian Federation Gosstandart 160) 21.10.1993 Межгосударственный Совет по стандартизации, метрологии и сертификации (Inter-Governmental Council on Standardization, Metrology, and Certification )
| | Издан: | Издательство стандартов (1994 г. )
| | Заменяет собой: | ГОСТ 16779-71 «Пробки двусторонние со вставками из твердого сплава диаметром от 1 до 6 мм. Конструкция и размеры» (ИУС 5-94) ГОСТ 16778-71 «Пробки проходные со вставками из твердого сплава диаметром от 1 до 6 мм. Конструкция и размеры» (ИУС 5-94) | | Нормативные ссылки: | |
      
|