Скачать ГОСТ 17178-71 Втулки переходные с буртиком и отверстием конус Морзе к токарно-револьверным станкам. Конструкция и размеры

Дата актуализации: 01.01.2021

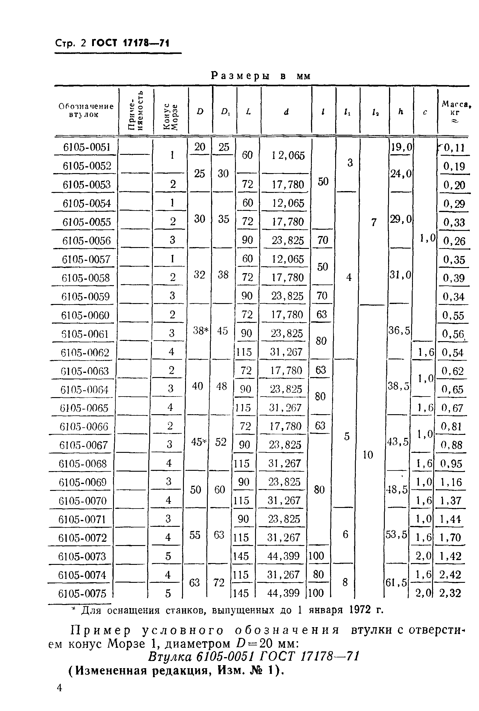
ГОСТ 17178-71

Втулки переходные с буртиком и отверстием конус Морзе к токарно-револьверным станкам. Конструкция и размеры

Обозначение: ГОСТ 17178-71
Обозначение англ: GOST 17178-71
Статус:действует
Название рус.:Втулки переходные с буртиком и отверстием конус Морзе к токарно-револьверным станкам. Конструкция и размеры
Название англ.:Turret lathe adapters with rib and morse cone hole. Design and dimensions
Дата добавления в базу:01.09.2013
Дата актуализации:01.01.2021
Дата введения:01.01.1973
Утверждён:10.09.1971 Госстандарт СССР (USSR Gosstandart 1572)
Заменяет собой:
  • МН 1006-60 (Сведения из перечня "Указатель государственных стандартов СССР 1972 г.", Издательство стандартов 1972)
ГОСТ 17178-71ГОСТ 17178-71ГОСТ 17178-71ГОСТ 17178-71ГОСТ 17178-71