Скачать ГОСТ 17573-72 Раскатки многошариковые жесткие дифференциальные диаметром от 40 до 300 мм для размерно-чистовой обработки отверстий деталей давлением. Конструкция и размерыДата актуализации: 01.01.2021
|
| Обозначение: | ГОСТ 17573-72 |
| Обозначение англ: | GOST 17573-72 |
| Статус: | действует |
| Название рус.: | Раскатки многошариковые жесткие дифференциальные диаметром от 40 до 300 мм для размерно-чистовой обработки отверстий деталей давлением. Конструкция и размеры |
| Название англ.: | Multiball hard differential rollersby diameters from 40 to 300 mm for dimension-finishing of openings of machine components by presure. Design and dimensions |
| Дата добавления в базу: | 01.09.2013 |
| Дата актуализации: | 01.01.2021 |
| Дата введения: | 01.07.1973 |
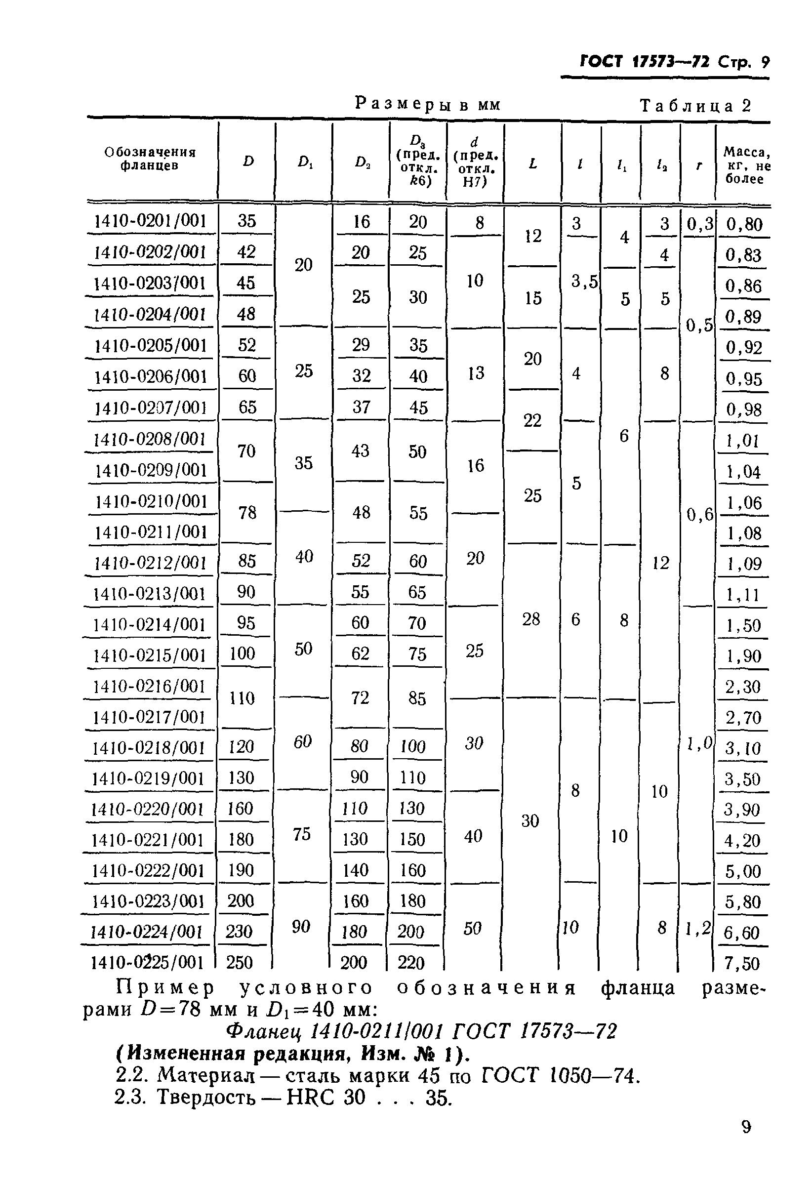
| Оглавление: | 1 Конструкция и размеры раскаток 2 Конструкция и размеры фланца (деталь 1) 3 Конструкция и размеры конусной втулки (деталь 2) 4 Конструкция и размеры втулки (деталь 3) 5 Конструкция и размеры валика (деталь 4) 6 Конструкция и размеры оси (деталь 5) 7 Конструкция и размеры пружины (деталь 6) 8 Конструкция и размеры гайки (деталь 7) 9 Конструкция и размеры корпуса (деталь 8) 10 Конструкция и размеры штуцера (деталь 9) 11 Конструкция и размеры колодки (деталь 10) 12 Конструкция и размеры сепаратора (деталь 11) |
| Утверждён: | 02.03.1972 Госстандарт СССР (USSR Gosstandart 512) |
| Заменяет собой: |
|


































